中文核心期刊

SCOPUS 数据库收录期刊

中国科技核心期刊

美国《化学文摘》来源期刊

中国优秀冶金期刊

美国EBSCO数据库收录期刊

RCCSE中国核心学术期刊

美国《剑桥科学文摘》来源期刊

中国应用核心期刊(CACJ)

美国《乌利希期刊指南》收录期刊

中国学术期刊综合评价统计源刊

俄罗斯《文摘杂志》来源期刊

优秀中文科技期刊(西牛计划)

日本《科学技术文献数据库》(JST)收录刊

留言板

尊敬的读者、作者、审稿人, 关于本刊的投稿、审稿、编辑和出版的任何问题, 您可以本页添加留言。我们将尽快给您答复。谢谢您的支持!

姓名
邮箱
手机号码
标题
留言内容
验证码

Ru合金化纯Ti电化学行为研究

高强 滕艾均 康强 王鹏 张来启

高强, 滕艾均, 康强, 王鹏, 张来启. Ru合金化纯Ti电化学行为研究[J]. 钢铁钒钛, 2025, 46(1): 40-44. doi: 10.7513/j.issn.1004-7638.2025.01.006
引用本文: 高强, 滕艾均, 康强, 王鹏, 张来启. Ru合金化纯Ti电化学行为研究[J]. 钢铁钒钛, 2025, 46(1): 40-44. doi: 10.7513/j.issn.1004-7638.2025.01.006
GAO Qiang, TENG Aijun, KANG Qiang, WANG Peng, ZHANG Laiqi. The investigation of Ru alloying on the electrochemical behaviour of pure Ti[J]. IRON STEEL VANADIUM TITANIUM, 2025, 46(1): 40-44. doi: 10.7513/j.issn.1004-7638.2025.01.006
Citation: GAO Qiang, TENG Aijun, KANG Qiang, WANG Peng, ZHANG Laiqi. The investigation of Ru alloying on the electrochemical behaviour of pure Ti[J]. IRON STEEL VANADIUM TITANIUM, 2025, 46(1): 40-44. doi: 10.7513/j.issn.1004-7638.2025.01.006

Ru合金化纯Ti电化学行为研究

doi: 10.7513/j.issn.1004-7638.2025.01.006
详细信息
    作者简介:

    高强,1988年出生,男,汉族, 内蒙古呼和浩特人,博士生,从事钛合金腐蚀相关方面研究工作,E-mail:gaoqiangtuzuoqi@163.com

  • 中图分类号: TF823

The investigation of Ru alloying on the electrochemical behaviour of pure Ti

  • 摘要:

    研究了不同Ru含量合金化对纯Ti微观组织结构和电化学行为的影响,以改善钛双极板在质子交换膜水电解环境中的耐蚀性和电导率。结果表明,随着Ru含量的增加, α-Ti 等轴晶细化,耐蚀性提高。韦伯阻抗出现在开路电位下阻抗谱的低频区域。当Ru含量低于0.08%时,0.8 V vs Ref极化6 h的钝化膜表现出p型半导体行为,电导率保持恒定。

  • 图  1  不同含量的Ru合金化纯Ti的金相组织

    Figure  1.  The OM microstructure of Ti alloyed with different Ru contents

    (a) 0;(b) 0.02%;(c) 0.04%;(d) 0.08%

    图  2  不同含量的Ru合金化纯Ti的开路电位和动电位极化曲线

    (a)开路电位;(b)动电位极化曲线

    Figure  2.  The curves of open circuit potential and potentiodynamic polarization of Ti alloyed with different Ru contents

