中文核心期刊

SCOPUS 数据库收录期刊

中国科技核心期刊

美国《化学文摘》来源期刊

中国优秀冶金期刊

美国EBSCO数据库收录期刊

RCCSE中国核心学术期刊

美国《剑桥科学文摘》来源期刊

中国应用核心期刊(CACJ)

美国《乌利希期刊指南》收录期刊

中国学术期刊综合评价统计源刊

俄罗斯《文摘杂志》来源期刊

优秀中文科技期刊(西牛计划)

日本《科学技术文献数据库》(JST)收录刊

留言板

尊敬的读者、作者、审稿人, 关于本刊的投稿、审稿、编辑和出版的任何问题, 您可以本页添加留言。我们将尽快给您答复。谢谢您的支持!

姓名
邮箱
手机号码
标题
留言内容
验证码

钒含量对稀土处理X80管线钢微观组织和析出相的影响

王树丹 宋波 毛璟红

王树丹, 宋波, 毛璟红. 钒含量对稀土处理X80管线钢微观组织和析出相的影响[J]. 钢铁钒钛, 2022, 43(2): 125-132, 177. doi: 10.7513/j.issn.1004-7638.2022.02.019
引用本文: 王树丹, 宋波, 毛璟红. 钒含量对稀土处理X80管线钢微观组织和析出相的影响[J]. 钢铁钒钛, 2022, 43(2): 125-132, 177. doi: 10.7513/j.issn.1004-7638.2022.02.019
Wang Shudan, Song Bo, Mao Jinghong. Effect of vanadium content on microstructure and precipitation of rare earth treated X80 linepipe steels[J]. IRON STEEL VANADIUM TITANIUM, 2022, 43(2): 125-132, 177. doi: 10.7513/j.issn.1004-7638.2022.02.019
Citation: Wang Shudan, Song Bo, Mao Jinghong. Effect of vanadium content on microstructure and precipitation of rare earth treated X80 linepipe steels[J]. IRON STEEL VANADIUM TITANIUM, 2022, 43(2): 125-132, 177. doi: 10.7513/j.issn.1004-7638.2022.02.019

钒含量对稀土处理X80管线钢微观组织和析出相的影响

doi: 10.7513/j.issn.1004-7638.2022.02.019
基金项目: 国家自然科学基金(52074025)。
详细信息
    作者简介:

    宋波(1963-),工学博士,教授/博士生导师,北京科技大学教务处处长,主要从事冶金熔体物理化学、氧化物冶金、超重力冶金、稀土在冶金和材料中的应用等领域研究,E-mail:songbo@metall.ustb.edu.cn

  • 中图分类号: TF76,TF841.3

Effect of vanadium content on microstructure and precipitation of rare earth treated X80 linepipe steels

  • 摘要: 针对国内某X80管线钢的抗腐蚀问题,在加入稀土(0.02%)处理后,设计三种不同钒含量(0.05%、0.10%、0.15%)的试验钢,通过光学显微镜(OM)、扫描电镜(SEM)、Thermo-Calc热力学软件、Fatesage7.0热力学软件、透射电子显微镜-能谱仪(TEM-EDS)等试验仪器对钢中组织和夹杂物的观察分析,论述了稀土在钢中对针状铁素体的生成机理。通过热力学计算,研究不同钒含量梯度对试验钢微观组织和析出相的影响。通过电化学技术检测了不同钒含量试验钢在(3.5%)NaCl溶液中抗腐蚀性能。结果表明:稀土可以变质夹杂物,诱导针状铁素体的形成。钒可以细化晶粒,从而起到细晶强化的作用。通过透射电镜观察,析出相的数量和平均尺寸都随着钒含量的增加而增加,有效起到钉扎作用,从而提高钢的强度。通过极化曲线和交流阻抗曲线看出,试验钢的抗腐蚀性能随着钒含量的增加先增强后减弱。钒促进铁素体的形成,晶粒过细反而导致抗腐蚀性能减弱。
  • 图  1  锻态微观组织

