中文核心期刊

SCOPUS 数据库收录期刊

中国科技核心期刊

美国《化学文摘》来源期刊

中国优秀冶金期刊

美国EBSCO数据库收录期刊

RCCSE中国核心学术期刊

美国《剑桥科学文摘》来源期刊

中国应用核心期刊(CACJ)

美国《乌利希期刊指南》收录期刊

中国学术期刊综合评价统计源刊

俄罗斯《文摘杂志》来源期刊

优秀中文科技期刊(西牛计划)

日本《科学技术文献数据库》(JST)收录刊

留言板

尊敬的读者、作者、审稿人, 关于本刊的投稿、审稿、编辑和出版的任何问题, 您可以本页添加留言。我们将尽快给您答复。谢谢您的支持!

姓名
邮箱
手机号码
标题
留言内容
验证码

50CrV连铸大方坯凝固末端电磁搅拌位置优化

高擎 杨文志 杨建 陈波涛 郑鑫钰 丰琦 孙彦辉

高擎, 杨文志, 杨建, 陈波涛, 郑鑫钰, 丰琦, 孙彦辉. 50CrV连铸大方坯凝固末端电磁搅拌位置优化[J]. 钢铁钒钛, 2025, 46(1): 133-140. doi: 10.7513/j.issn.1004-7638.2025.01.019
引用本文: 高擎, 杨文志, 杨建, 陈波涛, 郑鑫钰, 丰琦, 孙彦辉. 50CrV连铸大方坯凝固末端电磁搅拌位置优化[J]. 钢铁钒钛, 2025, 46(1): 133-140. doi: 10.7513/j.issn.1004-7638.2025.01.019
GAO Qing, YANG Wenzhi, YANG Jian, CHEN Botao, ZHENG Xinyu, FENG Qi, SUN Yanhui. Optimization of the electromagnetic stirring position at solidification end of 50CrV continuous casting billet[J]. IRON STEEL VANADIUM TITANIUM, 2025, 46(1): 133-140. doi: 10.7513/j.issn.1004-7638.2025.01.019
Citation: GAO Qing, YANG Wenzhi, YANG Jian, CHEN Botao, ZHENG Xinyu, FENG Qi, SUN Yanhui. Optimization of the electromagnetic stirring position at solidification end of 50CrV continuous casting billet[J]. IRON STEEL VANADIUM TITANIUM, 2025, 46(1): 133-140. doi: 10.7513/j.issn.1004-7638.2025.01.019

50CrV连铸大方坯凝固末端电磁搅拌位置优化

doi: 10.7513/j.issn.1004-7638.2025.01.019
详细信息
    作者简介:

    高擎,1982年出生,男,硕士,高级工程师,主要从事连铸坯质量控制研究,E-mail: 212671@mail.hnxg.com.cn

    通讯作者:

    孙彦辉,1971年出生,男,博士,教授,主要从事品种钢开发及连铸工艺关键技术研究,E-mail:ustb420@126.com

  • 中图分类号: TF76

Optimization of the electromagnetic stirring position at solidification end of 50CrV continuous casting billet

  • 摘要:

    为标定240 mm×240 mm断面50CrV弹簧钢方坯的凝固末端位置,确定凝固末端电磁搅拌的合理位置,对湘钢方坯连铸机开展射钉试验,结果表明,弹簧钢方坯综合凝固系数为26.8 mm/min1/2,在0.8 m/min和1.0 m/min拉速下,凝固终点位置分别为距弯月面16.2 m和19.8 m处,凝固末端电磁搅拌适宜位置为距弯月面7.18 m和8.84 m处。基于射钉试验建立凝固传热模型,利用模型研究了不同连铸工艺参数下的铸坯凝固特征,据此可对现行连铸参数进行优化与修正,充分发挥凝固末端电磁搅拌作用,减轻中心偏析,改善铸坯质量,研究结果对现场实际具有一定指导意义。

  • 图  1  铸坯射钉示意

    Figure  1.  Schematic diagram of nail shooting experiment

    图  2  射钉试验结果照片(υ=0.8 m/min)

    (a)硫印照片;(b)酸浸低倍组织照片

    Figure  2.  The results of the nail shooting experiment

    图  3  射钉试验结果照片(υ=1.0 m/min)

