中文核心期刊

SCOPUS 数据库收录期刊

中国科技核心期刊

美国《化学文摘》来源期刊

中国优秀冶金期刊

美国EBSCO数据库收录期刊

RCCSE中国核心学术期刊

美国《剑桥科学文摘》来源期刊

中国应用核心期刊(CACJ)

美国《乌利希期刊指南》收录期刊

中国学术期刊综合评价统计源刊

俄罗斯《文摘杂志》来源期刊

优秀中文科技期刊(西牛计划)

日本《科学技术文献数据库》(JST)收录刊

留言板

尊敬的读者、作者、审稿人, 关于本刊的投稿、审稿、编辑和出版的任何问题, 您可以本页添加留言。我们将尽快给您答复。谢谢您的支持!

姓名
邮箱
手机号码
标题
留言内容
验证码

碳微合金化对Ti-4.5Al-3.5Zr-2Fe低成本钛合金组织及力学性能的影响

王安东 王志天 相志磊 韩竟俞 周宗熠 申高亮 黄景存 陈子勇

王安东, 王志天, 相志磊, 韩竟俞, 周宗熠, 申高亮, 黄景存, 陈子勇. 碳微合金化对Ti-4.5Al-3.5Zr-2Fe低成本钛合金组织及力学性能的影响[J]. 钢铁钒钛, 2022, 43(6): 71-77. doi: 10.7513/j.issn.1004-7638.2022.06.011
引用本文: 王安东, 王志天, 相志磊, 韩竟俞, 周宗熠, 申高亮, 黄景存, 陈子勇. 碳微合金化对Ti-4.5Al-3.5Zr-2Fe低成本钛合金组织及力学性能的影响[J]. 钢铁钒钛, 2022, 43(6): 71-77. doi: 10.7513/j.issn.1004-7638.2022.06.011
Wang Andong, Wang Zhitian, Xiang Zhilei, Han Jingyu, Zhou Zongyi, Shen Gaoliang, Huang Jingcun, Chen Ziyong. Effects of carbon microalloying on microstructure and mechanical properties of low-cost Ti-4.5Al-3.5Zr-2Fe titanium alloy[J]. IRON STEEL VANADIUM TITANIUM, 2022, 43(6): 71-77. doi: 10.7513/j.issn.1004-7638.2022.06.011
Citation: Wang Andong, Wang Zhitian, Xiang Zhilei, Han Jingyu, Zhou Zongyi, Shen Gaoliang, Huang Jingcun, Chen Ziyong. Effects of carbon microalloying on microstructure and mechanical properties of low-cost Ti-4.5Al-3.5Zr-2Fe titanium alloy[J]. IRON STEEL VANADIUM TITANIUM, 2022, 43(6): 71-77. doi: 10.7513/j.issn.1004-7638.2022.06.011

碳微合金化对Ti-4.5Al-3.5Zr-2Fe低成本钛合金组织及力学性能的影响

doi: 10.7513/j.issn.1004-7638.2022.06.011
基金项目: 企事业单位委托科技项目(46009011201501 )
详细信息
    作者简介:

    王安东,1999年出生,男,山东聊城人,硕士研究生,研究方向:低成本钛合金制备及加工工艺,E-mail:wang1807938507@163.com

    通讯作者:

    陈子勇,1966年出生,博士,教授,研究方向:轻质耐高温难变形结构材料,超高强韧铝合金及其复合材料制备,E-mail:czy@bjut.edu.cn

  • 中图分类号: TF823,TG146.2

Effects of carbon microalloying on microstructure and mechanical properties of low-cost Ti-4.5Al-3.5Zr-2Fe titanium alloy

