中文核心期刊

SCOPUS 数据库收录期刊

中国科技核心期刊

美国《化学文摘》来源期刊

中国优秀冶金期刊

美国EBSCO数据库收录期刊

RCCSE中国核心学术期刊

美国《剑桥科学文摘》来源期刊

中国应用核心期刊(CACJ)

美国《乌利希期刊指南》收录期刊

中国学术期刊综合评价统计源刊

俄罗斯《文摘杂志》来源期刊

优秀中文科技期刊(西牛计划)

日本《科学技术文献数据库》(JST)收录刊

留言板

尊敬的读者、作者、审稿人, 关于本刊的投稿、审稿、编辑和出版的任何问题, 您可以本页添加留言。我们将尽快给您答复。谢谢您的支持!

姓名
邮箱
手机号码
标题
留言内容
验证码

工业纯钛TA2拉伸及低周疲劳性能的各向异性

梁远长 常乐 周昌玉

梁远长, 常乐, 周昌玉. 工业纯钛TA2拉伸及低周疲劳性能的各向异性[J]. 钢铁钒钛, 2022, 43(2): 41-47. doi: 10.7513/j.issn.1004-7638.2022.02.007
引用本文: 梁远长, 常乐, 周昌玉. 工业纯钛TA2拉伸及低周疲劳性能的各向异性[J]. 钢铁钒钛, 2022, 43(2): 41-47. doi: 10.7513/j.issn.1004-7638.2022.02.007
Liang Yuanchang, Chang Le, Zhou Changyu. Anisotropy of tensile and low cycle fatigue properties of commercial pure titanium TA2[J]. IRON STEEL VANADIUM TITANIUM, 2022, 43(2): 41-47. doi: 10.7513/j.issn.1004-7638.2022.02.007
Citation: Liang Yuanchang, Chang Le, Zhou Changyu. Anisotropy of tensile and low cycle fatigue properties of commercial pure titanium TA2[J]. IRON STEEL VANADIUM TITANIUM, 2022, 43(2): 41-47. doi: 10.7513/j.issn.1004-7638.2022.02.007

工业纯钛TA2拉伸及低周疲劳性能的各向异性

doi: 10.7513/j.issn.1004-7638.2022.02.007
基金项目: 国家自然科学基金资助(编号:51905260,51975271)。
详细信息
    作者简介:

    梁远长(1999—),男,四川达州人,硕士,主要从事钛金属力学行为研究,E-mail: 860332179@qq.com

    通讯作者:

    常乐(1991—),男,副研究员,主要从事化工设备的结构强度研究,E-mail: chellechang@163.com

  • 中图分类号: TF823,TG146.2

Anisotropy of tensile and low cycle fatigue properties of commercial pure titanium TA2

  • 摘要: 为系统研究工业纯钛TA2拉伸性能及低周疲劳性能的各向异性,沿轧制方向(RD)、与RD呈30°方向(RD-30°)、与RD呈60°方向(RD-60°)及垂直轧制方向(TD)开展了室温拉伸及低周疲劳试验。结果表明:随着取样角度增加,屈服强度增加,屈强比上升,材料的塑性下降。基于Hollomon模型及Johnson-Cook模型对工业纯钛真实应力应变曲线进行预测,发现Hollomon模型预测精度更高。低周疲劳试验结果表明:不同取样方向的试样均呈现循环软化特征,随着取样角度增加,恒定应变幅下循环应力幅值增加,总的应变能密度增加,导致疲劳寿命呈下降趋势。不同取向试样的低周疲劳寿命满足Manson-coffin经验关系式。
  • 图  1  拉伸试样尺寸

    Figure  1.  Tensile sample size

    图  2  疲劳试样尺寸

    Figure  2.  Fatigue sample size

    图  3  试样排布情况

    Figure  3.  Sample arrangement

    图  4  母材金相

    Figure  4.  Metallography of base metal

    图  5  TA2拉伸力学性能随加载方向和应变速率变化

    (a)屈服强度;(b)抗拉强度;(c)断后延伸率;(d)屈强比

    Figure  5.  Variations of tensile mechanical properties of TA2 with loading direction and strain rate