    (a)硫印照片;(b)酸浸低倍组织照片

    Figure  3.  The results of the nail shooting experiment

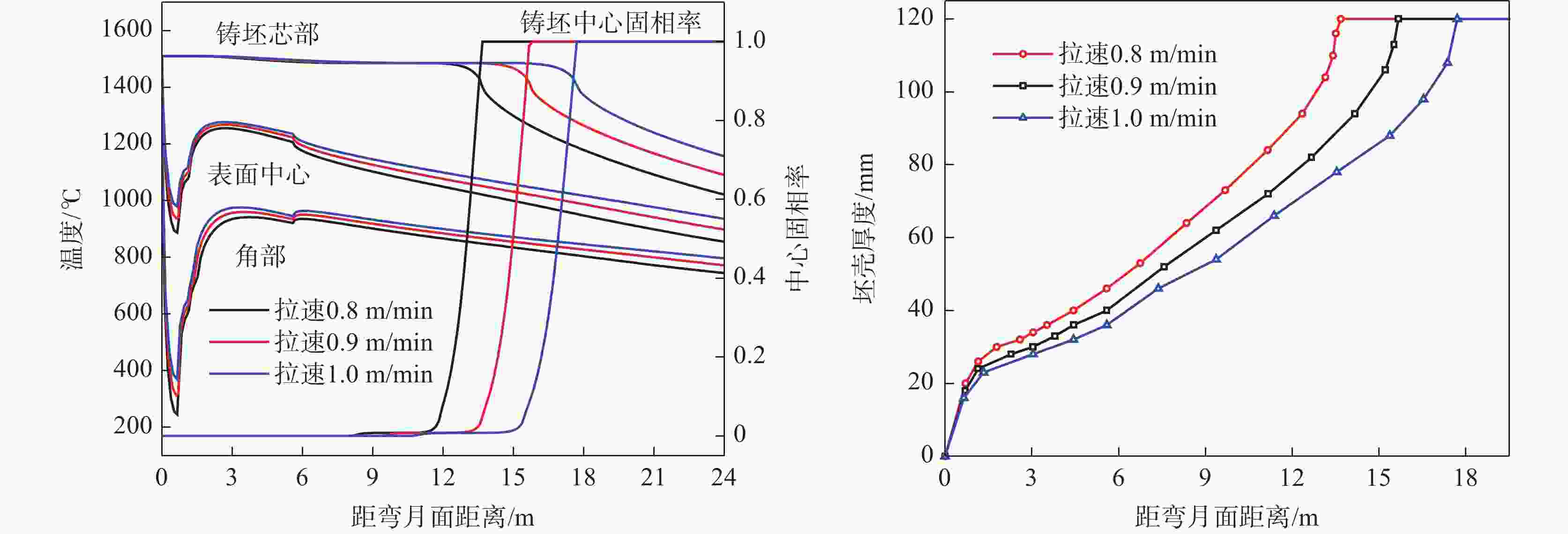
    图  4  拉速对凝固过程的影响

    (a)铸坯温度及中心固相率;(b)铸坯坯壳厚度

    Figure  4.  Effect of casting speed on the solidification process

    图  5  比水量对凝固过程的影响

    (a)铸坯温度及中心固相率;(b)铸坯坯壳厚度

    Figure  5.  Effect of the specific water flow rate on the solidification process

    图  6  过热度对凝固过程的影响

    (a)铸坯温度及中心固相率;(b)铸坯坯壳厚度

    Figure  6.  Effect of superheat on the solidification process

    (a) Billet temperature and solid phase ratio at the center of billet; (b)thickness of casting shell

    表  1  射钉化学成分

    Table  1.   Chemical composition of shoot nail used in this study %

    钢种CSiMnCr其他
    60Si2MnA0.56~0.641.60~2.000.60~0.90≤0.35
    下载: 导出CSV

    表  2  50CrV钢的主要化学成分

    Table  2.   The main chemical compositions of 50CrV steel %

    CSiMnPSCrV
    0.500.260.690.0090.0041.030.12
    下载: 导出CSV

    表  3  50CrV方坯生产工艺条件

    Table  3.   50CrV billet production process parameters

    钢种拉速/(m·min−1过热度/℃结晶器水量/(m3·h−1比水量/(L·kg−1冷却水量/(t·h−1
    足辊Ⅰ区Ⅱ区Ⅲ区
    50CrV0.8251250.161.60.80.60.5
    1.0251250.192.01.21.00.8
    下载: 导出CSV

    表  4  50CrV钢射钉试验结果

    Table  4.   The nail shooting experiment results of 50CrV billet

    射钉序号 拉速/(m·min−1 射钉位置/m 坯壳厚度/mm 平均坯壳厚度/mm 综合凝固系数K/(mm·min−1/2 凝固终点位置/m
    酸洗 硫印
    2-2 0.8 12.4 92 92 92.0 26.7 16.2
    2-3 1.0 12.4 75 75 75.0 26.9 19.8
    下载: 导出CSV

    表  5  现场末端电磁搅拌中心处液芯厚度及理想厚度

    Table  5.   measureed and ideal thickness of liquid core at the center of the electromagnetic stirring

