中文核心期刊

SCOPUS 数据库收录期刊

中国科技核心期刊

美国《化学文摘》来源期刊

中国优秀冶金期刊

美国EBSCO数据库收录期刊

RCCSE中国核心学术期刊

美国《剑桥科学文摘》来源期刊

中国应用核心期刊(CACJ)

美国《乌利希期刊指南》收录期刊

中国学术期刊综合评价统计源刊

俄罗斯《文摘杂志》来源期刊

优秀中文科技期刊(西牛计划)

日本《科学技术文献数据库》(JST)收录刊

留言板

尊敬的读者、作者、审稿人, 关于本刊的投稿、审稿、编辑和出版的任何问题, 您可以本页添加留言。我们将尽快给您答复。谢谢您的支持!

姓名
邮箱
手机号码
标题
留言内容
验证码

异厚板激光拼焊接头动态拉伸性能数值仿真方法研究

郑帮智 田晓琳 王泽龙 唐新新

郑帮智, 田晓琳, 王泽龙, 唐新新. 异厚板激光拼焊接头动态拉伸性能数值仿真方法研究[J]. 钢铁钒钛, 2021, 42(5): 62-68. doi: 10.7513/j.issn.1004-7638.2021.05.010
引用本文: 郑帮智, 田晓琳, 王泽龙, 唐新新. 异厚板激光拼焊接头动态拉伸性能数值仿真方法研究[J]. 钢铁钒钛, 2021, 42(5): 62-68. doi: 10.7513/j.issn.1004-7638.2021.05.010
Zheng Bangzhi, Tian Xiaolin, Wang Zelong, Tang Xinxin. Research on numerical simulation method for dynamic tensile performance of laser tailor-welded joints of different thickness[J]. IRON STEEL VANADIUM TITANIUM, 2021, 42(5): 62-68. doi: 10.7513/j.issn.1004-7638.2021.05.010
Citation: Zheng Bangzhi, Tian Xiaolin, Wang Zelong, Tang Xinxin. Research on numerical simulation method for dynamic tensile performance of laser tailor-welded joints of different thickness[J]. IRON STEEL VANADIUM TITANIUM, 2021, 42(5): 62-68. doi: 10.7513/j.issn.1004-7638.2021.05.010

异厚板激光拼焊接头动态拉伸性能数值仿真方法研究

doi: 10.7513/j.issn.1004-7638.2021.05.010
详细信息
    作者简介:

    郑帮智(1988—),男,硕士,工程师,主要研究方向:材料动态性能测试与仿真,E-mail:zbz315@126.com。

  • 中图分类号: TF76,TG456.7

Research on numerical simulation method for dynamic tensile performance of laser tailor-welded joints of different thickness

  • 摘要: 研究了异厚板HC340LA和HC260LA低合金高强钢激光拼焊工艺,对焊接接头进行了X射线探伤、静态拉伸、金相组织和显微硬度检测与分析。结果表明,异厚低合金高强钢通过激光拼焊工艺可以得到成形良好的焊缝,焊缝组织以柱状马氏体为主。焊缝经探伤无明显可见气孔、夹渣等缺陷,拉伸试样断裂位置位于薄板母材一侧上,且焊缝融合区硬度明显高于母材。针对激光拼焊接头进行了动态拉伸试验和数值仿真分析,研究了共节点模型与试验的差异性、区域效应和厚度效应对应力应变的影响规律。研究表明,采用共节点数值模型进行动态拉伸仿真,其应变值远大于试验测得的应变值。焊缝相关联的母材区域可直接调控应力应变的分布情况,可通过区域效应调控应变的大小,厚度效应调控应力的大小。
  • 图  1  焊接接头的探伤、拉伸、硬度分布和显微组织

    Figure  1.  (a) X-ray inspection, (b) tensile, (c) microhardness distribution and (d-g) microstructures of the welded joint

