中文核心期刊

SCOPUS 数据库收录期刊

中国科技核心期刊

美国《化学文摘》来源期刊

中国优秀冶金期刊

美国EBSCO数据库收录期刊

RCCSE中国核心学术期刊

美国《剑桥科学文摘》来源期刊

中国应用核心期刊(CACJ)

美国《乌利希期刊指南》收录期刊

中国学术期刊综合评价统计源刊

俄罗斯《文摘杂志》来源期刊

优秀中文科技期刊(西牛计划)

日本《科学技术文献数据库》(JST)收录刊

留言板

尊敬的读者、作者、审稿人, 关于本刊的投稿、审稿、编辑和出版的任何问题, 您可以本页添加留言。我们将尽快给您答复。谢谢您的支持!

姓名
邮箱
手机号码
标题
留言内容
验证码

加热速率对铸态60Si2Mn钢奥氏体化的影响

王瑞章 周登虎 江雁 杨凯 席波 廖振成 黄贞益

王瑞章, 周登虎, 江雁, 杨凯, 席波, 廖振成, 黄贞益. 加热速率对铸态60Si2Mn钢奥氏体化的影响[J]. 钢铁钒钛, 2022, 43(2): 163-171. doi: 10.7513/j.issn.1004-7638.2022.02.025
引用本文: 王瑞章, 周登虎, 江雁, 杨凯, 席波, 廖振成, 黄贞益. 加热速率对铸态60Si2Mn钢奥氏体化的影响[J]. 钢铁钒钛, 2022, 43(2): 163-171. doi: 10.7513/j.issn.1004-7638.2022.02.025
Wang Ruizhang, Zhou Denghu, Jiang Yan, Yang Kai, Xi Bo, Liao Zhencheng, Huang Zhenyi. Effect of heating rate on austenitization of as-cast 60Si2Mn steel[J]. IRON STEEL VANADIUM TITANIUM, 2022, 43(2): 163-171. doi: 10.7513/j.issn.1004-7638.2022.02.025
Citation: Wang Ruizhang, Zhou Denghu, Jiang Yan, Yang Kai, Xi Bo, Liao Zhencheng, Huang Zhenyi. Effect of heating rate on austenitization of as-cast 60Si2Mn steel[J]. IRON STEEL VANADIUM TITANIUM, 2022, 43(2): 163-171. doi: 10.7513/j.issn.1004-7638.2022.02.025

加热速率对铸态60Si2Mn钢奥氏体化的影响

doi: 10.7513/j.issn.1004-7638.2022.02.025
基金项目: 安徽省高等学校自然科学研究项目(项目编号:KJ2019ZD07)
详细信息
    作者简介:

    王瑞章(1973—),男,江苏盐城人,本科,主要研究方向为棒材轧钢工艺,E-mail:wangruizhang@njsteel.com.cn

  • 中图分类号: TF76

Effect of heating rate on austenitization of as-cast 60Si2Mn steel

  • 摘要: 利用DIL805A热膨胀仪记录了铸态60Si2Mn钢在不同的加热速率下(0.2、1、3、10、50 ℃/s)的线膨胀系数,获得了各自的热膨胀曲线和奥氏体体积转变分数曲线,研究了加热速率对奥氏体化的影响。采用高温金相显微镜对该钢在连续加热过程中的奥氏体转变过程进行了观察分析。结果表明:60Si2Mn钢在连续加热过程中的奥氏体转变可分为三个阶段:珠光体向奥氏体的转变、(Mn,Fe)3C向奥氏体中的溶解和奥氏体的成分均匀化。随着加热速率提高,相变临界温度提高,相变速率提高。通过高温金相可以观察到,在连续加热过程中,铸态60Si2Mn钢的A转变是一个形核和长大交替进行的过程,并且由于Si元素含量的不同,导致这个过程是不连续的。
  • 图  1  60Si2Mn钢连铸坯的显微组织特征