    钢种 末搅位置/m 拉速/(m·min−1 末搅中心处液芯厚度/mm
    计算值 理想值
    50CrV 9.93 0.8 52 80
    1.0 70
    下载: 导出CSV

    表  6  不同液芯厚度下凝固末端电磁搅拌中心适宜位置

    Table  6.   The appropriate position of the solidification end electromagnetic stirring center under different core thicknesses

    拉速/(m·min−1比水量/(L·kg−1末搅中心距弯月面距离/m
    液芯厚度80 mm液芯厚度70 mm液芯厚度60 mm
    0.80.167.188.119.09
    1.00.198.849.9811.19
    下载: 导出CSV

    表  7  适宜现场(距弯月面9.93 m)处电搅发挥作用的拉速

    Table  7.   Casting speed suitable for electromagnetic stirring at the location 9.93 m below the meniscus m/min

    钢种 液芯厚度80 mm 液芯厚度70 mm 液芯厚度60 mm
    50CrV 1.11 0.99 0.88
    下载: 导出CSV
  • [1] WANG W B, HU S S, ZHANG M, et al. Effect of heat treatment process on surface condition and fatigue properties of 50CrVA spring steel[J]. Metal World, 2023(5):80-82. (王文博, 胡生双, 张锰, 等. 热处理工艺对50CrVA弹簧钢表面状态和疲劳性能的影响[J]. 金属世界, 2023(5):80-82. doi: 10.3969/j.issn.1000-6826.2022.02.0701

    WANG W B, HU S S, ZHANG M, et al. Effect of heat treatment process on surface condition and fatigue properties of 50CrVA spring steel[J]. Metal World, 2023(5): 80-82. doi: 10.3969/j.issn.1000-6826.2022.02.0701
    [2] FAN Z W, ZHOU Z R, ZHANG Q, et al. Effect of precipitates in 50CrVA of automobile spring flat steel on its properties[J]. Hot Working Technology, 2022,51(21):98-101. (范众维, 周梓荣, 章庆, 等. 汽车弹簧扁钢50CrVA中析出物对其性能的影响[J]. 热加工工艺, 2022,51(21):98-101.

    FAN Z W, ZHOU Z R, ZHANG Q, et al. Effect of precipitates in 50CrVA of automobile spring flat steel on its properties[J]. Hot Working Technology, 2022, 51(21): 98-101.
    [3] LI J. Study on soft reduction process theory and central segregation of pressure vessel steel wide slab[D]. Beijing: University of Science and Technology Beijing, 2022. (李杰. 压力容器钢宽板坯轻压下工艺理论及中心偏析研究[D]. 北京: 北京科技大学, 2022.

    LI J. Study on soft reduction process theory and central segregation of pressure vessel steel wide slab[D]. Beijing: University of Science and Technology Beijing, 2022.
    [4] QIN F T, LIU Z H, DONG Z L, et al. Measurement of solidified shell of 240 mm × 240 mm casting bloom by nail-shooting technique and process optimization[J]. Special Steel, 2020,41(1):51-54. (秦凤婷, 刘宗辉, 董战利. 利用射钉法测量240 mm×240 mm铸坯凝固坯壳厚度及工艺优化[J]. 特殊钢, 2020,41(1):51-54. doi: 10.3969/j.issn.1003-8620.2020.01.013

    QIN F T, LIU Z H, DONG Z L, et al. Measurement of solidified shell of 240 mm × 240 mm casting bloom by nail-shooting technique and process optimization[J]. Special Steel, 2020, 41(1): 51-54. doi: 10.3969/j.issn.1003-8620.2020.01.013
    [5] ZHANG P, SHI P Z, XIE S Z, et al. Solidification process simulation and process optimization of high strength steel slab[J]. Iron Steel Vanadium Titanium, 2023,44(2):132-140. (张攀, 时朋召, 谢世正, 等. 高强钢板坯凝固过程模拟与工艺优化[J]. 钢铁钒钛, 2023,44(2):132-140. doi: 10.7513/j.issn.1004-7638.2023.02.019

    ZHANG P, SHI P Z, XIE S Z, et al. Solidification process simulation and process optimization of high strength steel slab[J]. Iron Steel Vanadium Titanium, 2023, 44(2): 132-140. doi: 10.7513/j.issn.1004-7638.2023.02.019
    [6] CHEN F, XU X J, YANG Z J, et al. Optimization of final electromagnetic stirring in continuous casting and quality of high-carbon steel billets[J]. Special Casting & Nonferrous Alloys, 2019,39(7):750-753. (陈丰, 许秀杰, 杨子江, 等. 连铸末端电磁搅拌工艺的优化与高碳钢铸坯质量[J]. 特种铸造及有色合金, 2019,39(7):750-753.