    图  6  Hollomon本构模型和JC本构模型预测情况

    Figure  6.  Prediction results of Hollomon and JC constitutive model

    (a) RD;(b) RD-30°;(c) RD-60°;(d) TD

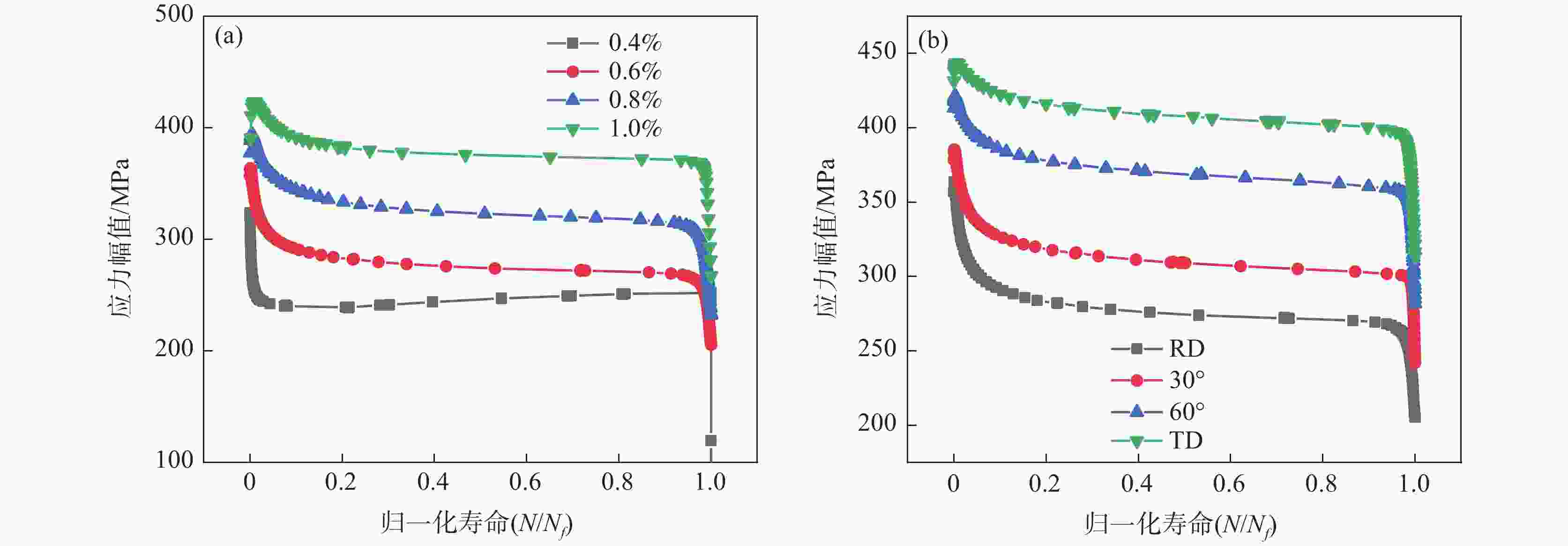
    图  7  循环应力幅与(a)应变幅值及(b)加载方向的相关性

    Figure  7.  Dependence of cyclic stress amplitude with (a) strain amplitude and (b) loading direction

    图  8  疲劳寿命随加载方向的变化情况

    Figure  8.  Variation of fatigue life with loading direction

    图  9  总应变能密度随加载方向和幅值变化情况

    Figure  9.  Variation of total strain energy density with loading direction and amplitude

