中文核心期刊

SCOPUS 数据库收录期刊

中国科技核心期刊

美国《化学文摘》来源期刊

中国优秀冶金期刊

美国EBSCO数据库收录期刊

RCCSE中国核心学术期刊

美国《剑桥科学文摘》来源期刊

中国应用核心期刊(CACJ)

美国《乌利希期刊指南》收录期刊

中国学术期刊综合评价统计源刊

俄罗斯《文摘杂志》来源期刊

优秀中文科技期刊(西牛计划)

日本《科学技术文献数据库》(JST)收录刊

留言板

尊敬的读者、作者、审稿人, 关于本刊的投稿、审稿、编辑和出版的任何问题, 您可以本页添加留言。我们将尽快给您答复。谢谢您的支持!

姓名
邮箱
手机号码
标题
留言内容
验证码

预应变对工业纯钛TA2焊接接头拉伸力学性能的影响

赵青 常乐 周昌玉 浦江 郑逸翔 王志成 王步美

赵青, 常乐, 周昌玉, 浦江, 郑逸翔, 王志成, 王步美. 预应变对工业纯钛TA2焊接接头拉伸力学性能的影响[J]. 钢铁钒钛, 2023, 44(3): 68-74. doi: 10.7513/j.issn.1004-7638.2023.03.010
引用本文: 赵青, 常乐, 周昌玉, 浦江, 郑逸翔, 王志成, 王步美. 预应变对工业纯钛TA2焊接接头拉伸力学性能的影响[J]. 钢铁钒钛, 2023, 44(3): 68-74. doi: 10.7513/j.issn.1004-7638.2023.03.010
Zhao Qing, Chang Le, Zhou Changyu, Pu Jiang, Zheng Yixiang, Wang Zhicheng, Wang Bumei. Effects of pre-strain on tensile mechanical properties of commercially pure titanium TA2 welded joint[J]. IRON STEEL VANADIUM TITANIUM, 2023, 44(3): 68-74. doi: 10.7513/j.issn.1004-7638.2023.03.010
Citation: Zhao Qing, Chang Le, Zhou Changyu, Pu Jiang, Zheng Yixiang, Wang Zhicheng, Wang Bumei. Effects of pre-strain on tensile mechanical properties of commercially pure titanium TA2 welded joint[J]. IRON STEEL VANADIUM TITANIUM, 2023, 44(3): 68-74. doi: 10.7513/j.issn.1004-7638.2023.03.010

预应变对工业纯钛TA2焊接接头拉伸力学性能的影响

doi: 10.7513/j.issn.1004-7638.2023.03.010
基金项目: 国家自然科学基金(51905260)。
详细信息
    作者简介:

    赵青,1984年出生,女,硕士研究生,高级工程师,研究方向为工程与材料的研究、特种设备检验检测,E-mail:zhao_qing@163.com

  • 中图分类号: TF823

Effects of pre-strain on tensile mechanical properties of commercially pure titanium TA2 welded joint

  • 摘要: 以工业纯钛TA2焊接接头为研究对象,开展了预应变后的室温拉伸力学性能测试。结果表明,预应变后应力应变曲线上升,屈服强度及抗拉强度随着预应变量的增加而增加。综合考虑预应变量及应变速率影响,建立了预应变后材料强度的经验表达式。根据Hollomon本构方程,研究了预应变后应变速率敏感性指数及应变强化指数的变化,确定了预应变试样的拉伸本构方程。断口观察表明,预应变后材料延伸率下降,断口收缩率及韧窝尺寸均下降。
  • 图  1  拉伸试样尺寸(单位:mm)

    Figure  1.  Dimension of tensile specimen

    图  2  TA2焊接接头微观组织

    Figure  2.  Microstructure of TA2 weld joint

    图  3  应力应变曲线

    Figure  3.  Stress-strain curves (effect of pre-strain(a) and strain rate(b))

