中文核心期刊

SCOPUS 数据库收录期刊

中国科技核心期刊

美国《化学文摘》来源期刊

中国优秀冶金期刊

美国EBSCO数据库收录期刊

RCCSE中国核心学术期刊

美国《剑桥科学文摘》来源期刊

中国应用核心期刊(CACJ)

美国《乌利希期刊指南》收录期刊

中国学术期刊综合评价统计源刊

俄罗斯《文摘杂志》来源期刊

优秀中文科技期刊(西牛计划)

日本《科学技术文献数据库》(JST)收录刊

留言板

尊敬的读者、作者、审稿人, 关于本刊的投稿、审稿、编辑和出版的任何问题, 您可以本页添加留言。我们将尽快给您答复。谢谢您的支持!

姓名
邮箱
手机号码
标题
留言内容
验证码

不同涂油量对汽车钢DC06电化学腐蚀行为影响规律研究

郑昊青 郑之旺 左军 苏冠侨

郑昊青, 郑之旺, 左军, 苏冠侨. 不同涂油量对汽车钢DC06电化学腐蚀行为影响规律研究[J]. 钢铁钒钛, 2022, 43(2): 157-162. doi: 10.7513/j.issn.1004-7638.2022.02.024
引用本文: 郑昊青, 郑之旺, 左军, 苏冠侨. 不同涂油量对汽车钢DC06电化学腐蚀行为影响规律研究[J]. 钢铁钒钛, 2022, 43(2): 157-162. doi: 10.7513/j.issn.1004-7638.2022.02.024
Zheng Haoqing, Zheng Zhiwang, Zuo Jun, Su Guanqiao. Effect of different amounts of oil on electrochemical corrosion behavior of DC06 automobile steel[J]. IRON STEEL VANADIUM TITANIUM, 2022, 43(2): 157-162. doi: 10.7513/j.issn.1004-7638.2022.02.024
Citation: Zheng Haoqing, Zheng Zhiwang, Zuo Jun, Su Guanqiao. Effect of different amounts of oil on electrochemical corrosion behavior of DC06 automobile steel[J]. IRON STEEL VANADIUM TITANIUM, 2022, 43(2): 157-162. doi: 10.7513/j.issn.1004-7638.2022.02.024

不同涂油量对汽车钢DC06电化学腐蚀行为影响规律研究

doi: 10.7513/j.issn.1004-7638.2022.02.024
基金项目: 国家高技术研究发展计划项目(2015AA03A501)
详细信息
    作者简介:

    郑昊青(1989—),男,高级工程师,主要从事先进钢铁材料研发和腐蚀与防护研究,E-mail: 47215569@qq.com

  • 中图分类号: TF76

Effect of different amounts of oil on electrochemical corrosion behavior of DC06 automobile steel

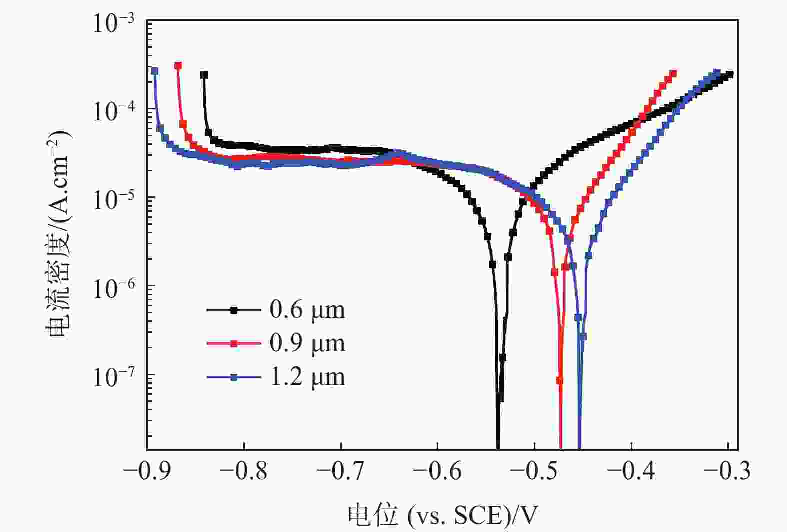
  • 摘要: 利用恒温恒湿试验、电化学极化曲线测试及微区电化学阻抗测试试验对不同涂油量的DC06钢板在不同温度条件下的腐蚀规律进行了研究。结果表明:DC06钢板的腐蚀速率随温度增加而逐步提高,且当温度为40 ℃时,发生了严重的点蚀现象,随温度增加,腐蚀加快的程度越高。随着涂油量增加至1500 mg/m2,钢板的腐蚀速率下降了20%左右;DC06钢板在粗糙度为1.2 μm时具有最佳的耐腐蚀性能;DC06钢板腐蚀产物的活性溶解程度随温度的增加而加大,防锈油无法在高温条件下形成稳定的保护膜层,钢板表面存在不均匀的微区阻抗特性,共同导致高温条件下DC06钢板耐蚀能力的下降。
  • 图  1  试验钢的微观组织形貌