    图  2  动态拉伸数值模型

    Figure  2.  Numerical models for dynamic tensile test

    图  3  试验测试的应变分布

    Figure  3.  Experimental strain distribution

    图  4  模型中试样的区域划分

    Figure  4.  Partition of the sample in numerical simulation model

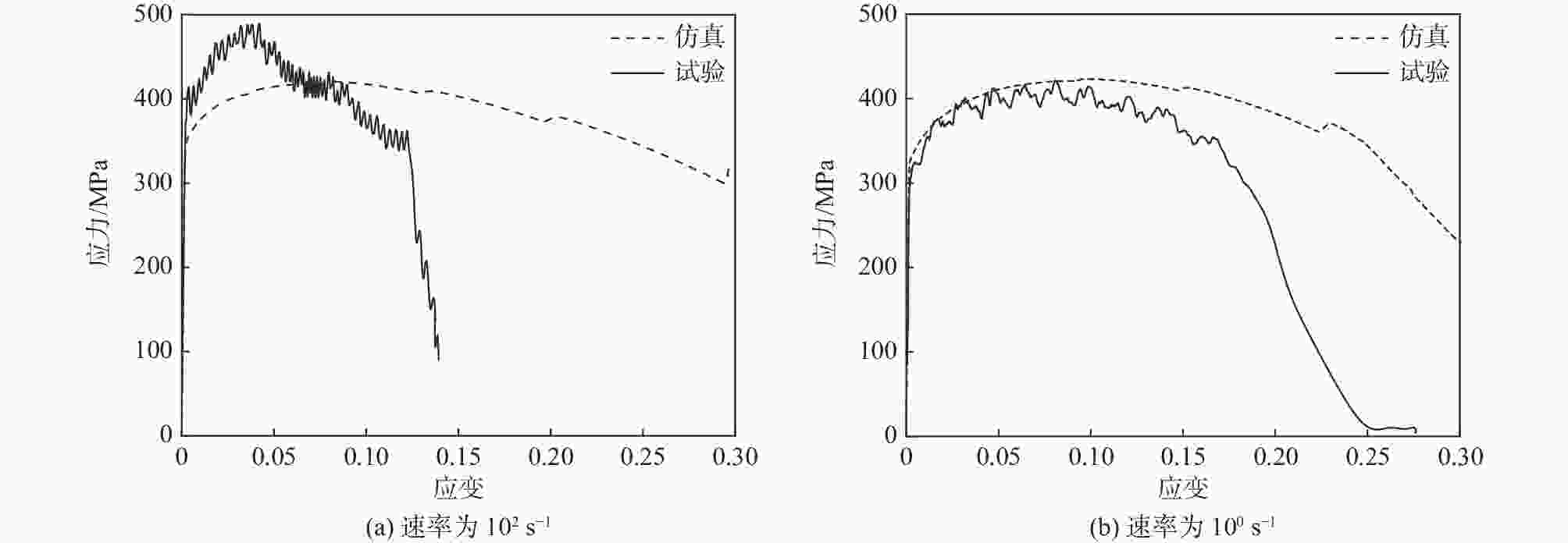
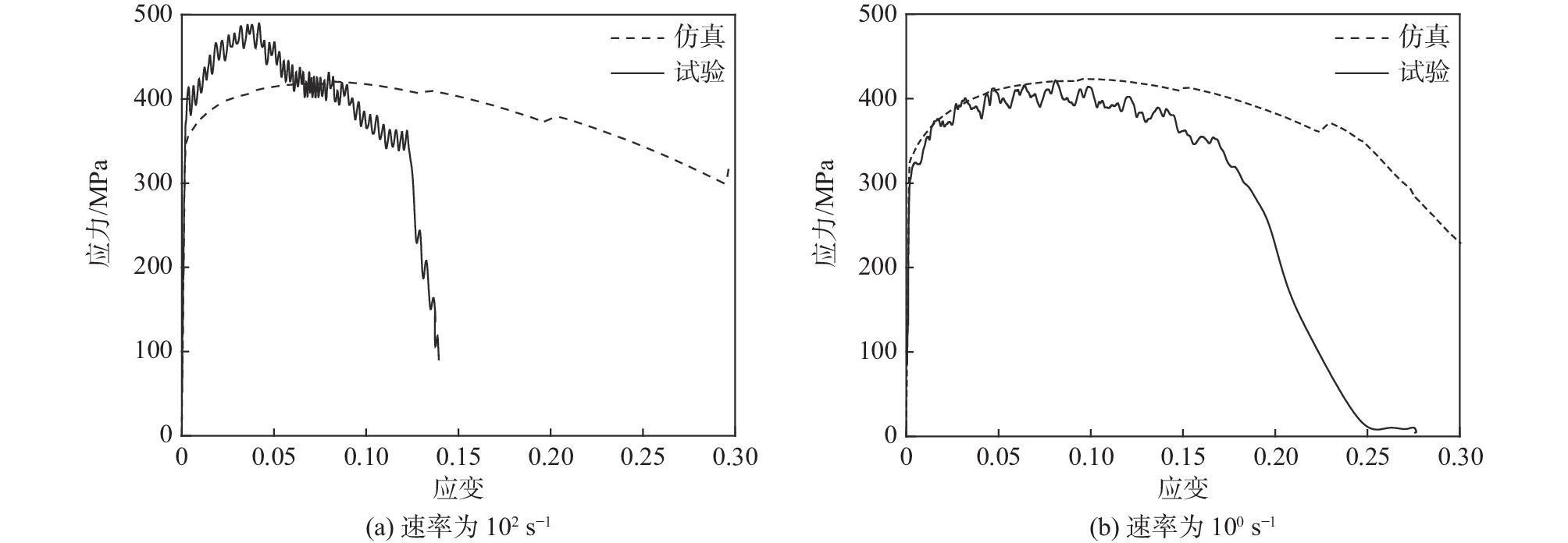
    图  5  试样的应力应变曲线