  • 摘要: 采用水冷铜坩埚真空感应悬浮熔炼炉制备了不同碳含量为0、0.1%、0.15%和0.3%的Ti-4.5Al-3.5Zr-2Fe低成本钛合金,研究了碳微合金化对钛合金铸态组织和力学性能的影响。结果表明:随着碳元素的引入,原始β晶粒以及α片层宽度尺寸有一定的细化,合金铸态凝固组织由魏氏组织逐渐转变为网篮组织,TiC在晶界析出。碳含量增加,合金强度增强,塑性降低,其中Ti-4.5Al-3.5Zr-2Fe-0.1C合金综合力学性能最佳,抗拉强度和屈服强度分别为 979 MPa 和 920 MPa,延伸率为 5.4%。
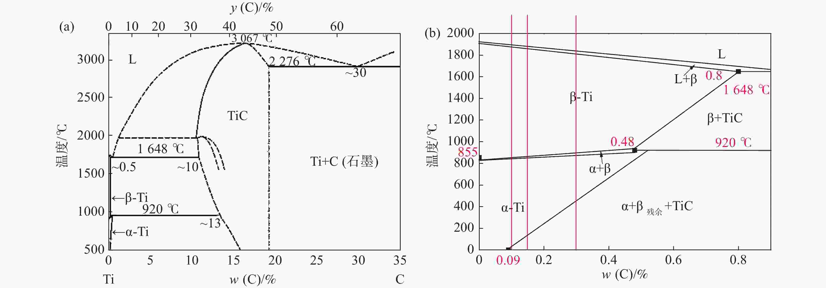
  • 图  1  Ti-C二元合金相图

    Figure  1.  Phase diagrams of the Ti-C binary alloy

    图  2  钛合金的 DDSC 曲线

    Figure  2.  DDSC curves of the titanium alloys

    图  3  铸态合金 XRD 图谱

    Figure  3.  XRD patterns of the as-cast alloys

    图  4  铸态合金TEM组织

    Figure  4.  TEM images of the as-cast alloy

    图  5  铸态合金元素分布

    Figure  5.  Elemental mapping of the as-cast alloy

    图  6  铸态合金中TiC形貌及分布

    (a) TAZF-0.1C;(b) TAZF-0.15C;(c) TAZF-0.3C

    Figure  6.  Morphology and distribution of TiC in the as-cast alloys

    图  7  铸态合金微观组织

    (a) TAZF ;(b) TAZF-0.1C ;(c) TAZF-0.15C ;(d) TAZF-0.3C

    Figure  7.  Microstructures of the as-cast alloys

    图  8  铸态合金应力应变曲线

    Figure  8.  Stress-strain curves of the as-cast titanium alloy

    图  9  铸态合金的拉伸断口形貌

    (a) TAZF;(b) TAZF-0.1C;(c) TAZF-0.15C;(d) TAZF-0.3C

    Figure  9.  Tensile fracture morphologies of the as-cast alloys

    表  1  合金实际成分

    Table  1.   Chemical compositions of the alloys %

    TiAlZrFeCHON
    TAZFBal.4.583.622.0100.00450.0360.005
    TAZF-0.1CBal.4.663.51.980.110.00330.0870.056
    TAZF-0.15CBal.4.583.541.720.150.0030.0720.0045
    TAZF-0.3CBal.4.783.492.140.310.00520.0880.0054
    下载: 导出CSV

    表  2  铸态合金室温力学性能

    Table  2.   Mechanical properties of the as-cast alloys at RT

    合金σs/MPaσ0.2/MPaEl/%
    TAZF881.6811.56.9
    TAZF-0.1C9799205.4
    TAZF-0.15C1005.79303.8
    TAZF-0.3C103610031.3
    下载: 导出CSV
  • [1] Williams J C, Boyer R R. Opportunities and issues in the application of titanium alloys for aerospace components[J]. Metals - Open Access Metallurgy Journal, 2020,10(6):705.
    [2] Boyer R R. An overview on the use of titanium in the aerospace industry[J]. Materials Science and Engineering A, 1996,213(1-2):103−114. doi: 10.1016/0921-5093(96)10233-1
    [3] Huang Haiguang, Xiao Han, Xiong Hancheng, et al. Development and application on low cost production technology of titanium materials[J]. Yunnan Metallurgy, 2020,49(6):59−67. (黄海广, 肖寒, 熊汉城, 等. 钛材低成本生产技术的开发和应用[J]. 云南冶金, 2020,49(6):59−67. doi: 10.3969/j.issn.1006-0308.2020.06.013
    [4] 杜赵新. 新型高强β钛合金的热处理和微合金化以及高温变形行为研究[D]. 哈尔滨: 哈尔滨工业大学, 2014.