    (a) OM ,V1钢;(b) OM ,V2钢;(c) OM ,V3钢;(d) SEM, V1钢;(e) SEM ,V2钢;(f) SEM ,V3钢

    Figure  1.  OM microstructure and SEM of experimental steels

    图  2  Factsage计算V2钢中夹杂物生成与温度间的关系

    Figure  2.  Relationship between inclusions formation and temperature in V2 steel calculated by Factsage

    图  3  V2试验钢中有效夹杂物的形态与成分分析

    Figure  3.  Morphology and composition analysis of effective inclusions in V2 experimental steel

    图  4  三种试验钢中平衡相与温度的关系

    (a) V1钢;(b) V2钢;(c) V3钢

    Figure  4.  Relationship between equilibrium phase and temperature in three experimental steel

    图  5  三种试验钢中析出相的形貌和能谱

    (a)、(d) V1钢,(b)、(e) V2钢;(c)、(f) V3钢

    Figure  5.  Morphology and energy spectrum of precipitates in three experimental steel

    图  6  三种试验钢中析出相形貌及尺寸分布

    (a)、(d)V1钢;(b)、(e)V2钢;(c)、(f)V3钢

    Figure  6.  Morphology and size distribution of precipitated phase in three experimental steels

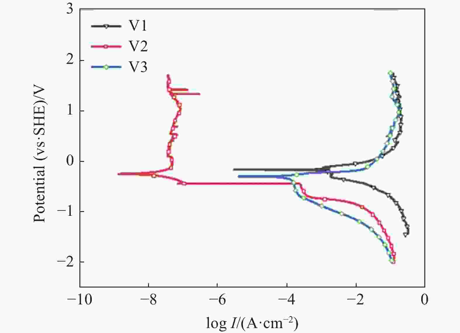
    图  7  三种试验钢在3.5% (质量分数) NaCl溶液中腐蚀后的极化曲线

    Figure  7.  Polarization curves of the three experimental steels after corrosion in 3.5% (mass fraction) NaCl solution

    图  8  三种试验钢在3.5%NaCl 溶液中腐蚀后的Nyquist谱

    Figure  8.  Nyquist diagram of three experimental steels corroded in 3.5%NaCl solution

    表  1  三种试验钢的主要化学成分

    Table  1.   Main chemical compositions of the three experimental steels %

    编号CSiMnSMoNbTiMoCeV
    V10.040.141.670.00340.0940.0130.00840.0940.01680.045
    V20.040.141.670.00380.0940.0140.00840.0940.01710.092
    V30.040.141.670.00390.0950.0140.00850.0950.01650.134
    下载: 导出CSV

    表  2  三种试验钢中V(C,N)平衡相的析出温度以及最大析出摩尔分数

    Table  2.   Precipitation temperature and maximum precipitation mole fraction of the V(C,N)in the three experimental steels

    钢种析出温度/℃最大析出摩尔分数
    V17436.92×10−4
    V27781.52×10−3
    V37902.1×10−3
    下载: 导出CSV

    表  3  试验钢腐蚀极化曲线的拟合参数

    Table  3.   Fitting parameters of corrosion polarization curve of experimental steel