    Figure  1.  Microstructural characteristics of continuous casting billet of 60Si2Mn steel

    图  2  60Si2Mn钢在3 ℃/s加热速率下的典型热膨胀及膨胀率曲线

    Figure  2.  Typical thermal expansion curve (a) and expansion rate curve (b) of 60Si2Mn steel (heating rate at 3 °C/s)

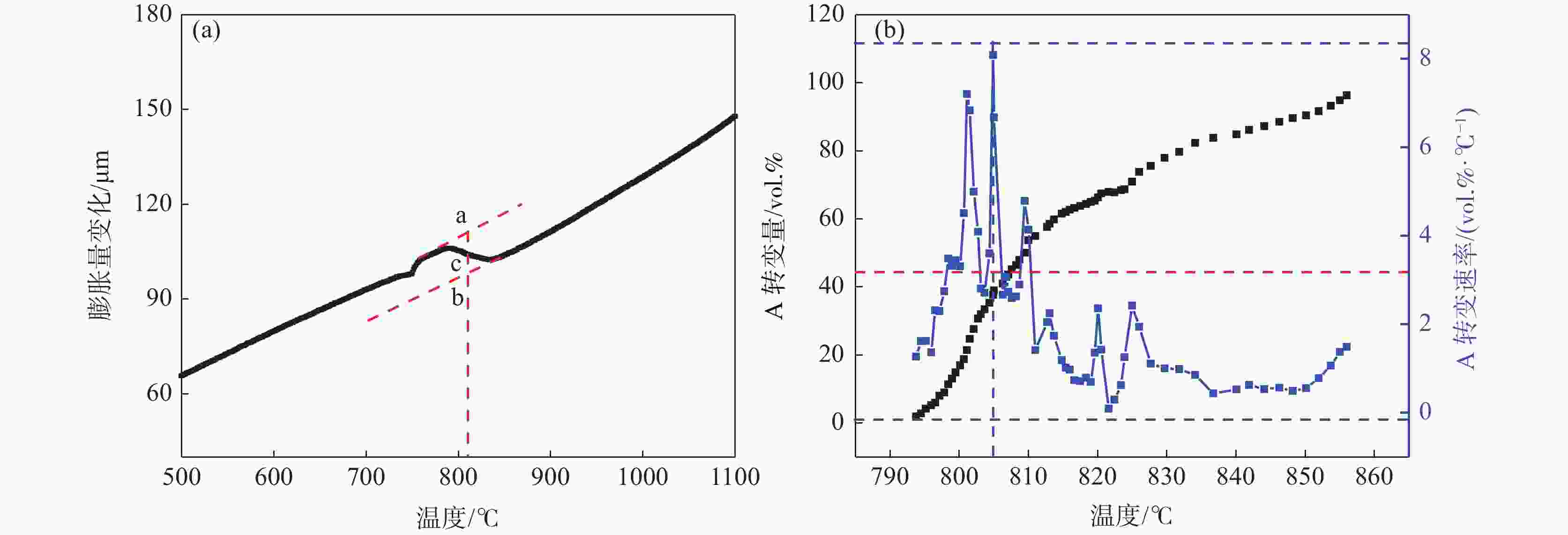
    图  3  奥氏体转变分数求解(a)及(b)以3 ℃/s连续加热时奥氏体转变量及转变速率

    Figure  3.  (a) The numerical solution on the fraction of austenite transformed; (b) the austenite transformed fraction and the austenite-formation rate under continuous heating at 3 ºC/s

