中文核心期刊

SCOPUS 数据库收录期刊

中国科技核心期刊

美国《化学文摘》来源期刊

中国优秀冶金期刊

美国EBSCO数据库收录期刊

RCCSE中国核心学术期刊

美国《剑桥科学文摘》来源期刊

中国应用核心期刊(CACJ)

美国《乌利希期刊指南》收录期刊

中国学术期刊综合评价统计源刊

俄罗斯《文摘杂志》来源期刊

优秀中文科技期刊(西牛计划)

日本《科学技术文献数据库》(JST)收录刊

留言板

尊敬的读者、作者、审稿人, 关于本刊的投稿、审稿、编辑和出版的任何问题, 您可以本页添加留言。我们将尽快给您答复。谢谢您的支持!

姓名
邮箱
手机号码
标题
留言内容
验证码

Si对(Ti5Si3+TiBw)/TC11组织与性能影响

钟亮 付玉 王荫洋 韩俊刚 曹召勋 宋运坤 李雷 徐永东

钟亮, 付玉, 王荫洋, 韩俊刚, 曹召勋, 宋运坤, 李雷, 徐永东. Si对(Ti5Si3+TiBw)/TC11组织与性能影响[J]. 钢铁钒钛, 2022, 43(1): 40-47. doi: 10.7513/j.issn.1004-7638.2022.01.007
引用本文: 钟亮, 付玉, 王荫洋, 韩俊刚, 曹召勋, 宋运坤, 李雷, 徐永东. Si对(Ti5Si3+TiBw)/TC11组织与性能影响[J]. 钢铁钒钛, 2022, 43(1): 40-47. doi: 10.7513/j.issn.1004-7638.2022.01.007
Zhong Liang, Fu Yu, Wang Yinyang, Han Jungang, Cao Zhaoxun, Song Yunkun, Li Lei, Xu Yongdong. Effect of Si on microstructure and mechanical properties of (Ti5Si3 + TiBw)/TC11[J]. IRON STEEL VANADIUM TITANIUM, 2022, 43(1): 40-47. doi: 10.7513/j.issn.1004-7638.2022.01.007
Citation: Zhong Liang, Fu Yu, Wang Yinyang, Han Jungang, Cao Zhaoxun, Song Yunkun, Li Lei, Xu Yongdong. Effect of Si on microstructure and mechanical properties of (Ti5Si3 + TiBw)/TC11[J]. IRON STEEL VANADIUM TITANIUM, 2022, 43(1): 40-47. doi: 10.7513/j.issn.1004-7638.2022.01.007

Si对(Ti5Si3+TiBw)/TC11组织与性能影响

doi: 10.7513/j.issn.1004-7638.2022.01.007
基金项目: 宁波市自然科学基金项目(202003N4340);科技创新2025重大专项(2020Z060)。
详细信息
    作者简介:

    钟亮(1995—),男,湖北麻城人,硕士,研究方向为钛合金及其复合材料,E-mail: m13129966248@163.com

    通讯作者:

    付玉,女,博士,研究方向为金属基复合材料,E-mail:fuyuayu@126.com

  • 中图分类号: TF823,TF124

Effect of Si on microstructure and mechanical properties of (Ti5Si3 + TiBw)/TC11

  • 摘要: 采用粉末冶金法制备原位自生网状(Ti5Si3+TiBw)/TC11复合材料,对其金相组织、微观形貌、力学性能与断口进行研究分析。结果表明:TiBw 、部分Ti5Si3分布于基体颗粒周围,呈准连续网状分布;其余Ti5Si3分布于基体周围、β-Ti内、α-Ti与β-Ti相界处。随着Si元素的增加,原位生成Ti5Si3增多,α-Ti由长片状变为短棒状并趋向于等轴状,有明显细化组织作用。TiBw、Ti5Si3起到载荷传递、强化相界等作用,一方面Ti5Si3、TiBw 降低基体连通性,另一方面细化组织;复合材料强度提高的同时牺牲了部分塑性。 随着Si元素的增加,复合材料强度、塑性先增加后降低。(2vol.%Ti5Si3 + 5vol.%TiBw)/TC11具有最高的抗拉强度和抗压强度,分别为 1105.8 MPa和1870.6 MPa,具有优异的综合力学性能。 (Ti5Si3+TiBw)/TC11断口形貌以韧窝为主,在断裂过程中 (Ti5Si3+TiBw) 起到减缓裂纹扩展的作用。
  • 图  1  烧结态TMCs 试样XRD图谱

