中文核心期刊

SCOPUS 数据库收录期刊

中国科技核心期刊

美国《化学文摘》来源期刊

中国优秀冶金期刊

美国EBSCO数据库收录期刊

RCCSE中国核心学术期刊

美国《剑桥科学文摘》来源期刊

中国应用核心期刊(CACJ)

美国《乌利希期刊指南》收录期刊

中国学术期刊综合评价统计源刊

俄罗斯《文摘杂志》来源期刊

优秀中文科技期刊(西牛计划)

日本《科学技术文献数据库》(JST)收录刊

留言板

尊敬的读者、作者、审稿人, 关于本刊的投稿、审稿、编辑和出版的任何问题, 您可以本页添加留言。我们将尽快给您答复。谢谢您的支持!

姓名
邮箱
手机号码
标题
留言内容
验证码

电子束熔炼M35高速钢的热变形特征的研究

吴明慧 王轶农 王以霖 谭毅

吴明慧, 王轶农, 王以霖, 谭毅. 电子束熔炼M35高速钢的热变形特征的研究[J]. 钢铁钒钛, 2021, 42(4): 182-190. doi: 10.7513/j.issn.1004-7638.2021.04.030
引用本文: 吴明慧, 王轶农, 王以霖, 谭毅. 电子束熔炼M35高速钢的热变形特征的研究[J]. 钢铁钒钛, 2021, 42(4): 182-190. doi: 10.7513/j.issn.1004-7638.2021.04.030
Wu Minghui, Wang Yinong, Wang Yilin, Tan Yi. Study on the hot deformation characteristics of M35 high speed steel by electron beam smelting[J]. IRON STEEL VANADIUM TITANIUM, 2021, 42(4): 182-190. doi: 10.7513/j.issn.1004-7638.2021.04.030
Citation: Wu Minghui, Wang Yinong, Wang Yilin, Tan Yi. Study on the hot deformation characteristics of M35 high speed steel by electron beam smelting[J]. IRON STEEL VANADIUM TITANIUM, 2021, 42(4): 182-190. doi: 10.7513/j.issn.1004-7638.2021.04.030

电子束熔炼M35高速钢的热变形特征的研究

doi: 10.7513/j.issn.1004-7638.2021.04.030
基金项目: 国家重点研发计划资助项目(2019YFA0705300);国家自然科学基金资助项目(91860123)
详细信息
    作者简介:

    吴明慧(1992−),女,河南焦作人,硕士研究生,主要研究方向为电子束熔炼高速钢材料,E-mail:13069472128@163.com

    通讯作者:

    王轶农,教授,博士,E-mail:wynmm@dlut.edu.cn

  • 中图分类号: TF134,TG142.45

Study on the hot deformation characteristics of M35 high speed steel by electron beam smelting

  • 摘要: 利用Gleeble-3500热模拟试验机对电子束熔炼M35高速钢进行了热压缩试验,研究了其在变形温度为1273~1423 K,应变速率为0.01~10 s−1条件下的热变形行为,研究了其碳化物组织的演变规律,建立了电子束熔炼M35高速钢的热变形本构方程,并通过动态材料模型(DMM)建立了电子束熔炼M35高速钢的热加工图。同时将其与普通熔炼M35高速钢的热变形行为进行比较分析。结果表明,电子束熔炼M35高速钢的真应力-应变曲线符合动态再结晶曲线特征,在高应变速率下曲线出现锯齿特征,流变应力随应变速率的提高和温度的减小而增大。热变形过程中的变形行为可用双曲正弦函数来表征,其平均激活能为504.642 kJ/mol。通过热加工图能展现M35高速钢的热变形失稳区域,得到其热加工的最佳变形条件的区域为:变形温度为1400~1423 K, 应变速率为0.01~1 s−1
  • 图  1  铸态电子束熔炼M35高速钢的组织形貌

    Figure  1.  Microstructure of as-cast M35 high speed steel melted by electron beam

    图  2  电子束熔炼M35高速钢在温度为1373 K时各应变速率下的微观组织

    Figure  2.  Microstructure of electron beam smelting M35 high speed steel at various strain rates deformed at temperature of 1 373 K

    (a) 0.01 s−1; (b) 0.1 s−1; (c) 1 s−1; (d) 10 s−1

    图  3  电子束熔炼M35高速钢在应变速率为0.1 s−1时各温度下的微观组织

    Figure  3.  Microstructure of electron beam smelting M35 high speed steel deformed at various temperature with a strain rate of 0.1 s−1

    (a) 1 273 K; (b) 1 323 K; (c) 1 373 K; (d) 1 423 K

    图  4  电子束熔炼M35高速钢在不同温度和应变速率条件下的真应力-应变曲线

    Figure  4.  True stress-true strain curves for electron beam smelting M35 high speed steel during hot deformation under different conditions