    Figure  1.  Microscopic morphology of the tested steel

    图  2  DC06钢板不同涂油量涂油处理后表面形貌

    Figure  2.  Surface morphologies of DC06 steel plate after different amounts of oil treatment

    (a) 0 mg/m2; (b) 400 mg/m2; (c) 800 mg/m2; (d) 1500 mg/m2

    图  3  (a)DC06钢板在不同温度和涂油量条件下的腐蚀速率;(b)40 ℃、涂油量为1500 mg/m2条件下的腐蚀产物宏观形貌

    Figure  3.  (a) Corrosion rates of DC06 steel plate under different temperatures and different amounts of oil treatment; (b) macro morphology of the corrosion product obtained at 40 °C and 1 500 mg/m2 of oil treatment

    图  4  不同表面粗糙度条件下的DC06钢动电位极化曲线

    Figure  4.  Potentiodynamic polarization curves of DC06 steel with different surface roughness parameters

    图  5  不同温度下多种涂油量条件下DC06钢的动电位极化曲线

    Figure  5.  Potentiodynamic polarization curves of DC06 steel under different temperatures and different amounts of oil treatment

    (a) 20 ℃; (b) 30 ℃; (c) 40 ℃

    图  6  DC06钢在不同涂油量和不同温度下的微区电化学阻抗测试结果

    Figure  6.  Local electrochemical impedance test results of DC06 steel sample with different amounts of oil treatment

    (a) (b) 400 mg/m2; (c) (d) 800 mg/m2; (e) (f) 1 500 mg/m2

    表  1  试验钢的主要合金成分

    Table  1.   Main chemical compositions of the tested steel %

    钢种CSiMnAlPSCrCuTiCo
    DC060.0010.0030.050.0280.0040.0070.0110.0430.0720.024
    下载: 导出CSV
  • [1] 李光瀛, 马鸣图. 我国汽车板生产现状及展望[J]. 轧钢, 2014, 31(4): 22.

    Li Guangying, Ma Mingtu. The present situation and prospect of automobile plate production in China[J]. Roll Steel, 2014, 31(4): 22.
    [2] 康永林, 朱国明. 中国汽车发展趋势及汽车用钢面临的机遇与挑战[J]. 钢铁, 2014, 49(12): 1.

    Kang Yonglin, Zhu Guoming. The development trend of Chinese automobiles and the opportunities and challenges faced by automobile steels[J]. Steel, 2014, 49(12): 1.
    [3] 李光瀛, 唐荻, 王先进. 汽车板深加工技术的发展[J]. 轧钢, 2013, 30(1): 1.

    Li Guangying, Tang Di, Wang Xianjin. The development of automobile plate deep processing technology[J]. Roll Steel, 2013, 30(1): 1.
    [4] 李麟, 何燕霖, 张梅,等. 先进高强度汽车钢板的研制[J]. 上海大学学报(自然科学版), 2011, 17: 480.

    Li Lin, He Yanlin, Zhang Mei, et al. Research and development of advanced high strength automobile steel plate[J]. Journal of Shanghai University (Natural Science Edition), 2011, 17: 480.
    [5] Zhong Qingdong, Rohwerder Michael, Zhang Zhao. Study of lubricants and their effect on the anti-corrosion performance as temporarily protective oil coatings[J]. Surface and Coatings Technology, 2004,185(2/3):234−239.
    [6] Bhagavathi L R, Chaudhari G P, Nath S K. Mechanical and corrosion behavior of plain low carbon dual-phase steels[J]. Materials & Design, 2011,32:433.
    [7] Chen Heng, Lu Lin, Huang Yunhua, et al. Insight into TiN inclusion induced pit corrosion of interstitial free steel exposed to aerated NaCl solution[J]. Journal of Materials Research and Technology, 2021,13:13−24. doi: 10.1016/j.jmrt.2021.04.046
    [8] Yilmaz A, Traka K, Pletincx S, et al. Effect of microstructural defects on passive layer properties of interstitial free (IF) ferritic steels in alkaline environment[J]. Corrosion Science, 2021,182:109271. doi: 10.1016/j.corsci.2021.109271
  • 加载中
图(6) / 表(1)
计量
  • 文章访问数:  273
  • HTML全文浏览量:  107
  • PDF下载量:  22
  • 被引次数: 0
出版历程
  • 收稿日期:  2021-08-04
  • 网络出版日期:  2022-04-28
  • 刊出日期:  2022-04-28

目录

    /

    返回文章
    返回