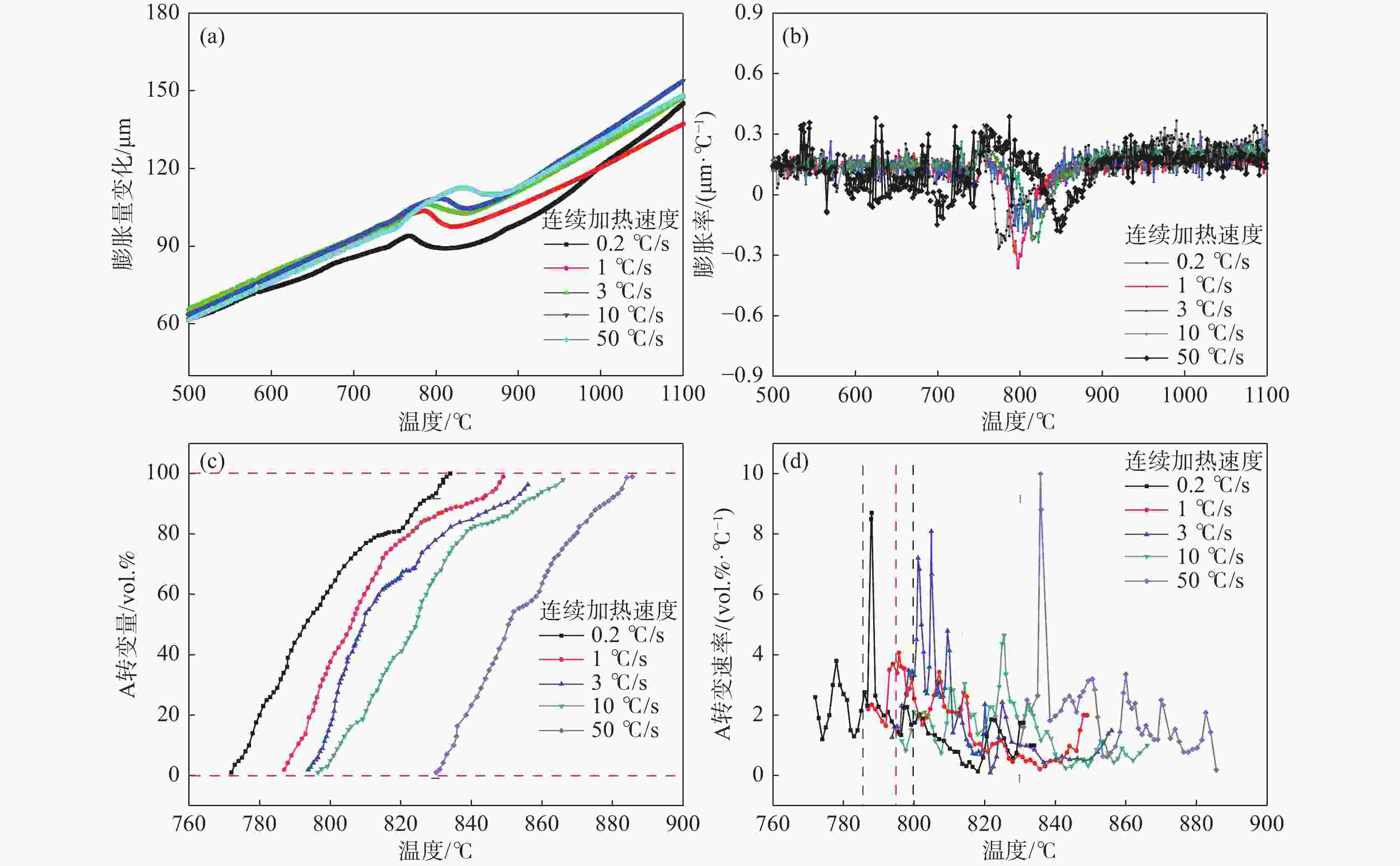
    图  4  不同连续加热速度下的热膨胀量曲线(a)、(b);奥氏体转变分数(c)、(d)

    Figure  4.  Thermal expansion curves (a),(b) and corresponding austenite transformation fractions (c),(d) at different continuous heating rates