    图  5  M35高速钢在不同应变速率下的峰值应力随温度变化的规律曲线

    (a)电子束熔炼;(b)电渣重熔

    Figure  5.  Curves of peak stress change with deformation temperature with different deformation rates for electron beam smelting M35 high speed steel

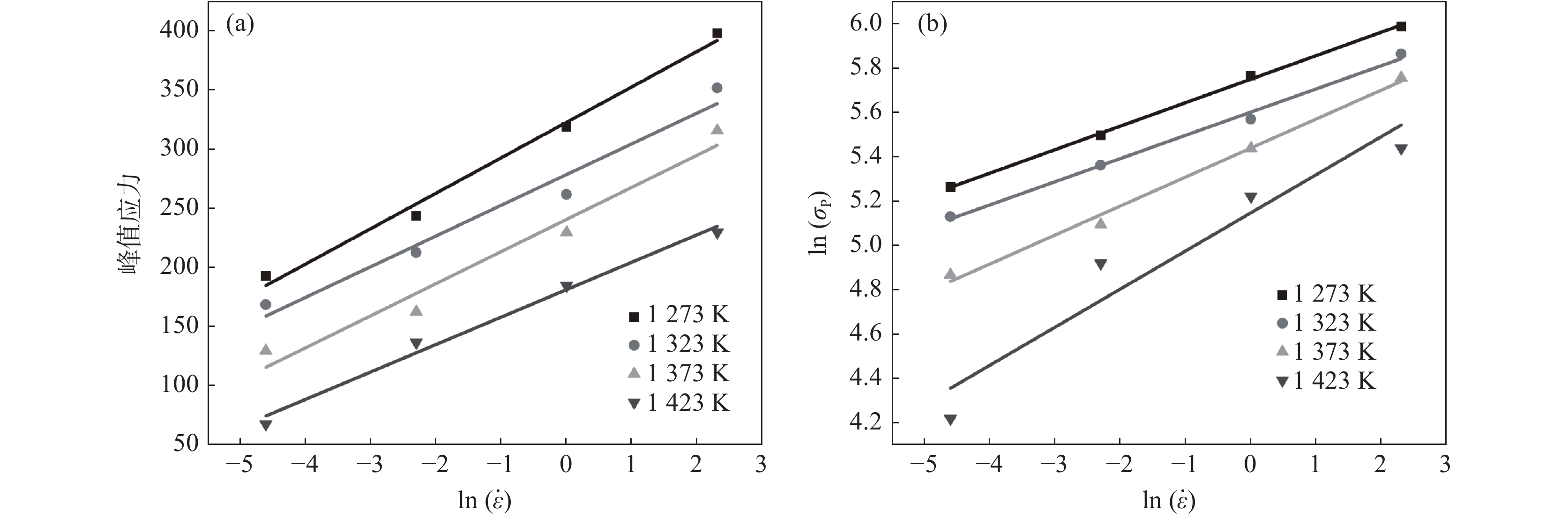
    图  6  不同温度下应力与应变速率的关系曲线

    Figure  6.  Relationship between stress and strain rate of steel deformed at different temperatures

    (a) ${\sigma _P} - \ln \dot \varepsilon $; (b) $\ln {\sigma _P} - \ln \dot \varepsilon $

    图  7  电子束熔炼M35高速钢在不同变形条件下个参数的对应关系

    Figure  7.  Relations among various parameters of electron beam smelting M35 high speed steel under different deformation conditions

    (a) lnsinh (ασ) -1000/T ; (b) ln (strain rate)- lnsinh(ασ)

    图  8  lnZ与lnsinh(ασ)的线性拟合

    Figure  8.  Linear fitting of lnZ and lnsinh(ασ)

    图  9  电子束熔炼M35高速钢在真应变为0.7时的热加工图

    Figure  9.  Hot processing map with true strain of 0.7 for electron beam smelting M35 high speed steel

    表  1  电子束熔炼M35高速钢的化学成分

    Table  1.   Chemical compositions of the EBS M35 steel %

    WMoCrVCoCSiMnPSFe
    原料6.425.064.171.854.620.930.440.210.0290.004Bal.
    熔炼后6.424.904.181.844.510.930.350.090.0270.004Bal.
    下载: 导出CSV
  • [1] (邓玉昆, 陈景榕, 王世章. 高速钢[M]. 北京: 冶金工艺出版社, 2002.)

    Deng Yukun, Chen Jingrong, Wang Shizhang. High speed steel[M]. Beijing: Metallurgical Industry Press, 2002.
    [2] (梁伟. 高速钢的碳化物控制研究[J]. 钢铁钒钛, 2020, 41(4): 130−138.)

