中文核心期刊

SCOPUS 数据库收录期刊

中国科技核心期刊

美国《化学文摘》来源期刊

中国优秀冶金期刊

美国EBSCO数据库收录期刊

RCCSE中国核心学术期刊

美国《剑桥科学文摘》来源期刊

中国应用核心期刊(CACJ)

美国《乌利希期刊指南》收录期刊

中国学术期刊综合评价统计源刊

俄罗斯《文摘杂志》来源期刊

优秀中文科技期刊(西牛计划)

日本《科学技术文献数据库》(JST)收录刊

留言板

尊敬的读者、作者、审稿人, 关于本刊的投稿、审稿、编辑和出版的任何问题, 您可以本页添加留言。我们将尽快给您答复。谢谢您的支持!

姓名
邮箱
手机号码
标题
留言内容
验证码

退火工艺对2 000 MPa级冷拉钢丝组织和性能的影响

苏红艳

苏红艳. 退火工艺对2 000 MPa级冷拉钢丝组织和性能的影响[J]. 钢铁钒钛, 2022, 43(2): 172-177. doi: 10.7513/j.issn.1004-7638.2022.02.026
引用本文: 苏红艳. 退火工艺对2 000 MPa级冷拉钢丝组织和性能的影响[J]. 钢铁钒钛, 2022, 43(2): 172-177. doi: 10.7513/j.issn.1004-7638.2022.02.026
Su Hongyan. The effect of annealing process on the microstructures and properties of 2 000 MPa cold-drawn steel wire[J]. IRON STEEL VANADIUM TITANIUM, 2022, 43(2): 172-177. doi: 10.7513/j.issn.1004-7638.2022.02.026
Citation: Su Hongyan. The effect of annealing process on the microstructures and properties of 2 000 MPa cold-drawn steel wire[J]. IRON STEEL VANADIUM TITANIUM, 2022, 43(2): 172-177. doi: 10.7513/j.issn.1004-7638.2022.02.026

退火工艺对2 000 MPa级冷拉钢丝组织和性能的影响

doi: 10.7513/j.issn.1004-7638.2022.02.026
基金项目: 河南省高校重点科研项目(21B56005)。
详细信息
    作者简介:

    苏红艳(1978—),女,汉族,副教授,硕士研究生,长期从事建筑结构用材料的研发与教学,E-mail: jgxyshy@163.com

  • 中图分类号: TG142.1

The effect of annealing process on the microstructures and properties of 2 000 MPa cold-drawn steel wire