    Figure  5.  Stress-strain curves of the sample

    图  6  共节点模型的应力应变曲线

    Figure  6.  Stress-strain curves of the common node model

    图  7  区域效应对应变的影响

    Figure  7.  The effect of the area size on the strain

    图  8  厚度效应对应力的影响

    Figure  8.  The effect of the thickness on the stress

    图  9  激光拼焊板成形试验

    Figure  9.  The forming test of laser tailor-welded blanks

    图  10  塑性应变云图的对比

    Figure  10.  Comparison of the plastic strain cloud diagrams of various models

  • [1] Chen Jie, Chen Wei, Xue Lei, et al. Experimental research on tensile test of B170P1 multi-gauge high strength steel laser tailor-welded blanks[J]. Forging & Stamping Technology, 2009,34(5):33−36. (陈洁, 陈炜, 薛雷, 等. B170P1差厚高强度钢激光拼焊板拉伸试验研究[J]. 锻压技术, 2009,34(5):33−36. doi: 10.3969/j.issn.1000-3940.2009.05.010
    [2] Wei Chunhua, Wu Fengshun, Tao Wu, et al. Joint microstructure performance and laser tailor welded blanks of DP600 and IF steels with dissimilar thickness[J]. J. Huazhong Univ. of Sci. & Tech. (Natural Science Edition), 2014,42(7):128−132. (韦春华, 吴丰顺, 陶武, 等. 不等厚DP600与IF钢激光拼焊工艺和接头组织性能[J]. 华中科技大学学报(自然科学版), 2014,42(7):128−132.
    [3] Zhang Fan, Li Fang, Hua Xueming, et al. Research of microstructure and mechanical properties of laser tailor-welded blank of cold rolled multi-phase steel and HSLA[J]. Chinese Journal of Lasers, 2015,42(9):157−163. (张帆, 李芳, 华学明, 等. 冷轧复相钢与低合金高强钢差厚板激光拼焊的焊缝组织与力学性能研究[J]. 中国激光, 2015,42(9):157−163.
    [4] 王春燕, 韩英淳. 不等厚激光拼焊板焊缝处力学性能的试验研究[C]// 2008中国汽车工程学会年会. 天津: 中国汽车工程学会, 2008: 4.

    Wang Chunyan, Han Yingchun. Tensile testing on the mechanical properties of weld metal in dissimilar gage tailor-welded blanks[C]//Tianjin: China Society of Automotive Engineering, 2008: 4.
    [5] Dong Danyang, Liu Yang, Wang Lei, et al. Effect of strain rate on dynamic deformation behavior of laser welded DP780 steel joints[J]. Acta Metallurgica Sinica, 2013,49(12):1493−1500. (董丹阳, 刘杨, 王磊, 等. 应变速率对DP780钢激光焊接接头动态变形行为的影响[J]. 金属学报, 2013,49(12):1493−1500. doi: 10.3724/SP.J.1037.2013.00341
    [6] 刘奋. 双相钢激光拼焊接头力学性能及动态变形行为研究[D]. 武汉: 华中科技大学, 2015.

    Liu Fen. Research on mechanical properties and dynamic deformation behavior for laser welding joints of dual-phase steels[D]. Wuhan: Huazhong University of Science and Technology, 2015.
    [7] GB/T30069.2—2016. 金属材料-高应变速率拉伸试验-第2部分: 液压伺服型与其他类型试验系统[S]. 北京: 中国标准出版社, 2016.

    GB/T30069.2—2016, Metallic materials-tensile testing at high strain rates - part 2: Servo-hydraulic and other test systems[S]. Beijing: Standards Press of China, 2016.
    [8] Li Fan, Huang Jiaqi, Sun Qilin, et al. Research on dynamic mechanical properties of HC340LA and its simulation application in collision condition[J]. Forging & Stamping Technology, 2019,44(1):176−181. (李凡, 黄家奇, 孙启林, 等. HC340LA动态力学性能研究及在碰撞工况中的仿真应用[J]. 锻压技术, 2019,44(1):176−181.
  • 加载中
图(10)
计量
  • 文章访问数:  4610
  • HTML全文浏览量:  217
  • PDF下载量:  70
  • 被引次数: 0
出版历程
  • 收稿日期:  2021-01-06
  • 刊出日期:  2021-10-30

目录

    /

    返回文章
    返回