    (a) 低倍;(b) 低倍(a)的局部

    Figure  1.  XRD patterns of sintered TMCs

    图  2  烧结态TMCs致密度

    Figure  2.  Density of sintered TMCs

    图  3  烧结态TMCs 金相组织

    (a) TC11;(b) TMC0;(c) TMC2;(d)TMC2,高倍

    Figure  3.  Metallographic structure of sintered TMCs

    图  4  网状(Ti5Si3+TiBw)/TC11制备原理

    Figure  4.  Schematic diagram for preparation of network (Ti5Si3 + TiBw)/TC11

    图  5  (Ti5Si3+TiBw)/TC11的显微组织

    Figure  5.  Microstructure of (Ti5Si3+TiBw)/TC11

    (a)、(d) TMC2; (b)、(e) TMC4; (c)、(f) TMC6

    图  6  (Ti5Si3+TiBw)/TC11在室温条件下拉伸性能

    Figure  6.  Tensile properties of (Ti5Si3+TiBW)/TC11 at room temperature

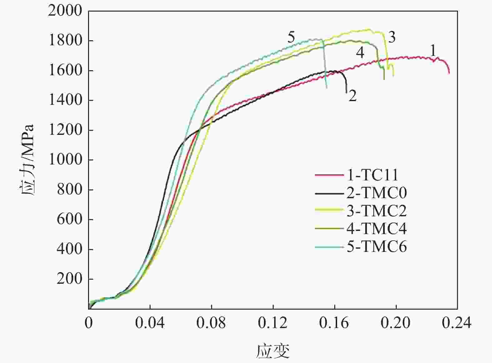
    图  7  (Ti5Si3 + TiBw)/TC11在室温条件下的压缩应力应变曲线

    Figure  7.  Compressive stress-strain curves of (Ti5Si3+TiBw)/TC11 at room temperature

    图  8  (Ti5Si3+TiBw)/TC11在室温条件下的压缩断口形貌

    Figure  8.  The compressive fracture morphology of (Ti5Si3+TiBw)/TC11 at room temperature

    (a)、 (d) TC11;(b)、 (e) TMC0;(c)、 (f) TMC2

    表  1  TC11化学成分

    Table  1.   Chemical compositions of TC11 %

    AlMoZrSiFeCOTi
    5.8~7.02.8~3.80.8~2.00.2~0.35≤0.25≤0.08≤0.15余量
    下载: 导出CSV

    表  2  材料增强相名义体积分数及编号

    Table  2.   Nominal volume fraction of reinforcement and the number of TMCs %

    试样Ti5Si3TiB
    TC11
    TMC05
    TMC225
    TMC445
    TMC665
    下载: 导出CSV

    表  3  不同增强体含量的(Ti5Si3+TiBw)/TC11的室温压缩性能

    Table  3.   Compression properties of (Ti5Si3+TiBw)/TC11 with different reinforcement content at room temperature