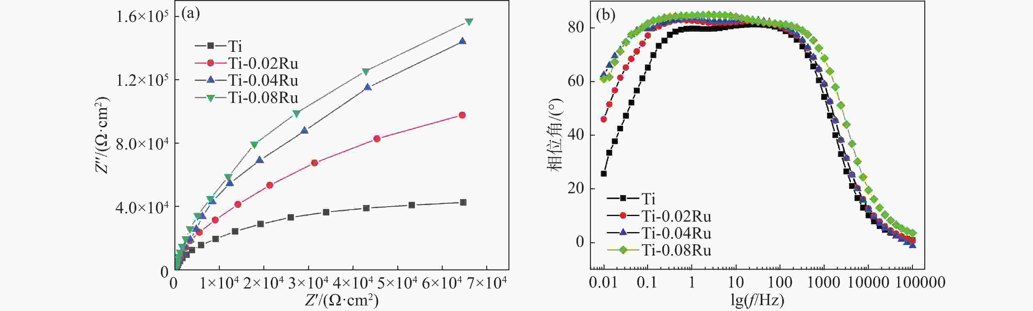
    图  3  不同含量的Ru合金化纯Ti的能斯特图和波特图

    (a)能斯特图;(b)波特图

    Figure  3.  EIS curves of Ti alloyed with different Ru contents at OCP

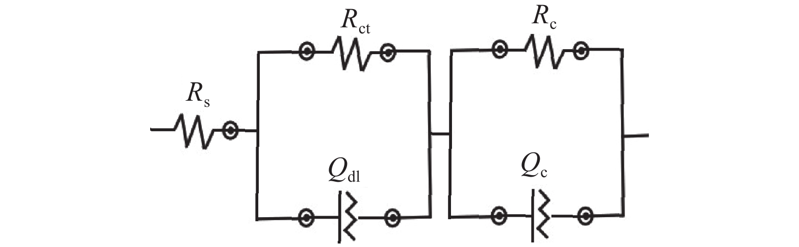
    图  4  图3阻抗谱的等效电路

    Figure  4.  Equivalent circuit used to fit impedance data in Fig. 3

    图  5  相对于参比电极0.8 V下,不同含量的Ru合金化纯Ti的能斯特图和波特图

    (a)能斯特图;(b)波特图

    Figure  5.  EIS curves of Ti alloyed with different Ru contents at 0.8 V vs Ref

    图  6  图5阻抗谱的等效电路

    Figure  6.  Equivalent circuit used to fit impedance data in Fig. 5

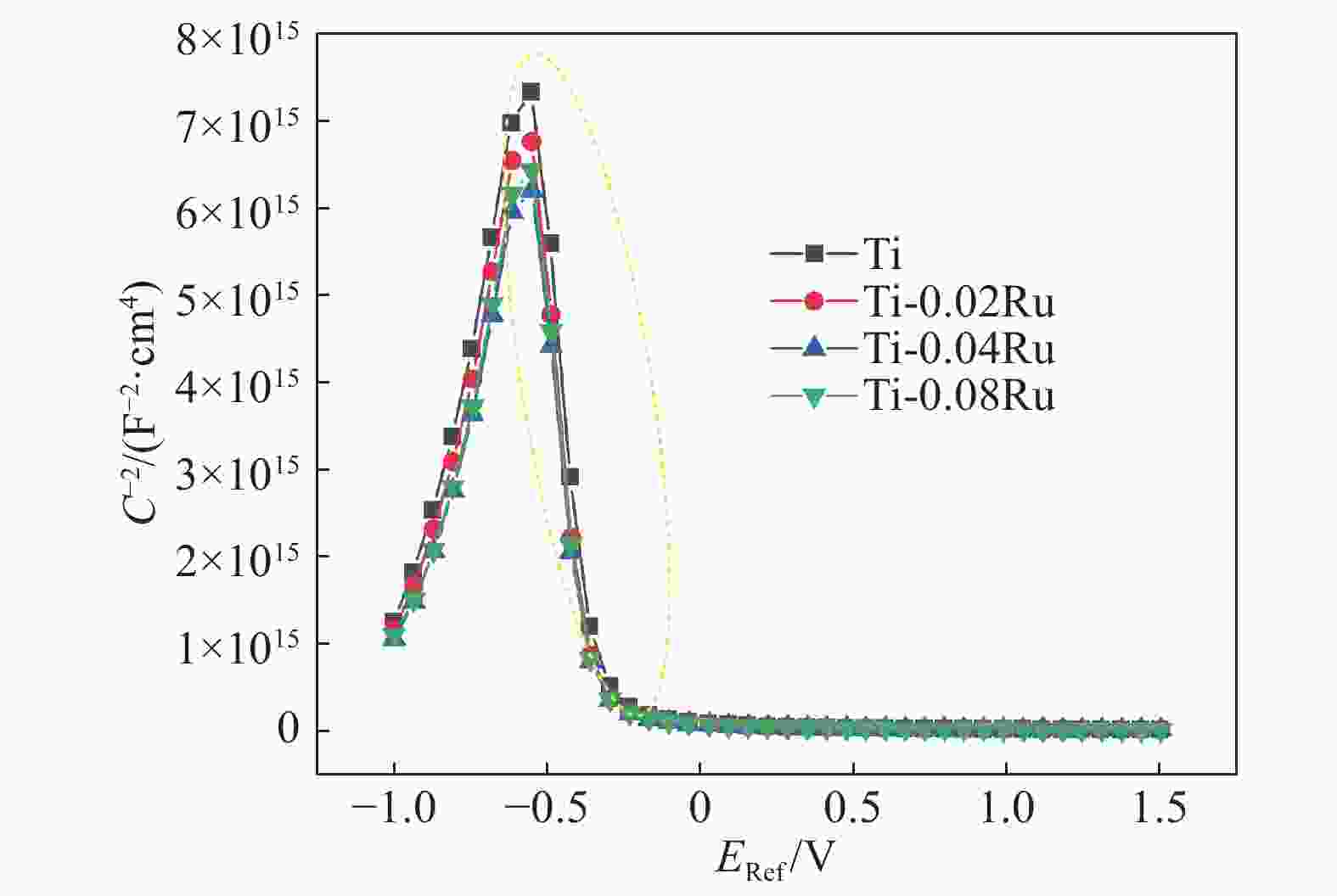
    图  7  相对于参比电极0.8 V下,不同含量的Ru合金化纯Ti的莫特-肖特基图

