中文核心期刊

SCOPUS 数据库收录期刊

中国科技核心期刊

美国《化学文摘》来源期刊

中国优秀冶金期刊

美国EBSCO数据库收录期刊

RCCSE中国核心学术期刊

美国《剑桥科学文摘》来源期刊

中国应用核心期刊(CACJ)

美国《乌利希期刊指南》收录期刊

中国学术期刊综合评价统计源刊

俄罗斯《文摘杂志》来源期刊

优秀中文科技期刊(西牛计划)

日本《科学技术文献数据库》(JST)收录刊

留言板

尊敬的读者、作者、审稿人, 关于本刊的投稿、审稿、编辑和出版的任何问题, 您可以本页添加留言。我们将尽快给您答复。谢谢您的支持!

姓名
邮箱
手机号码
标题
留言内容
验证码

四氯化钛泥浆真空搅拌蒸发技术与应用

许伟春 代应杰 魏治中 王丽娟

许伟春, 代应杰, 魏治中, 王丽娟. 四氯化钛泥浆真空搅拌蒸发技术与应用[J]. 钢铁钒钛, 2022, 43(2): 81-86. doi: 10.7513/j.issn.1004-7638.2022.02.013
引用本文: 许伟春, 代应杰, 魏治中, 王丽娟. 四氯化钛泥浆真空搅拌蒸发技术与应用[J]. 钢铁钒钛, 2022, 43(2): 81-86. doi: 10.7513/j.issn.1004-7638.2022.02.013
Xu Weichun, Dai Yingjie, Wei Zhizhong, Wang Lijuan. Development and application instances of vacuum stirring evaporation technology of titanium tetrachloride slurry[J]. IRON STEEL VANADIUM TITANIUM, 2022, 43(2): 81-86. doi: 10.7513/j.issn.1004-7638.2022.02.013
Citation: Xu Weichun, Dai Yingjie, Wei Zhizhong, Wang Lijuan. Development and application instances of vacuum stirring evaporation technology of titanium tetrachloride slurry[J]. IRON STEEL VANADIUM TITANIUM, 2022, 43(2): 81-86. doi: 10.7513/j.issn.1004-7638.2022.02.013

四氯化钛泥浆真空搅拌蒸发技术与应用

doi: 10.7513/j.issn.1004-7638.2022.02.013
详细信息
    作者简介:

    代应杰(1988—),男,河南洛阳人,硕士,高级工程师,通讯作者,主要从事钛冶炼技术研发,电话:0379-67325068,E-mail:15036992575@163.com

  • 中图分类号: TF823,X757

Development and application instances of vacuum stirring evaporation technology of titanium tetrachloride slurry

  • 摘要: 为实现泥浆中四氯化钛及有价金属的高效回收利用,进行了四氯化钛泥浆真空旋转蒸发试验,并设计了真空搅拌蒸发系统。利用余热蒸汽加热四氯化钛,螺杆真空泵组提供较高真空度,搅拌桨叶对泥浆进行搅拌,所得四氯化钛干粉含湿率低于1%,四氯化钛回收率达99%,有效解决了四氯化钛泥浆难处理及泥浆中有价金属难回收的问题。且该系统运行对环境友好,设备运行效率高,自动化程度高,适用于大规模的四氯化钛生产。
  • 图  1  RE-5003型旋转蒸发器

    Figure  1.  RE-5003 rotary evaporator

    图  2  四氯化钛沸点与蒸气压的关系

    Figure  2.  Relationship between the boiling point of titanium tetrachloride and the vapor pressure