    Liang Wei. Study on the carbide control of high speed steel[J]. Iron Steel Vanadium Titanium,2020, 41(4): 130−138.
    [3] Wu Hongqing. Research status and development of high speed steel at home and abroad[J]. Mold Making, 2017,17(12):93−100. (吴红庆. 国内外高速钢的研究现状和进展[J]. 模具制造, 2017,17(12):93−100. doi: 10.3969/j.issn.1671-3508.2017.12.023
    [4] Tany, Youxg, Youqf, et al. Microstructure and deformation behavior of nickel based superalloy Inconel 740 prepared by electron beam smelting[J]. Materials Characterization, 2016,114:267−276. doi: 10.1016/j.matchar.2016.03.009
    [5] Youxg, Tany, Youqf, et al. Preparation of Inconel 740 superalloy by electron beam smelting[J]. Journal of Alloys & Compounds, 2016,676:202−208.
    [6] Fischmeister H F, Riedl R, Karagöz S. Solidification of high-speed tool steels[J]. Metallurgical Transactions A, 1989,20(10):2133−2148. doi: 10.1007/BF02650299
    [7] (陈雷雷. 高速钢合金碳化物控制研究[D]. 南京: 东南大学, 2016.)

    Chen Leilei. Study on alloy carbides control in high speed steel[D].Nanjing:Southeast University, 2016.
    [8] (王栋. 稀土对M35高速钢组织和性能的影响[D]. 南京: 东南大学, 2005.)

    Wang Dong. The effecits of Re on performance and microstructure of M35 high speed steel[D].Nanjing:Southeast University, 2005.
    [9] (周清. 塑性变形微观组织及控制[M]. 北京: 科学出版社, 2016.)

    Zhou Qing. Plastic deformation microstructure and control[M]. Beijing: Science Press, 2016.
    [10] Niu Sizhe,Kou Hongchao. The characteristics of serration in Al0.5CoCrFeNi high entropy alloy[J]. Materials Science & Engineering A, 2017,702:96−103.
    [11] Wang Jian. Hot deformation behaviors of M35 high speed steell[J]. Journal of Plasticity Engineering, 2016,23(6):144−150. (王坚. M35高速钢的热变形行为研究[J]. 塑性工程学报, 2016,23(6):144−150.
    [12] John J Jonas, Xavier Quelence, Lan Jiang. The avrami kinetics of dynamic recrystallization[J]. Acta Mater, 2009,33(2):1−9.
    [13] Medina S F, Hernandez C A. Modeling of the dynamic recrystallization of austenite in low alloy and micro-alloyed steels[J]. Acta Mater, 1996,44(1):165−171. doi: 10.1016/1359-6454(95)00154-6
    [14] Zener C, Hollomon H. Effect of strain-rate upon the plastic flow of steel[J]. J. Appl. Phys, 1944,15:22−27. doi: 10.1063/1.1707363
    [15] Liu Jiantao, Chang Hongbing, Wu Ruiheng, et al. Investigation on hot deformation behavior of AISI T1 high speed steel[J]. Mater Charact, 2000,(45):175−186.
    [16] Suresh K, Rao K P, Prasad Y, et al. Effect of calcium addition on the hot working behavior of as-cast AZ31 magnesium alloy[J]. Materials Science and Engineering A, 2013,588:272−279. doi: 10.1016/j.msea.2013.09.031
    [17] Dharmendra C, Rao K P, Zhao F, et al. Effect of silicon content on hot working, processing maps, and microstructural evolution of cast TX32-0.4 Al magnesium alloy[J]. Materials Science and Engineering A, 2014,606:11−23. doi: 10.1016/j.msea.2014.03.087
    [18] Kang F W, Zhang G Q, Sun J F, et al. Hot deformation behavior of a spray formed superalloy[J]. Journal of Materials Processing Technology, 2008,204(1):147−151.
    [19] Prasad Y, Gegel H L, Doraivelu S M, et al. Modeling of dynamic material behavior in hot deformation: forging of Ti-6242[J]. Metallurgical Transactions A, 1984,15(10):1883−1892. doi: 10.1007/BF02664902
    [20] Pradad Y. Recent advances in the science of mechanical processing[J]. Indian Journal of Technology, 1990,28(6−8):435−451.
  • 加载中
图(9) / 表(1)
计量
  • 文章访问数:  999
  • HTML全文浏览量:  308
  • PDF下载量:  46
  • 被引次数: 0
出版历程
  • 收稿日期:  2021-02-22
  • 刊出日期:  2021-08-10

目录

    /

    返回文章
    返回