    Figure  7.  Mott-Schottky plots of the passive films formed on Ti alloyed with different Ru contents at 0.8 V vs Ref

    表  1  不同含量的Ru合金化纯Ti的EcorrIcorr

    Table  1.   The Ecorr and Icorr of Ti alloyed with different Ru contents

    试样Ecorr/VIcorr×105/(A·cm−2)
    Ti−0.6465.14
    Ti−0.02Ru−0.5573.97
    Ti−0.04Ru−0.5182.86
    Ti−0.08Ru−0.4850.122
    下载: 导出CSV

    表  2  图3阻抗谱的等效电路参数

    Table  2.   Equivalent circuit parameters for impedance spectra in Fig. 3

    试样 Rs /(Ω·cm2) Rct /(Ω·cm2) Qdl ×104/
    −1·cm2·sn)
    ndl 103/
    −1·cm2·s0.5)
    χ2 ×10−4
    Ti 2.10 634.90 3.35 0.90 9.77 6.12
    Ti-0.02Ru 5.15 695.50 2.89 0.92 11.62 5.45
    Ti-0.04Ru 2.76 740.50 3.90 0.89 13.4 12.7
    Ti-0.08Ru 3.77 793.00 5.01 0.93 14.8 5.21
    下载: 导出CSV

    表  3  图5阻抗谱的等效电路参数

    Table  3.   Equivalent circuit parameters for impedance spectra in Fig. 5

    试样Rs/
    (Ω·cm2)
    Rct /
    (Ω·cm2)
    Rc ×104 /
    (Ω·cm2)
    Qdl ×104/
    −1·cm2·sn)
    ndlQc ×105/
    −1·cm2·sn)
    ncχ2×10−4
    Ti2.9774.329.134.520.966.660.9311.15
    Ti-0.02Ru2.31105.9023.456.220.866.100.9610.01
    Ti-0.04Ru2.3248.9246.6611.320.946.020.943.96
    Ti-0.08Ru1.8310.7553.956.680.904.460.954.99
    下载: 导出CSV
  • [1] WOODS P H, AGUEY K. The hydrogen economy-where is the water?[J]. Energy Nexus, 2022,7:100123. doi: 10.1016/j.nexus.2022.100123
    [2] CARMO M, FRITZ D, MERGEL J A, STOLTEN, D A comprehensive review on PEM water electrolysis[J]. International Journal of Hydrogen Energy, 2013, 38: 4901-4934.
    [3] AYERS K E, CAPUANO C, ANDERSON E B. Recent advances in cell cost and efficiency for PEM-Based water electrolysis[J]. ECS Trans, 2012,41:15-22.
    [4] ROJAS N, SÁNCHEZ M M, SEVILLA G, et al. Coated stainless steels evaluation for bipolar plates in PEM water electrolysis conditions[J]. International Journal of Hydrogen Energy, 2021,46:25929-25943. doi: 10.1016/j.ijhydene.2021.03.100
    [5] SHIRVANIAN P, VAN B F. Novel components in Proton Exchange Membrane (PEM) Water Electrolyzers (PEMWE): Status, challenges and future needs. A mini review[J]. Electrochemistry communications, 2020,114:106704. doi: 10.1016/j.elecom.2020.106704
    [6] KONG D, FENG Y. Electrochemical anodic dissolution kinetics of titanium in fluoride-containing perchloric acid solutions at open-circuit potentials[J]. Journal of the Electrochemical Society, 2009,156:C283. doi: 10.1149/1.3153148