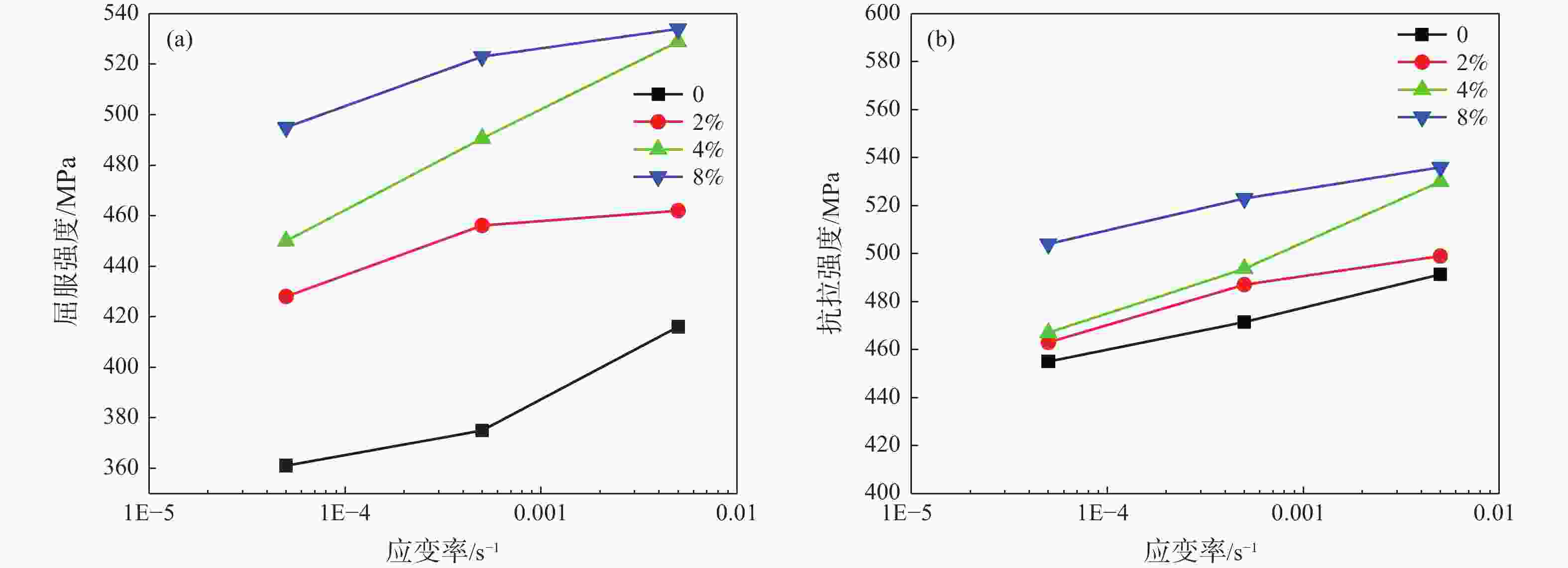
    图  4  强度随应变速率的变化

    Figure  4.  Variation of strength parameter with strain rate (yield strength(a) and tensile strength(b))

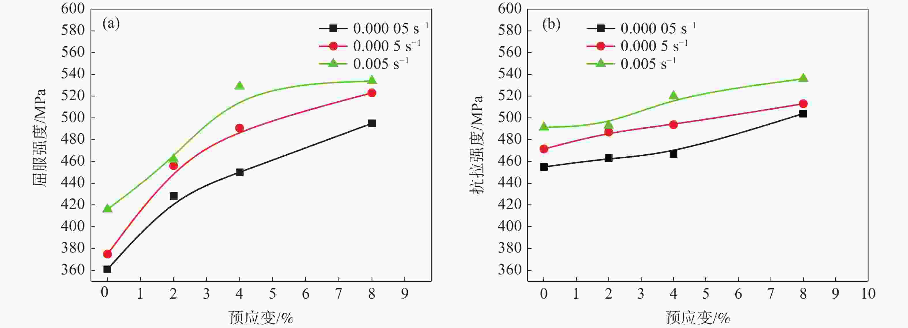
    图  5  强度随预应变的变化

    Figure  5.  Variation of strength parameter with pre-strain (yield strength(a) and tensile strength(b))

    图  6  强度预测值与试验结果对比

    Figure  6.  Comparison between the predicted strength parameter and experimental results

    图  7  不同试样预测值与试验值对比

    Figure  7.  Comparison between prediction results and experiment results of different samples

    图  8  2%预应变试样在应变速率为0.0005/s下拉伸断裂后的断口

    Figure  8.  Micrographs of fractured surfaces of 2% pre-strained sample at the strain rate of 0.0005/s

    图  9  预应变试样的断口形貌及其中间区域放大

    (a)(a1)2%预应变,应变速率0.0005/s;(b)(b1)4%预应变,应变速率0.0005/s;(c)(c1)8%预应变,应变速率0.0005/s;(d)(d1)2%预应变,应变速率0.005/s;(e)(e1)4%预应变,应变速率0.005/s;(f)(f1)8%预应变,应变速率0.005/s

    Figure  9.  Fractured surfaces of pre-strained samples and enlarged view of central region

    表  1  不同预应变下不同应变的应变速率敏感性指数m

    Table  1.   Strain rate sensitivity index m at different strain points under different pre-strains