    钢种腐蚀电位/mV腐蚀电流密度/(μA·cm−2)
    V1−397.070834.122
    V2−491.5860.07
    V3−554.45560.204
    下载: 导出CSV
  • [1] Joakim Andersson, Stefan Gronkvist. Large-scale storage of hydrogen[J]. International Journal of Hydrogen Energy, 2019,44:11901−11919. doi: 10.1016/j.ijhydene.2019.03.063
    [2] Liu Z Y, Wang X Z, Du C W, et al. Effect of hydrogen-induced plasticity on the stress corrosion cracking of X70 pipeline steel in simulated soil environments[J]. Materials Science and Engineering, 2016,658:348−354. doi: 10.1016/j.msea.2016.02.019
    [3] Yang Z X, Kan B, Li J X, et al. Hydrostatic pressure effects on stress corrosion cracking of X70 pipeline steel in a simulated deep-sea environment[J]. International Journal of Hydrogen Energy, 2017,42(44):27446−27457. doi: 10.1016/j.ijhydene.2017.09.061
    [4] Loidl M, Kolk O, Veith S, et al. Characterization of hydrogen embrittlement in automotive advanced high strength steels[J]. Materials Science & Engineering Technology, 2011,42(12):1105−1110. doi: 10.1002/mawe.201100917
    [5] Zhao Mingchun, Shan Yiyin, Li Yuhai, et al. Effect of microstructure on stress corrosion cracking of sulphide in pipeline steel[J]. Journal of Metal, 2001,37(10):1087−1092. (赵明纯, 单以银, 李玉海, 等. 显微组织对管线钢硫化物应力腐蚀开裂的影响[J]. 金属学报, 2001,37(10):1087−1092. doi: 10.3321/j.issn:0412-1961.2001.10.018
    [6] Wang C, Wang X, Kang J, et al. Effect of austenitization conditions on the transformation behavior of low carbon steel containing Ti–Ca oxide particles[J]. Materials, 2019,12:1070. doi: 10.3390/ma12071070
    [7] Park G T, Koh S U, Jung H G, et al. Effect of microstructure on the hydrogen trapping efficiency and hydrogen induced cracking of linepipe steel[J]. Corrosion Science, 2008,50(7):1865−1871. doi: 10.1016/j.corsci.2008.09.014
    [8] Zhang Xiaofeng, Tang Jianping, Han Chunpeng, et al. The role of rare earth in steel and the status of industrial production[J]. Rare Earth, 2021,42(4):117−130. (张晓峰, 唐建平, 韩春鹏, 等. 稀土在钢中作用及工业化生产现状浅析[J]. 稀土, 2021,42(4):117−130. doi: 10.16533/j.cnki.15-1099/tf.20210034
    [9] Yang Quanhai, Yang Jichun, Ding Haifeng, et al. Thermodynamic analysis and experimental study of inclusions in rare earth pipeline steel[J]. Rare Earth, 2018,39(2):96−101. (杨全海, 杨吉春, 丁海峰, 等. 稀土管线钢中夹杂物热力学分析及实验研究[J]. 稀土, 2018,39(2):96−101. doi: 10.16533/J.CNKI.15-1099/TF.201802013
    [10] Song M M, Song B, Xin W, et al. Effects of rare earth addition on microstructure of C-Mn steel[J]. Ironmak. Steelmak, 2015,42:594−599. doi: 10.1179/1743281215Y.0000000006
    [11] Lin Qin, Song Bo, Guo Xingmin, et al. Microalloying of rare earth in steel and its application prospect[J]. Rare Earth, 2001,22(4):31−36. (林勤, 宋波, 郭兴敏, 等. 钢中稀土微合金化作用与应用前景[J]. 稀土, 2001,22(4):31−36. doi: 10.16533/j.cnki.15-1099/tf.2001.04.004
    [12] Lin Qin, Wang Huaibin, Tang Li, et al. Study on the recombination of rare earth vanadium in microalloyed steel[J]. Chinese Journal of Rare Earth, 2001,19(2):146−149. (林勤, 王怀斌, 唐历, 等. 微合金钢中稀土钒复合作用的研究[J]. 中国稀土学报, 2001,19(2):146−149. doi: 10.3321/j.issn:1000-4343.2001.02.012
    [13] Xu Feng, Li Liwei, Xu Jinqiao, et al. Development status and development trend of high-grade acid resistant pipeline steel[J]. Iron and Steel Research, 2014,42(4):58−61. (徐锋, 李利巍, 徐进桥, 等. 高级别耐酸管线钢的开发现状及发展趋势[J]. 钢铁研究, 2014,42(4):58−61.
    [14] Cui Q Q, Wu J S, Xie D H, et al. Effect of nanosized NbC precipitates on hydrogen diffusion in X80 pipeline steel[J]. Materials, 2017,10(7):721. doi: 10.3390/ma10070721