    图  5  加热速度对60Si2Mn钢奥氏体转变时间的影响(a)和(b)该钢的连续加热奥氏体转变动力学曲线

    Figure  5.  (a) Effect of heating rate on austenite transformation time of 60Si2Mn steel; and (b) the austenite transformation kinetics curve during continuous heating of 60Si2Mn steel

    图  6  60Si2Mn钢在连续加热过程中的相变前组织特征(加热速度约65 ℃/min)

    Figure  6.  Microstructure characteristics of 60Si2Mn steel before the phase transformation during continuous heating (heating rate at ~65 ℃/min)

    图  7  60 Si2 Mn钢在连续加热过程中的奥氏体的形核与长大

    Figure  7.  Austenite nucleation and growth in 60Si2Mn steel during continuous heating

    图  8  60Si2Mn钢在连续加热过程中的奥氏体晶粒的长大

    Figure  8.  Austenite grain growth of 60Si2Mn steel during continuous heating

    表  1  60Si2Mn主要化学成分

    Table  1.   Main chemical compositions of 60Si2Mn steel %

    CSiMnPSCrNiCu
    0.56~0.641.6~2.00.7~1.0 ≤0.025 ≤0.025 ≤0.35 ≤0.35 ≤0.25
    下载: 导出CSV
  • [1] Wang Xiaodong. Development status and trend analysis of high strength spring steel[J]. China’s Manganese Industry, 2017,35(4):104−106. (王筱冬. 高强度弹簧钢的发展现状和趋势分析[J]. 中国锰业, 2017,35(4):104−106.
    [2] Huo Dongmei, Xiao Bangguo. Production status and development prospect of spring steel in China[J]. Metallurgical Economics and Management, 2015,(5):8−11. (霍咚梅, 肖邦国. 我国弹簧钢生产现状及发展展望[J]. 冶金经济与管理, 2015,(5):8−11. doi: 10.3969/j.issn.1002-1779.2015.05.003
    [3] Geng Zhijiang, Yue Xinsheng, Ren Xiangyang, et al. The heat treatment technology comprehensive evaluation of spring steel 60Si2Mn[J]. New Technology, New Process, 2003,(1):30−31. (耿志江, 岳新生, 任向阳, 等. 60Si2Mn弹簧钢热处理工艺综述[J]. 新技术新工艺, 2003,(1):30−31. doi: 10.3969/j.issn.1003-5311.2003.01.013
    [4] Wang Guitang, Lin Jinxuan. Optimization of heat treatment process on 60Si2Mn vehicle plate springs[J]. Hot Working Technology, 2005,(7):34−36. (王桂棠, 林金萱. 60Si2Mn钢汽车板簧热处理工艺优化研究[J]. 热加工工艺, 2005,(7):34−36. doi: 10.3969/j.issn.1001-3814.2005.07.014
    [5] Zhang Xingyuan, Xu Hongxing, Li Zhichao. Comparison of strengthening and toughing craft of 60Si2Mn cold-punched mould steel[J]. Hot Working Technology, 2005,(3):40−41. (张兴元, 徐宏兴, 李智超. 60Si2Mn冷冲模具钢强韧化工艺对比研究[J]. 热加工工艺, 2005,(3):40−41.
    [6] Ling Wendan, Wang Hairui, Li Xiaofei. Effect of intercritical hardening on microstructure and strength and toughness of quenched 60Si2Mn steel[J]. Heat Treatment Technology and Equipment, 2010,31(4):13−16. (凌文丹, 王海瑞, 李小飞. 亚温淬火对淬火态60Si2Mn钢组织与强韧性的影响[J]. 热处理技术与装备, 2010,31(4):13−16. doi: 10.3969/j.issn.1673-4971.2010.04.003
    [7] Liu Juan, Chen Yulai, Jiang Haitao. Thermal deformation resistance of 60Si2Mn spring steel and its mathematical model[J]. Materials for Mechanical Engineering, 2011,35(11):44−46. (刘娟, 陈雨来, 江海涛. 60Si2Mn弹簧钢的热变形抗力及其数学模型[J]. 机械工程材料, 2011,35(11):44−46.