    试样编号屈服强度/MPa抗压强度/MPa断后压缩率/%
    TC111409.2±9.41684.3±14.523.49±0.16
    TMC01139.1±7.41601.1±8.716.76±0.13
    TMC21582.1±10.21870.6±10.519.89±0.11
    TMC41444.7±7.91800.4±7.419.18±0.14
    TMC61516.6±6.71819.4±6.415.42±0.08
    下载: 导出CSV
  • [1] Yang Yucheng, Pan Yu, Lu Xin, et al. Research progress of particle reinforced titanium matrix composites prepared by powder metallurgy[J]. Powder Metallurgy Technology, 2020,38(2):150−158. (杨宇承, 潘宇, 路新, 等. 粉末冶金法制备颗粒增强钛基复合材料的研究进展[J]. 粉末冶金技术, 2020,38(2):150−158.
    [2] Cai C, He S, Li L, et al. In-situ TiB/Ti-6Al-4V composites with a tailored architecture produced by hot isostatic pressing: microstructure evolution, enhanced tensile properties and strengthening mechanisms[J]. Composites Part B:Engineering, 2019,164:546−558. doi: 10.1016/j.compositesb.2019.01.080
    [3] Tang Menghan, Lu Jie, Chu Shiyi, et al. Microstructure of (TiB + TiC)/TC18 titanium matrix composites undergoing heat treated[J]. Iron Steel Vanadium Titanium, 2017,38(5):64−67,72. (唐梦涵, 鲁婕, 褚诗意, 等. 热处理(TiB+TiC)/TC18钛基复合材料的微观组织[J]. 钢铁钒钛, 2017,38(5):64−67,72. doi: 10.7513/j.issn.1004-7638.2017.05.012
    [4] Ammisetti D K, Kruthiventi S S H. Recent trends on titanium metal matrix composites: A review[J]. Materials Today:Proceedings, 2020,46:9730−9735.
    [5] 刘悦. (TiBw+(Ti, Zr)5Si3)/TA15复合材料组织与力学性能研究[D]. 哈尔滨: 哈尔滨工业大学, 2018.

    Liu Yue. (TiBw+(Ti, Zr)5Si3)/TA15 composite structure and mechanical properties [D]. Harbin: Harbin Institute of Technology, 2018.
    [6] Huang Lujun, Sun Fengbo, An Qi, et al. Powder metallurgy fabrication and heat treatment modification of (TiBw + (TiZr)5Si3)/ TA15 composites[J]. China Science:Technology Science, 2020,50(7):935−946. (黄陆军, 孙枫泊, 安琦, 等. (TiBw+(TiZr)5Si3)/TA15钛基复合材料粉末冶金制备与热处理改性[J]. 中国科学:技术科学, 2020,50(7):935−946.
    [7] Zhang R, Huang L, An Q, et al. The hyperbolic constitutive equations and modified dynamic material model of TiBw/Ti-6.5Al-2.5Zr-lMo-lV-0.5Si composites[J]. Materials Science and Engineering, 2019,766(24):138329.
    [8] 姚尧. 石墨烯/CNTs混杂增强钛基复合材料设计制备与数值模拟[D]. 哈尔滨: 哈尔滨工业大学, 2020.