    应变/%应变速率敏感指数m
    预应变ε=2%预应变ε=4%
    10.01490.0336
    20.01260.0308
    30.01220.0293
    40.01690.028
    均值0.01410.0304
    下载: 导出CSV

    表  2  不同预应变下不同应变速率的应变硬化指数n

    Table  2.   Strain hardening index n under different pre-strains and different strain rates

    应变速率/s−1应变硬化指数n
    预应变ε=2%预应变ε=4%
    0.0050.06440.036
    0.00050.05780.0274
    0.000050.0670.0175
    均值0.0630.027
    下载: 导出CSV

    表  3  不同预应变下不同应变速率的强度系数K

    Table  3.   Strengthening coefficient K values under different strain rates and pre-strains

    应变速率/s−1K
    预应变ε=2%预应变ε=4%
    0.005675.78697.8
    0.0005693.79704.7
    0.00005677.79707.92
    均值682.5703.46
    下载: 导出CSV
  • [1] Chen Y, Zheng S, Zhou J, et al. Influence of H2S interaction with prestrain on the mechanical properties of high-strength X80 steel[J]. International Journal of Hydrogen Energy, 2016,41(24):10412−10420. doi: 10.1016/j.ijhydene.2016.01.144
    [2] Zhang Xiaoyong, Bi Zongyue, Gao Huilin, et al. Prestrain embrittlement of X80 large deformation pipeline steel[J]. Welded Pipe and Tube, 2013,8:12−16. (张骁勇, 毕宗岳, 高惠临, 等. X80大变形管线钢的预应变脆化[J]. 焊管, 2013,8:12−16. doi: 10.3969/j.issn.1001-3938.2013.06.002

    Zhang Xiaoyong, Bi Zongyue, Gao Huilin, et al. Prestrain embrittlement of X80 large deformation pipeline steel[J]. Welded Pipe and Tube, 2013, 8: 12-16 doi: 10.3969/j.issn.1001-3938.2013.06.002
    [3] Hu Hanjiang, Zhao Aimin, Yin Zhukai, et al. Effect of pre-strain on mechanical properties and hardening behavior of TRIP steel[J]. Transactions of Materials and Heat Treatmet, 2016,37(5):128−132. (胡汉江, 赵爱民, 印珠凯, 等. 预应变对TRIP钢力学性能及硬化行为的影响[J]. 材料热处理学报, 2016,37(5):128−132. doi: 10.13289/j.issn.1009-6264.2016.05.022

    Hu Hanjiang, Zhao Aimin, Yin Zhukai, et al. Effect of pre-strain on mechanical properties and hardening behavior of TRIP steel[J]. Transactions of Materials and Heat Treatmet, 2016, 37(5): 128-132 doi: 10.13289/j.issn.1009-6264.2016.05.022
    [4] Mao Bowen, Sun Xiaoyu, Wang Wurong, et al. Effect of pre-strain and strain rates on mechanical properties of HC340LA high strength low alloy steel[J]. Journal of Plasticity Engineering, 2014,1:7−12. (毛博文, 孙晓屿, 王武荣, 等. 预应变和应变速率对HC340LA低合金高强钢力学性能的影响[J]. 塑性工程学报, 2014,1:7−12. doi: 10.3969/j.issn.1007-2012.2014.06.002

    Mao Bowen, Sun Xiaoyu, Wang Wuyong, et al. Effect of pre-strain and strain rates on mechanical properties of HC340 LA high strength low alloy steel[J]. Journal of Plasticity Engineering, 2014, 1: 7-12 doi: 10.3969/j.issn.1007-2012.2014.06.002
    [5] Ma Z C, Zhao H W, Hu X L, et al. Influences of tensile pre-strain and bending pre-deflection on bending and tensile behaviors of an extruded AZ31B magnesium alloy[J]. Materials and Design, 2014,64(14):566−572.
    [6] Liu Xiaoning, Yang Fan, Liu Ceng, et al. Pre-strain effect evaluation of austenitic stainless steel[J]. Journal of Mechanical Strength, 2019,41(1):104−109. (刘小宁, 杨帆, 刘岑, 等. 奥氏体不锈钢预应变效果评价[J]. 机械强度, 2019,41(1):104−109. doi: 10.16579/j.issn.1001.9669.2019.01.018

    Liu Xiaoning, Yang Fan, Liu Ceng, et al. Pre-strain effect evaluation of austenitic stainless steel[J]. Journal of Mechanical Strength, 2019, 41(1): 104-109 doi: 10.16579/j.issn.1001.9669.2019.01.018
    [7] Zheng Jinyang, Li Yaxian, Xu Ping. Influence factors of mechanical property for strain strengthening austenitic stainless steel[J]. Journal of PLA University of Science and Technology(Natural Science Edition), 2011,5:512−519. (郑津洋, 李雅娴, 徐平. 应变强化用奥氏体不锈钢力学性能影响因素[J]. 解放军理工大学学报, 2011,5:512−519.