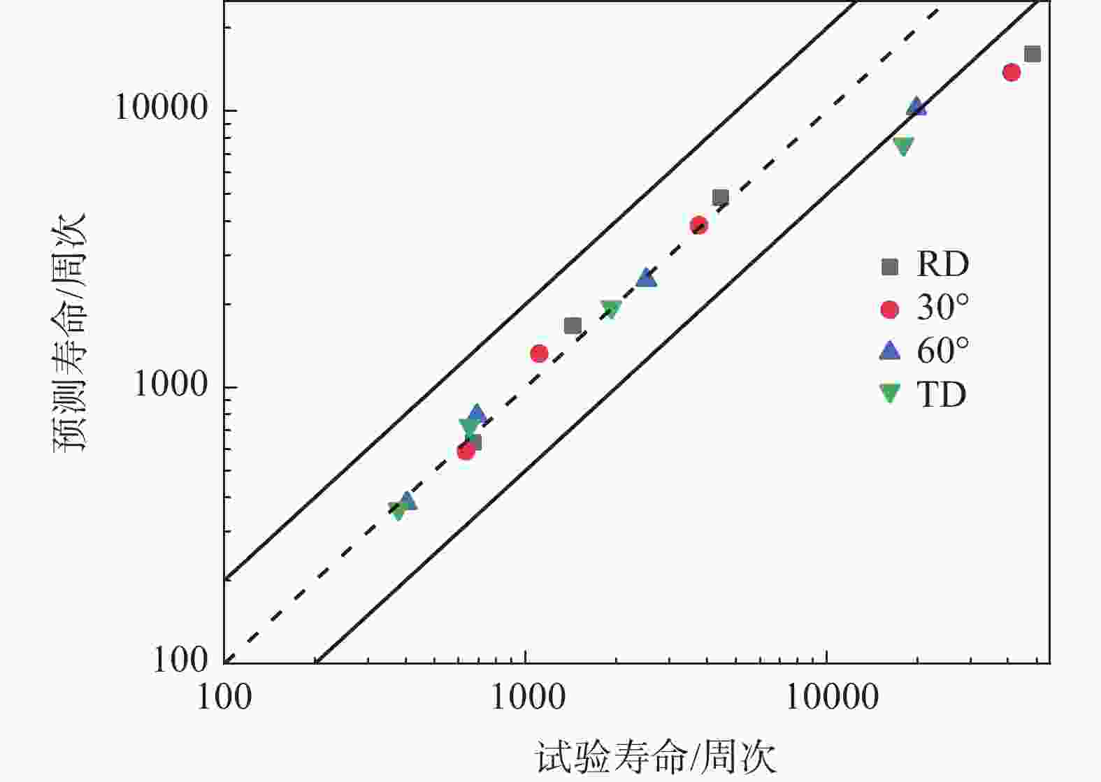
    图  10  基于总应变能密度的疲劳寿命预测与试验结果对比

    Figure  10.  Comparison between fatigue life prediction by total strain energy density and experimental results

    图  11  Manson-coffin模型预测寿命与试验结果对比

    Figure  11.  Comparison between predicted life by Manson-coffin model and experimental results