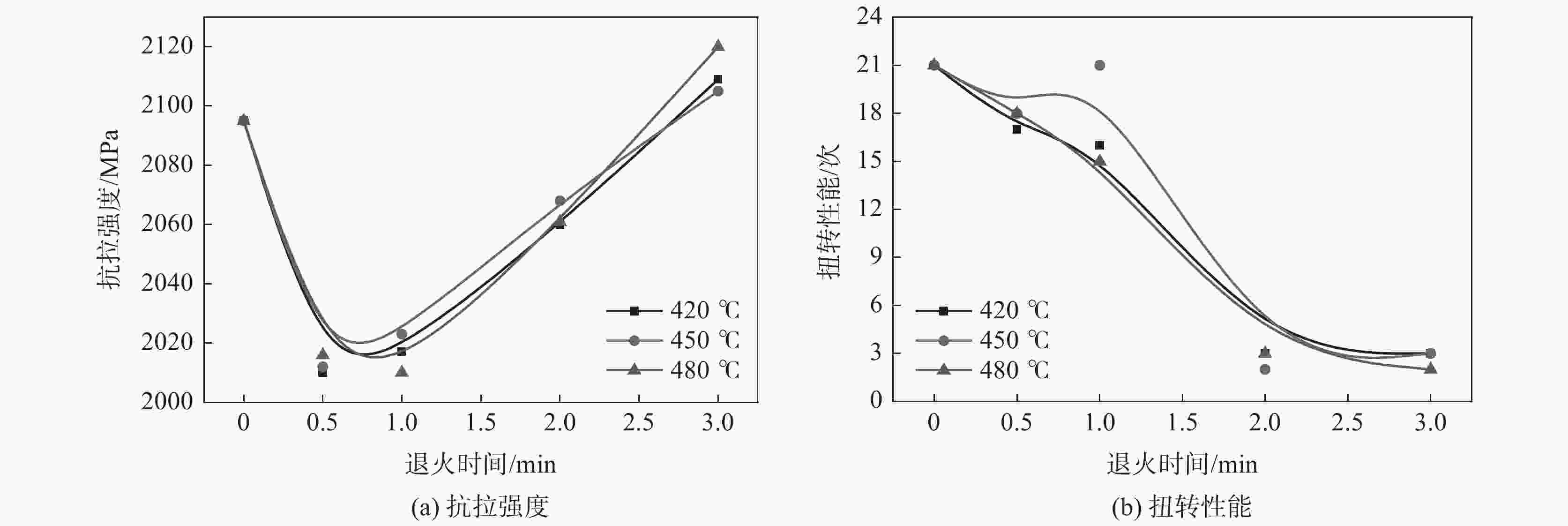
  • 摘要: 利用扫描电子显微镜、透射电子显微镜,并结合常规的力学检测手段,采用退火模拟了一种冷拉钢丝的镀锌过程,研究了镀锌过程中冷拉钢丝组织和性能的变化。试验结果表明:退火时间是影响钢丝微观组织和力学性能的主要因素,随着退火时间的延长,冷拉钢丝的强度轻微波动后大幅度下降,扭转性能呈现先降低后上升的趋势,且其强度上升的阶段与其扭转性能显著恶化的阶段一致。钢丝表层组织首先出现退化,片层状的渗碳体断裂,形成渗碳体颗粒,且铁素体内部位错密度降低,而钢丝内部组织可保持相对完整的珠光体片层结构;经长时间保温处理后,其表层和内部的珠光体片层组织均出现全面退化。冷拉钢丝在镀锌过程中扭转性能剧烈恶化的原因是其表层组织与内部组织不一致,表层强度较高且扭转过程中变形最大,由此产生的应力集中迅速恶化扭转性能。
  • 图  1  退火温度对材料力学性能的影响

    Figure  1.  Effect of annealing temperature on the mechanical properties of materials

    图  2  扭转断口宏观形貌

    Figure  2.  Macroscopic features of torsion fracture

    图  3  450 ℃不同退火时间对钢丝强度及扭转的影响

    Figure  3.  Effects of different annealing times on strength and torsional ductility of steel wire at 450 ℃

    图  4  退火前后试样的横截面中心位置的典型TEM照片

    Figure  4.  Typical TEM photographs of the samples before and after annealing (the cross-sectional center)

    图  5  各试样横截面表层及心部组织的非片层组织比例

    Figure  5.  The proportion of non-lamellar structures in surface and matrix structures for the cross sections of each specimen

    图  6  450 ℃下不同时间保温后钢丝的硬度

    Figure  6.  Hardness of steel wires after holding at 450 ℃ for different times

    表  1  试验材料的主要化学成分

    Table  1.   Main chemical compositions of tested material %

    CSiMnPSCrVTi
    0.970.950.550.0150.0100.350.060.03
    下载: 导出CSV
  • [1] Wan Baotian. High strength galvanized steel wire for bridge cables[J]. World Bridge, 2005,(1):62−66. (万宝田. 桥梁缆索用高强度镀锌钢丝[J]. 世界桥梁, 2005,(1):62−66. doi: 10.3969/j.issn.1671-7767.2005.01.018
    [2] Chen Xianzhong, Yan Guanglin, Xu Wei, et al. Development of high strength and toughness galvanized steel wire[J]. Metal Products, 2009,(5):11−13. (陈贤忠, 鄢光霖, 徐伟, 等. 强韧性特高强度镀锌钢丝的研制[J]. 金属制品, 2009,(5):11−13. doi: 10.3969/j.issn.1003-4226.2009.05.004
    [3] 张云祥. 高强度线材热加工的组织演变和性能预报系统研究[D]. 武汉: 华中科技大学, 2010.