    [8] Wang Xiaoxi, Wang Bao, Zhou Jian,an, et al. Effect of boron on continuous cooling transformation behavior of 60Si2Mn spring steel[J]. Hot Working Technology, 2019,48(10):181−184. (王晓茜, 王宝, 周建安, 等. 硼对60Si2Mn弹簧钢连续冷却相变行为的影响[J]. 热加工工艺, 2019,48(10):181−184.
    [9] Sun Wei, Zhang Weixing, Zhang Huixing, et al. Study on control of continuous cooling structure of 60Si2Mn spring steel[J]. China Measurement & Test, 2020,46(2):137−142. (孙伟, 张炜星, 张慧星, 等. 60Si2Mn弹簧钢连续冷却组织调控研究[J]. 中国测试, 2020,46(2):137−142.
    [10] Duan Baoyu, Liu Zongchang, Bai Yaqiong, et al. Undercooled austenite isothermal transformation diagram and microstructure of P92 steel[J]. Materials for Mechanical Engineering, 2016,40(12):16−20. (段宝玉, 刘宗昌, 白雅琼, 等. P92钢的过冷奥氏体等温转变曲线及显微组织[J]. 机械工程材料, 2016,40(12):16−20. doi: 10.11973/jxgccl201612005
    [11] Pan Hui, Liu Yazheng, Cui Juan, et al. Study on controlled rolling and cooling process parameters of high-quality spring steel 60Si2Mn for automobile[J]. Steel Rolling, 2006,(5):20−23. (潘辉, 刘雅政, 崔娟, 等. 汽车用优质60Si2Mn弹簧钢控轧控冷工艺研究[J]. 轧钢, 2006,(5):20−23. doi: 10.3969/j.issn.1003-9996.2006.05.007
    [12] Wen Ming, Ma Xiaoli, Gu Nanju, et al. Study on heating phase transition of 60Si2Mn steel[J]. Material Science & Technology, 1994,(3):55−60. (温鸣, 马晓莉, 谷南驹, 等. 60Si2Mn钢加热相变研究[J]. 材料科学与工艺, 1994,(3):55−60.
    [13] Eggbauer A, Lukas M, Ressel G, et al. In situ analysis of the effect of high heating rates and initial microstructure on the formation and homogeneity of austenite[J]. Journal of Materials Science, 2019,54(12):9197−9212. doi: 10.1007/s10853-019-03527-3
    [14] Ågren J, Vassilev G P. Computer simulations of cementite dissolution in austenite[J]. Materials Science and Engineering, 1984,64(1):95−103. doi: 10.1016/0025-5416(84)90076-4
    [15] Li Junjie, Godfrey Andrew, Liu Wei, et al. Investigation of austenitization during continuous heating process in hypereutectoid steels[J]. Acta Metallurgica Sinica, 2014,50(10):1179−1188. (李俊杰, Godfrey Andrew, 刘伟, 等. 连续加热条件下过共析钢奥氏体化研究[J]. 金属学报, 2014,50(10):1179−1188. doi: 10.11900/0412.1961.2014.00078
    [16] Wen Ming, Ma Xiaoli, Meng Xianling, et al. Research on heating transformation of some die steels[J]. Heat Treatment of Metals, 1989,(10):12−19. (温鸣, 马晓莉, 孟宪玲, 等. 几种模具钢加热相变的研究[J]. 金属热处理, 1989,(10):12−19.
  • 加载中
图(8) / 表(1)
计量
  • 文章访问数:  764
  • HTML全文浏览量:  242
  • PDF下载量:  35
  • 被引次数: 0
出版历程
  • 收稿日期:  2021-08-09
  • 网络出版日期:  2022-04-28
  • 刊出日期:  2022-04-28

目录

    /

    返回文章
    返回