    表  1  TA2的化学成分

    Table  1.   Chemical compositions of TA2 %

    TiFeCNHO其它元素
    单个总和
    > 990.020.010.010.0020.14< 0.1< 0.4
    下载: 导出CSV

    表  2  不同疲劳模型参数拟合值

    Table  2.   Fitting values of different fatigue model parameters

    加载方向Manson-coffin模型基于总能量密度模型
    $\sigma _{{f}}^{'}$ $\varepsilon _f^{'}$ b c k c
    RD 852.23 5.57 −0.1072 −0.3104 1.99 −0.524
    30o 804.06 6.35 −0.0966 −0.3378 2.84 −0.568
    60o 862.81 7.46 −0.1008 −0.3908 2.99 −0.590
    TD 925.24 8.21 −0.1028 −0.4191 4.3 −0.651
    下载: 导出CSV
  • [1] Chang Hui, Zhou Lian, Wang Xiangdong. Development and future of Chinese titanium industry and technology[J]. Journal of Aeronautical Materials, 2014,34(4):39. (常辉, 周廉, 王向东. 我国钛工业技术进展及展望[J]. 航空材料学报, 2014,34(4):39.
    [2] Jia Hong, Lu Fusheng, Hao Bin. Report on China titanium industry in 2020[J]. Iron Steel Vanadium Titanium, 2021,42(3):1−9. (贾翃, 逯福生, 郝斌. 2020年中国钛工业发展报告[J]. 钢铁钒钛, 2021,42(3):1−9. doi: 10.7513/j.issn.1004-7638.2021.03.001
    [3] Peng L, Hao Y, Zhang B, et al. Tension-compression asymmetry in yielding and strain hardening behavior of CP-Ti at room temperature[J]. Materials Science and Engineering:A, 2017,707:172−180. doi: 10.1016/j.msea.2017.09.042
    [4] Roth A, Lebyodkin M A, Lebedkina T A, et al. Mechanisms of anisotropy of mechanical properties of α-titanium in tension conditions[J]. Materials Science & Engineering A, 2014,596:236−243.
    [5] Takao K, Kusukawa K. Low-cycle fatigue behavior of commercially pure titanium[J]. Materials Science & Engineering A, 1996,213(1-2):81−85.
    [6] Ishihara S, Taneguchi S, Shibata H, et al. Anisotropy of the fatigue behavior of extruded and rolled magnesium alloys[J]. International Journal of Fatigue, 2013,50:94−100. doi: 10.1016/j.ijfatigue.2012.02.011
    [7] Mao P, Liu Z, Wang C. Texture effect on high strain rates tension and compression deformation behavior of extruded AM30 alloy[J]. Materials Science & Engineering A, 2012,539:13−21.
    [8] 刘定凯. 工业纯钛板材的成形性能及各向异性研究[D]. 重庆: 重庆大学, 2016.

    Liu Dingkai. The study of formability and anisotropy in commercially pure titanium sheet[D]. Chongqing: Chongqing University, 2016.
    [9] Tian Chenchao, Jiao Lei, Zhang Juan, et al. Anisotropy of plastic deformation of pure titanium sheet during tensile test at room temperature[J]. Welded Pipe and Tupe, 2018,41(10):18−21. (田晨超, 焦磊, 张娟, 等. 纯钛板材室温拉伸塑性变形的各向异性[J]. 焊管, 2018,41(10):18−21.
    [10] Chang L, Ma T H, Zhou B B, et al. Comprehensive investigation of fatigue behavior and a new strain-life model for CP-Ti under different loading conditions[J]. International Journal of Fatigue, 2019,129:105220. doi: 10.1016/j.ijfatigue.2019.105220
    [11] Chang L, Zhou B B, Ma T H, et al. The difference in low cycle fatigue behavior of CP-Ti under fully reversed strain and stress-controlled modes along rolling direction[J]. Materials Science & Engineering A, 2019,742:211−223.
    [12] Neeraj T, Hou D H, Daehn G S, et al. Phenomenological and microstructural analysis of room temperature creep in titanium alloys[J]. Acta Materialia, 2000,48(6):1225−1238. doi: 10.1016/S1359-6454(99)00426-7
    [13] Johnson G R, Cook W H. Fracture characteristics of three metals subjected to various strains, strain rates, temperatures and pressures[J]. Engineering Fracture Mechanics, 1985,21(1):31−48. doi: 10.1016/0013-7944(85)90052-9
    [14] Becker H, Pantleon W. Work-hardening stages and deformation mechanism maps during tensile deformation of commercially pure titanium[J]. Computational Materials Science, 2013,76:52−59. doi: 10.1016/j.commatsci.2013.03.028
    [15] Lv F, Yang F, Duan Q Q, et al. Tensile and low-cycle fatigue properties of Mg–2.8% Al–1.1% Zn–0.4% Mn alloy along the transverse and rolling directions[J]. Scripta Materialia, 2009,61(9):887−890. doi: 10.1016/j.scriptamat.2009.07.023
    [16] Lin Y C, Chen X M, Liu Z H, et al. Investigation of uniaxial low-cycle fatigue failure behavior of hot-rolled AZ91 magnesium alloy[J]. International Journal of Fatigue, 2012,48:122−132.
  • 加载中
图(11) / 表(2)
计量
  • 文章访问数:  939
  • HTML全文浏览量:  151
  • PDF下载量:  84
  • 被引次数: 0
出版历程
  • 收稿日期:  2022-01-21
  • 网络出版日期:  2022-04-28
  • 刊出日期:  2022-04-28

目录

    /

    返回文章
    返回