    Du Zhaoxin. Heat treatment and microalloying and high temperature deformati, on behavior of new beta high strength titanium alloy[D]. Harbin: Harbin Institute of Technology, 2014.
    [5] Tan Qiming, Sui Nan. Research and development of particle reinforced titanium matrix composites[J]. New Materials Industry, 2019,(1):59−64. (谭启明, 隋楠. 颗粒增强钛基复合材料的研究与进展[J]. 新材料产业, 2019,(1):59−64. doi: 10.19599/j.issn.1008-892x.2019.01.014
    [6] 刘诚. TC4-DT钛合金热变形行为及显微组织演变的模拟研究[D]. 南昌: 南昌航空大学, 2015.

    Liu Cheng. Simulation study on hot deformation behavior and microstructure evolution of TC4-DT titanium alloy[D]. Nanchang: Nanchang Hangkong University, 2015.
    [7] Zhang Hongju, Zhang Donghui, Li Pu, et al. Testing methods for titanium alloy phase transition point[J]. Hot Working Technology, 2013,42(10):89−92. (张红菊, 张东晖, 李璞, 等. 钛合金相转变点检测方法[J]. 热加工工艺, 2013,42(10):89−92. doi: 10.14158/j.cnki.1001-3814.2013.10.028
    [8] Tian Fei, Zeng Weidong, Ma Xiong, et al. Measurement of beta transus temperature of BT25 titanium alloy by physical analysis and metallographic observation methods[J]. Journal of Materials and Heat Treatment, 2011,32(5):5. (田飞, 曾卫东, 马雄, 等. 物理分析法与金相法测定BT25钛合金相变点[J]. 材料热处理学报, 2011,32(5):5. doi: 10.13289/j.issn.1009-6264.2011.05.002
    [9] Liu Shibing, Lou Yanchun, Zhao Jun, et al. Effect of casting process on microstructure and properties of titanium alloy Ti5Al2.5Sn ELI[J]. Rare Metal Materials and Engineering, 2021,50(2):575−580. (刘时兵, 娄延春, 赵军, 等. 铸造工艺对钛合金Ti5Al2.5Sn ELI铸态组织及性能的影响[J]. 稀有金属材料与工程, 2021,50(2):575−580.
    [10] Hu D, Johnson T P, Loretto M H. Titanium precipitation in substoichiometric TiC particles[J]. Scripta Metallurgica et Materialia, 1994,30:8(8):1015−1020.
    [11] Lu W J, Zhang D, Zhang X N, et al. Microstructure and tensile properties of in situ (TiB+TiC)/Ti6242 (TiB∶TiC=1∶1) composites prepared by common casting technique[J]. Materials Science & Engineering A, 2001,311(1-2):142−150.
    [12] Min W A, Hy B, Zs C, et al. Microstructural evolution, mechanical properties and wear behavior of in-situ TiC-reinforced Ti matrix composite coating by induction cladding[J]. Surface and Coatings Technology, 2021,412:127048. doi: 10.1016/j.surfcoat.2021.127048
  • 加载中
图(9) / 表(2)
计量
  • 文章访问数:  623
  • HTML全文浏览量:  243
  • PDF下载量:  38
  • 被引次数: 0
出版历程
  • 收稿日期:  2022-05-04
  • 刊出日期:  2023-01-13

目录

    /

    返回文章
    返回