    [15] Li L F, Song B, Cheng J, et al. Effects of vanadium precipitates on hydrogen trapping efficiency and hydrogen induced cracking resistance in X80 pipeline steel[J]. International Journal of Hydrogen Energy, 2018,43(36):17353−17363. doi: 10.1016/j.ijhydene.2018.07.110
    [16] Liu Shuai, Liu Jing, Huang Feng, et al. Control of submicron inclusion in pipeline steel and its influence on anti-HIC performance[J]. Hot Working Technology, 2019,48(4):52−56. (刘帅, 刘静, 黄峰, 等. 管线钢亚微米级夹杂物的控制及对抗HIC性能的影响[J]. 热加工工艺, 2019,48(4):52−56. doi: 10.14158/j.cnki.1001-3814.2019.04.012
    [17] Turk A, MartínSan D, Rivera-Díaz-del-CastilloPEJ, et al. Correlation between vanadium carbide size and hydrogen trapping in ferritic steel[J]. Scripta Materialia, 2018,152:112−116. doi: 10.1016/j.scriptamat.2018.04.013
    [18] Beidokhti B, Koukabi A H, Dolati A. Effect of titanium addition on the microstructure and inclusion formation in submerged arc welded HSLA pipeline steel[J]. Journal of Materials Processing Technology, 2009,209:4027−4035. doi: 10.1016/j.jmatprotec.2008.09.021
    [19] Depover T, Verbeken K. Evaluation of the effect of V4C3 precipitates on the hydrogen induced mechanical degradation in Fe-C-V alloys[J]. Materials Science and Engineering, 2016,675:299−313. doi: 10.1016/j.msea.2016.08.053
    [20] Takahashi J, Kawakami K, Kobayashi Y. Origin of hydrogen trapping site in vanadium carbide precipitation strengthening steel[J]. Acta Mater, 2018,153:193−204. doi: 10.1016/j.actamat.2018.05.003135
    [21] Cheng X B, Cheng X Y, Jiang C W, et al. Hydrogen diffusion and trapping in V-microalloyed mooring chain steels[J]. Mater. Lett, 2018,213:118−121. doi: 10.1016/j.matlet.2017.11.029
    [22] Zhang Zhengyan, Sun Xinjun, Yong Qilong, et al. Strengthening mechanism and precipitation behavior of nanoscale carbides in Nb-Mo microalloy high strength steel[J]. Acta Metallurgica Sinica, 2016,52(4):410−418. (张正延, 孙新军, 雍岐龙, 等. Nb-Mo微合金高强钢强化机理及其纳米级碳化物析出行为[J]. 金属学报, 2016,52(4):410−418. doi: 10.11900/0412.1961.2015.00482
    [23] Chen Y S, Haley D, Gerstls S A, et al. Direct observation of individual hydrogen atoms at trapping sites in a ferritic steel[J]. Science, 2017,355:1196−1199. doi: 10.1126/science.aal2418
    [24] Kimura T, Kawabata F, Amano K, et al. The third-generation TMCP combined with fine inclusion metallurgy and development of heavy gauge H-shapes with excellent seismic-resistance for building structure[J]. Materia Japan, 1999,38(2):160−162. doi: 10.2320/materia.38.160
    [25] Liu Jian, Wang Huakun, Song Liqiu, et al. Research and application of vanadium nitrogen microalloying high strength steel[J]. Sichuan Metallurgy, 2006,28(1):24−27. (刘建, 王华昆, 宋立秋, 等. 钒氮微合金化高强度钢的研究及应用[J]. 四川冶金, 2006,28(1):24−27. doi: 10.3969/j.issn.1001-7208.2006.02.012
    [26] Kang Y, Jeong S, Kang J H, et al. Factors affecting the inclusion potency for acicular ferrite nucleation in high-strength steel welds[J]. Metallurgical and Materials Transactions A, 2016,47A(6):2842−2854.
    [27] Yang Jichun, Yang Quanhai, Zhao Wei. Effect of yttrium on corrosion resistance of X100 pipeline steel[J]. Rare Earth, 2018,39(3):101−107. (杨吉春, 杨全海, 赵伟. 钇对 X100 管线钢抗腐蚀性能的影响[J]. 稀土, 2018,39(3):101−107. doi: 10.16533/J.CNKI.15-1099/TF.201803014
  • 加载中
图(8) / 表(3)
计量
  • 文章访问数:  413
  • HTML全文浏览量:  156
  • PDF下载量:  32
  • 被引次数: 0
出版历程
  • 收稿日期:  2021-11-15
  • 网络出版日期:  2022-04-28
  • 刊出日期:  2022-04-28

目录

    /

    返回文章
    返回