    Yao Yao. Design preparation and numerical simulation of graphene/CNTs hybrid reinforced titanium matrix composites [D]. Harbin: Harbin Institute of Technology, 2020.
    [9] Liu Shifeng, Song Xi, Xue Tong, et al. Application and development of titanium alloy and titanium matrix composites in aerospace fieid[J]. Journal of Aeronautical Materials, 2020,40(3):77−94. (刘世锋, 宋玺, 薛彤, 等. 钛合金及钛基复合材料在航空航天的应用和发展[J]. 航空材料学报, 2020,40(3):77−94. doi: 10.11868/j.issn.1005-5053.2020.000061
    [10] Jianchao H, Lü Zhidan, Changjiang Z, et al. The Microstructural characterization and mechanical Properties of 5 vol.% (TiBw+TiCp)/Ti composite produced by open-die forging[J]. Metals-Open Access Metallurgy Journal, 2018,8(7):485.
    [11] Lu W J, Zhang D, Zhang X N, et al. Microstructure and tensile properties of in situ (TiB+TiC)/Ti6242 (TiB: TiC=1∶1) composites prepared by common casting technique[J]. Materials Science & Engineering A, 2001,311(1-2):142.
    [12] Zhou Zhiguang, Liu Yunzhong, Liu Xiaohui, et al. Microstructure evolution and mechanical properties of in-situ Ti6Al4V–TiB composites manufactured by selective laser melting[J]. Composites Part B:Engineering, 2020,207:108567.
    [13] Shi Chuan, Lei Jianbo, Zhou Shengfeng, et al. Research progress on continuous fiber-reinforced metal matrix composites and their laser cladding[J]. Progress in Laser and Optoelectronics, 2017,54(6):30−40. (石川, 雷剑波, 周圣丰, 等. 连续纤维增强金属基复合材料研究进展及其激光熔覆[J]. 激光与光电子学进展, 2017,54(6):30−40.
    [14] Feng Jiahao, Han Yuanfei, Huang Guangfa, et al. Crack propagation behavior of TiB+TiC+La2O3 ternary particle reinforced IMI834 titanium matrix composites[J]. Materials for Mechanical Engineering, 2018,42(2):8−12. (冯家浩, 韩远飞, 黄光法, 等. TiB+TiC+La2O3三元颗粒增强IMI834钛基复合材料的裂纹扩展行为[J]. 机械工程材料, 2018,42(2):8−12. doi: 10.11973/jxgccl201802002
    [15] Xie H , Jin Y X , Niu M Y, et al. Effect of multilayer graphene/nano-Fe2O3 composite additions on dry sliding wear behavior of titanium matrix composites[J]. Journal of Iron and Steel Research International, 2020, 279(9): 10.
    [16] Huang Lujun, Geng Lin. Titanium matrix with network microstructure[J]. Progress of Materials in China, 2016,35(9):674. (黄陆军, 耿林. 网状结构钛基复合材料研究进展[J]. 中国材料进展, 2016,35(9):674.
    [17] Wang S, Huang L J, Geng L, et al. Microstructure evolution and damage mechanism of layered titanium matrix composites under tensile loading[J]. Materials Science and Engineering A, 2020,777:139067. doi: 10.1016/j.msea.2020.139067
    [18] Hashin Z, Shtrikman S. A variational approach to the theory of the elastic behaviour of polycrystals[J]. Journal of the Mechanics & Physics of Solids, 1962,10(4):343.
    [19] 冯养巨. TiBw柱状网络增强钛基复合材料制备及强化机理研究[D]. 哈尔滨: 哈尔滨工业大学, 2018.

    Feng Yangju. Preparation and strengthening mechanism of TiBw columnar network reinforced titanium matrix composites [D]. Harbin: Harbin Institute of Technology, 2018.
    [20] Liu Q, Zhang X C, Wang Q, et al. Microstructure evolution of Ti5Si3 in Cu-Ti-Si alloys[J]. China Foundry, 2020,17(4):286−292. doi: 10.1007/s41230-020-9140-4
    [21] Hu Z, Zhan Y, She J. The role of Nd on the microstructural evolution and compressive behavior of Ti–Si alloys[J]. Materials Science & Engineering A, 2013,560(10):583.
    [22] Hsu H C, Wu S C, Hsu S K, et al. Structure and mechanical properties of as-cast Ti–Si alloys[J]. Intermetallics, 2014,47:11−16. doi: 10.1016/j.intermet.2013.12.004
    [23] Jiao Y, Huang L J, Wei S L, et al. Constructing two-scale network microstructure with nano-Ti5Si3 for superhigh creep resistance[J]. Journal of Materials Science & Technology, 2019,35(8):1532.
    [24] 焦阳. 两级网状结构(Ti5Si3+TiBw)/Ti6Al4V复合材料研究[D]. 哈尔滨: 哈尔滨工业大学, 2018.

    Jiao Yang. Research on (Ti5Si3+TiBw)/Ti6Al4V composites with two-scale network structure [D]. Harbin: Harbin Institute of technology, 2018.
  • 加载中
图(8) / 表(3)
计量
  • 文章访问数:  994
  • HTML全文浏览量:  347
  • PDF下载量:  36
  • 被引次数: 0
出版历程
  • 收稿日期:  2021-09-26
  • 网络出版日期:  2022-02-28
  • 刊出日期:  2022-02-28

目录

    /

    返回文章
    返回