    [7] WANG Z B, HU H X, ZHENG Y G, et al. Comparison of the corrosion behavior of pure titanium and its alloys in fluoride-containing sulfuric acid[J]. Corrosion Science, 2016,103:50-65. doi: 10.1016/j.corsci.2015.11.003
    [8] SHAN D F, SHEN G X, PENG S L, et al. Preparation of carbon-doped titanium nitride corrosion-resistant coating on surface of titanium bipolar plates[J]. Rare Metals and Cemented Carbides, 2023,51(1):86-91. (单东方, 申桂鑫, 彭善龙, 等. 钛双极板表面碳掺杂氮化钛耐腐蚀涂层制备[J]. 稀有金属与硬质合金, 2023,51(1):86-91.

    SHAN D F, SHEN G X, PENG S L, et al. Preparation of carbon-doped titanium nitride corrosion-resistant coating on surface of titanium bipolar plates[J]. Rare Metals and Cemented Carbides, 2023, 51(1): 86-91.
    [9] POTGIETER J H. Alloys cathodically modified with noble metals[J]. Journal of Applied Electrochemistry, 1991,21:471-482. doi: 10.1007/BF01018598
    [10] GAO Y L, GUO C P, LI C R, et al. Thermodynamic modeling of the Ru-Ti system[J]. Journal of Alloys and Compounds, 2009,479:148. doi: 10.1016/j.jallcom.2008.12.059
    [11] ZHAO Y S, YANG Z, CHEN R Z, et al. Effect of Ru on microstructure evolution of the fourth generation nickle-based single crystal superalloy DD22 during long term aging[J]. Journal of Materials and Engineering, 2022, 50(9): 127-136. (赵云松, 杨昭, 陈瑞志, 等. Ru对第四代镍基单晶高温合金DD22长期时效组织演化的影响[J]. 材料工程, 2022, 50(9): 127.

    ZHAO Y S, YANG Z, CHEN R Z, et al. Effect of Ru on microstructure evolution of the fourth generation nickle-based single crystal superalloy DD22 during long term aging[J]. Journal of Materials and Engineering, 2022, 50(9): 127-136.
    [12] QIN P, CHEN L Y, ZHAO C H, et al. Corrosion behavior and mechanism of selective laser melted Ti35Nb alloy produced using prealloyed and mixed powder in Hank’s solution[J]. Corrosion Science, 2021,189:109609. doi: 10.1016/j.corsci.2021.109609
    [13] AZUMI K, MASAHIRO S. Changes in electrochemical properties of the anodic oxide formed on titanium during potential sweep[J]. Corrosion Science, 2001,43:533-546. doi: 10.1016/S0010-938X(00)00105-0
    [14] FATTAH A A, SOLTANI F, SHISALIMI F, et al. The semiconducting properties of passive films formed on AISI 316L and AISI 321 stainless steels: A test of the point defect model (PDM)[J]. Corrosion Science, 2011, 53: 3186-3192.
  • 加载中
图(7) / 表(3)
计量
  • 文章访问数:  287
  • HTML全文浏览量:  154
  • PDF下载量:  14
  • 被引次数: 0
出版历程
  • 收稿日期:  2024-06-13
  • 网络出版日期:  2025-02-27
  • 刊出日期:  2025-02-27

目录

    /

    返回文章
    返回