    Zheng Jinyang, Li Yaxian, Xu Ping. Influence factors of mechanical property for strain strengthening austenitic stainless steel[J]. Journal of PLA University of Science and Technology(Natural Science Edition), 2011, 5: 512-519
    [8] Han Yu, Zhou Wei, Xu Ye. Study on the deformation law of cold-stretching for austenitic stainless steel pressure vessel[J]. Journal of Mechanical Strength, 2022,44(2):409−415. (韩豫, 周微, 徐晔. 应变强化奥氏体不锈钢压力容器的变形规律研究[J]. 机械强度, 2022,44(2):409−415. doi: 10.16579/j.issn.1001.9669.2022.02.021

    Han Yu, Zhou Wei, Xu Ye. Study on the deformation law of cold-stretching for austenitic stainless steel pressure vessel[J]. Journal of Mechanical Strength, 2022, 44(2): 409-415 doi: 10.16579/j.issn.1001.9669.2022.02.021
    [9] Chen Xiaoning, Zhou Jijun. Study on strain strengthened bearing capacity of austenitic stainless steel pressure vessels[J]. China Plant Engineering, 2017,4:173−174. (陈小宁, 周吉军. 奥氏体不锈钢压力容器的应变强化承载能力研究[J]. 中国设备工程, 2017,4:173−174. doi: 10.3969/j.issn.1671-0711.2017.19.080

    Chen Xiaoning, Zhou Jijun. Study on strain strengthened bearing capacity of austenitic stainless steel pressure vessels[J]. China Plant Engineering, 2017, 4: 173-174 doi: 10.3969/j.issn.1671-0711.2017.19.080
    [10] Xu Guodong, Wang Guisheng. Development of titanium and its industry[J]. Chinese Journal of Rare Metals, 2009,33:903−912. (许国栋, 王桂生. 钛金属和钛产业的发展[J]. 稀有金属, 2009,33:903−912. doi: 10.3969/j.issn.0258-7076.2009.06.028

    Xu Guodong, Wang Guisheng. Development of titanium and its industry[J]. Chinese Journal of Rare Metals, 2009, 33: 903-912 doi: 10.3969/j.issn.0258-7076.2009.06.028
    [11] Chang Le, Peng Jian, Zhou Changyu, et al. Fields-backofen and a modified Johnson-Cook model for CP-Ti at ambient and intermediate temperature[J]. Rare Metal Materials and Engineering, 2017,46(7):1803−1809. doi: 10.1016/S1875-5372(17)30170-4
    [12] Lu L, Li J, Su C Y, et al. Research on fatigue crack growth behavior of commercial pure titanium base metal and weldment at different temperatures[J]. Theoretical and Applied Fracture Mechanics, 2019,100:215−224. doi: 10.1016/j.tafmec.2019.01.017
    [13] Zhao Qing, Chang Le, Zheng Yixiang, et al. Tensile mechanical properties and constitutive model of commercial pure titanium TA2 welded joints at medium-low temperature[J]. Iron Steel Vanadium Titanium, 2022,43(5):81−89. (赵青, 常乐, 郑逸翔, 等. TA2工业纯钛焊接接头中低温拉伸力学性能及本构模型[J]. 钢铁钒钛, 2022,43(5):81−89. doi: 10.7513/j.issn.1004-7638.2022.05.012

    Zhao Qing, Chang Le, Zheng Yixiang, et al. Tensile mechanical properties and constitutive model of commercial pure titanium TA2 welded joints at medium-low temperature[J]. Iron Steel Vanadium Titanium, 2022, 43(5): 81-89 doi: 10.7513/j.issn.1004-7638.2022.05.012
    [14] Chang L, Zhou C Y, He X H. The Effects of prestrain and subsequent annealing on tensile properties of CP-Ti[J]. Metals, 2017,7:99. doi: 10.3390/met7030099
  • 加载中
图(9) / 表(3)
计量
  • 文章访问数:  596
  • HTML全文浏览量:  213
  • PDF下载量:  14
  • 被引次数: 0
出版历程
  • 收稿日期:  2022-09-12
  • 刊出日期:  2023-06-30

目录

    /

    返回文章
    返回