    Zhang Yunxiang. Research on microstructure evolution and property prediction system of high strength wire rod during hot working[D]. Wuhan: Huazhong University of Science and Technology, 2010.
    [4] Shen Yunxia, Fang Feng, Jiang Jianqing. Microstructure and properties of cold drawn pearlite steel wire during isothermal treatment[J]. Journal of Material Heat Treatment, 2009,30(5):83−86. (沈云霞, 方峰, 蒋建清. 等温处理过程中冷拔珠光体钢丝的组织及其性能[J]. 材料热处理学报, 2009,30(5):83−86.
    [5] Ye Jueming. Broken wire problem of steel wire for cable[J]. Steel Structure, 2003,(2):35−36. (叶觉明. 缆索用钢丝的断丝问题[J]. 钢结构, 2003,(2):35−36.
    [6] Zhang Xiaodan, Liu Wei. Microstructure and ferrite orientation and texture evolution during cold drawing of pearlite steel wire[J]. Acta Metallurgica Sinica, 2010,46(2):141−146. (张晓丹, 刘伟. 珠光体钢丝冷拔过程中微观组织及铁素体微区取向与织构演变[J]. 金属学报, 2010,46(2):141−146.
    [7] 涂益友. 高速大应变冷拔钢丝的组织和力学性能[D]. 南京: 东南大学, 2006.

    Tu Yiyou. Microstructure and mechanical properties of high speed and large strain cold drawn steel wire[D]. Nanjing: Southeast University, 2006.
    [8] Meng Xiancheng, Liu Yu, Shi Binghua, et al. Study on thermal diffusion law of central carbon segregation in cord billet[J]. Metal Heat Treatment, 2009,34(11):101−104. (孟宪成, 刘宇, 史秉华, 等. 帘线钢坯中心碳偏析的热扩散规律研究[J]. 金属热处理, 2009,34(11):101−104.
    [9] Wang Lei, Ma Han, Li Ping, et al. Effect of temperature rise on torsion property of high carbon steel wire during wire drawing[J]. Metal Heat Treatment, 2012,37(11):33−36. (王雷, 麻晗, 李平, 等. 拉丝过程中温升对高碳钢丝扭转性能的影响[J]. 金属热处理, 2012,37(11):33−36.
    [10] 徐忠良. 大跨度桥梁缆索用SWRS82B热轧盘条的组织与钢丝扭转性能研究[D]. 南京: 东南大学, 2006.

    Xu Zhongliang. Microstructure and torsion properties of SWRS82B hot rolled wire rod for long span bridge cables[D]. Nanjing: Southeast University, 2006.
    [11] Xiao Yinglong, Tang Mingzhu. Effect of cementite decomposition on delamination of high carbon steel wire[J]. Metal Products, 2006,(2):15−21. (肖英龙, 唐明珠. 渗碳体分解对高碳钢丝分层的影响[J]. 金属制品, 2006,(2):15−21. doi: 10.3969/j.issn.1003-4226.2006.02.006
    [12] Watte P, Humbeeck J V, Aernoudt E, et al. Strain ageing in heavily drawn eutectoid steel wires[J]. Scripta Materialia, 1996,34(1):85−95.
  • 加载中
图(6) / 表(1)
计量
  • 文章访问数:  481
  • HTML全文浏览量:  168
  • PDF下载量:  23
  • 被引次数: 0
出版历程
  • 收稿日期:  2020-11-28
  • 网络出版日期:  2022-04-28
  • 刊出日期:  2022-04-28

目录

    /

    返回文章
    返回