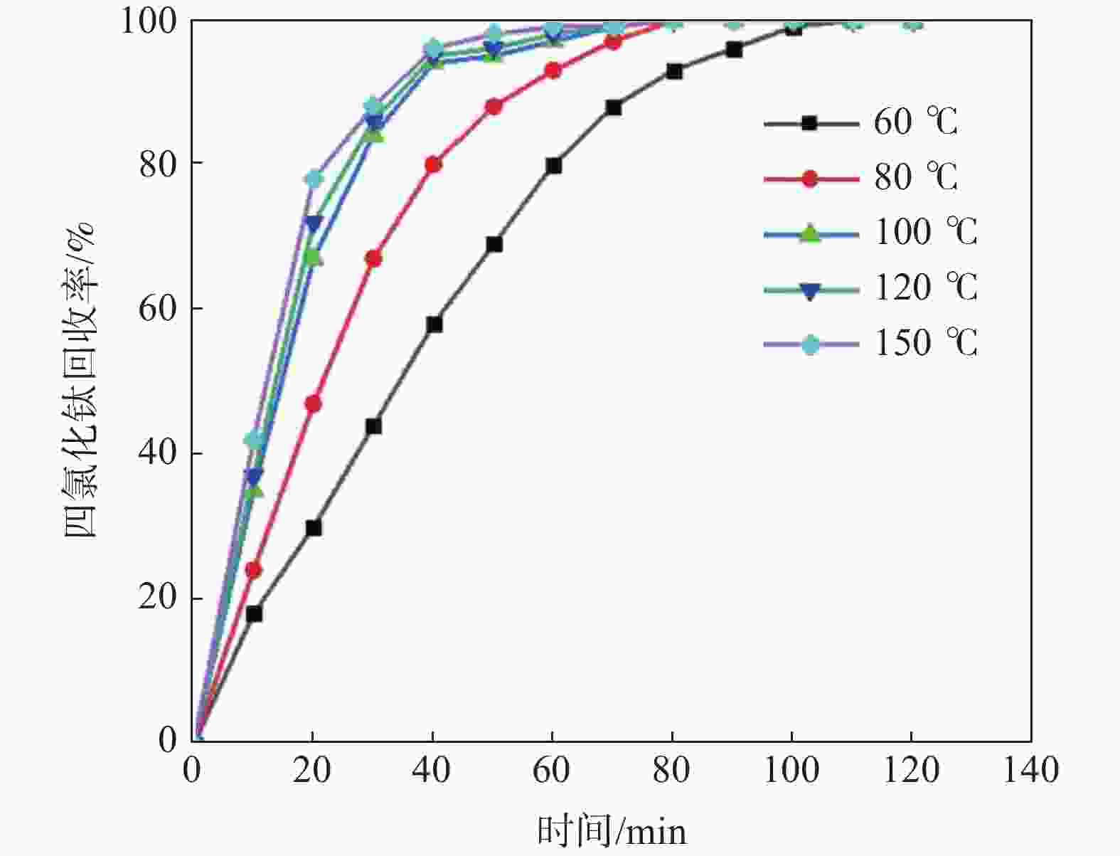
    图  3  四氯化钛回收率与油浴温度的关系

    Figure  3.  Relationship between the recovery rate of titanium tetrachloride and the temperature of the oil bath

    图  4  真空蒸发试验清液分离效果

    Figure  4.  The separation effect of clear liquid in the vacuum evaporation experiment

    图  5  真空蒸发试验固体颗粒物分离效果

    Figure  5.  The separation effect of solid particles in the vacuum evaporation experiment

    图  6  四氯化钛泥浆真空搅拌蒸发技术方案

    Figure  6.  Technical scheme of titanium tetrachloride slurry vacuum stirring and evaporation

    图  7  四氯化钛泥浆蒸发得到固体粉末样品

    Figure  7.  Titanium tetrachloride slurry evaporates to produce a sample of solid powder

    图  8  泥浆蒸发回收得到四氯化钛样品

    Figure  8.  The mud evaporates and is recovered to produce a titanium tetrachloride sample

    图  9  泥浆真空蒸发试验固体颗粒物粒度分析

    Figure  9.  The particle size analysis of solid particles in the mud vacuum evaporation experiment

    表  1  真空蒸发时间对四氯化钛回收率和固体含湿率的影响

    Table  1.   The effect of vacuum evaporation time on the recovery rate of titanium tetrachloride and solid moisture content

    蒸发时间/
    min
    TiCl4
    回收率/%
    固体含
    湿率/%
    蒸发时间/
    min
    TiCl4
    回收率/%
    固体
    含湿率/%
    007350992.9
    1065486099.22
    2090219099.31.1
    309611.112099.51
    40986.2
    下载: 导出CSV

    表  2  四氯化钛泥浆蒸发后固体颗粒物含量

    Table  2.   Solid particles content after evaporation of titanium tetrachloride slurry %

    试样TiO2Al2O3TFeSiO2V2O5ZrO2Nb2O5
    冷凝泥浆3.115.1108.840.736.948.9
    精制泥浆5.417.116.6125.321.81.6
    下载: 导出CSV
  • [1] 莫畏, 邓国珠, 罗方承. 钛冶金[M]. 北京: 冶金工业出版社, 2007.

    Mo Wei, Deng Guozhu, Luo Fangcheng. Titanium metallurgy[M]. Beijing: Metallurgical Industry Press, 2007.
    [2] Wang Juan. Research and application of the method of recovering titanium tetrachloride from mud in the process of sponge titanium smelting[J]. Energy Saving of Nonferrous Metallurgy, 2015,(5):35−38. (王鹃. 海绵钛冶炼过程中从泥浆回收四氯化钛的方法研究与应用[J]. 有色冶金节能, 2015,(5):35−38.
    [3] Wang Xuewen, Wang Mingyu, Xiang Xiaoyan, et al. Spray drying to recover TiCl4 in sedimentation slurry[J]. Titanium Industry Progress, 2012,29(5):36−38. (王学文, 王明玉, 向小艳, 等. 喷雾干燥回收沉淀泥浆中的TiCl4[J]. 钛工业进展, 2012,29(5):36−38.
    [4] Liu Yunlong, Gui Jinsong. New technology for extracting vanadium from chloride slurry in titanium tetrachloride refining work shop[J]. Titanium Industry Progress, 2013,30(3):36−39. (柳云龙, 桂劲松. 四氯化钛精制车间氯化物泥浆提钒新工艺[J]. 钛工业进展, 2013,30(3):36−39.
    [5] Xiang Xiaoyan, Wang Xuewen, Wang Mingyu, et al. Recovery of TiCl4 from crude titanium tetrachloride precipitation slurry by molten salt distillation[J]. Rare Metals, 2016,40(1):57−63. (向小艳, 王学文, 王明玉, 等. 熔盐蒸馏法回收粗四氯化钛沉淀泥浆中的TiCl4[J]. 稀有金属, 2016,40(1):57−63.
    [6] Chen Zuchun, Zhao Jianxing, Tang Xiaolan. Optimization of a titanium tetrachloride slurry evaporation recovery treatment process[J]. Chemical Management, 2017,(2):35−36. (陈祖春, 赵建兴, 唐小兰. 对一种四氯化钛泥浆蒸发回收处理工艺的优化[J]. 化工管理, 2017,(2):35−36. doi: 10.3969/j.issn.1008-4800.2017.02.030
  • 加载中
图(9) / 表(2)
计量
  • 文章访问数:  661
  • HTML全文浏览量:  312
  • PDF下载量:  44
  • 被引次数: 0
出版历程
  • 收稿日期:  2021-12-17
  • 网络出版日期:  2022-04-28
  • 刊出日期:  2022-04-28

目录

    /

    返回文章
    返回