    CHEN F, XU X J, YANG Z J, et al. Optimization of final electromagnetic stirring in continuous casting and quality of high-carbon steel billets[J]. Special Casting & Nonferrous Alloys, 2019, 39(7): 750-753.
    [7] LIU T, LI Y G, SUN Y H, et al. Development and application of prediction model for solidification structure and segregation of 82B billet[J]. Continuous Casting, 2022(6):8-15. (刘添, 李曜光, 孙彦辉, 等. 82B小方坯凝固组织和偏析预测模型开发及应用[J]. 连铸, 2022(6):8-15.

    LIU T, LI Y G, SUN Y H, et al. Development and application of prediction model for solidification structure and segregation of 82B billet[J]. Continuous Casting, 2022(6): 8-15.
    [8] WANG L, SUN Y H, NIU A P, et al. Numerical simulation of heat transfer and solidification in X80 slab continuous casting[J]. Iron Steel Vanadium Titanium, 2018,39(6):143-149. (王璐, 孙彦辉, 牛阿朋, 等. X80板坯传热凝固数值模拟[J]. 钢铁钒钛, 2018,39(6):143-149. doi: 10.7513/j.issn.1004-7638.2018.06.023

    WANG L, SUN Y H, NIU A P, et al. Numerical simulation of heat transfer and solidification in X80 slab continuous casting[J]. Iron Steel Vanadium Titanium, 2018, 39(6): 143-149. doi: 10.7513/j.issn.1004-7638.2018.06.023
    [9] ZHOU X L, LENG X G, PENG S H, et al. Application research on thickness measurement of solidified slab shell by pin-shotting[J]. Continuous Casting, 2015,40(6):25-29. (周秀丽, 冷祥贵, 彭世恒, 等. 基于“射钉法”的凝固坯壳厚度测定的应用研究[J]. 连铸, 2015,40(6):25-29.

    ZHOU X L, LENG X G, PENG S H, et al. Application research on thickness measurement of solidified slab shell by pin-shotting[J]. Continuous Casting, 2015, 40(6): 25-29.
    [10] PAN P, HOU D, GE W Y, et al. Position of electromagnetic stirring at solidification end of continuous casting billet and optimization of continuous casting process[J]. Continuous Casting, 2022(2):66-76+88. (潘鹏, 侯栋, 戈文英, 等. 连铸坯凝固末端电磁搅拌位置及连铸工艺优化[J]. 连铸, 2022(2):66-76+88.

    PAN P, HOU D, GE W Y, et al. Position of electromagnetic stirring at solidification end of continuous casting billet and optimization of continuous casting process[J]. Continuous Casting, 2022(2): 66-76+88.
    [11] LI Y G. Simulation study of macroscopic transmission phenomenon and central segregation in continuous casting process[D]. Beijing: University of Science and Technology Beijing, 2022. (李曜光. 连铸过程宏观传输现象及中心偏析的模拟研究[D]. 北京: 北京科技大学, 2022.

    LI Y G. Simulation study of macroscopic transmission phenomenon and central segregation in continuous casting process[D]. Beijing: University of Science and Technology Beijing, 2022.
    [12] ZHOU G T, CHEN J, HUANG B C, et al. Numerical simulation of solidification and heat transfer of Q355B slab during continuous casting[J]. Continuous Casting, 2023(02):43-51. (周国涛, 陈金, 黄标彩, 等. Q355B板坯连铸凝固传热行为数值模拟[J]. 连铸, 2023(02):43-51.

    ZHOU G T, CHEN J, HUANG B C, et al. Numerical simulation of solidification and heat transfer of Q355B slab during continuous casting[J]. Continuous Casting, 2023(02): 43-51.
    [13] LALLY B, BIEGLER L, HENEIN H. Finite difference heat-transfer modeling for continuous casting[J]. Metallurgical Transactions B, 1990,21(4):761-770. doi: 10.1007/BF02654255
    [14] TIEU A K, KIM I S. Simulation of the continuous casting process by a mathematical model[J]. International Journal of Mechanical Sciences, 1997,39(2):185-192. doi: 10.1016/0020-7403(96)00052-5
    [15] SHENG Y P, KONG X D, YANG Y L. Study on thermal boundary conditions in the mold for continuous casting[J]. China Mechanical Engineering, 2007(13):1615-1618. (盛义平, 孔祥东, 杨永利. 连铸结晶器传热边界条件研究[J]. 中国机械工程, 2007(13):1615-1618. doi: 10.3321/j.issn:1004-132X.2007.13.025

    SHENG Y P, KONG X D, YANG Y L. Study on thermal boundary conditions in the mold for continuous casting[J]. China Mechanical Engineering, 2007(13): 1615-1618. doi: 10.3321/j.issn:1004-132X.2007.13.025
    [16] JING C, WANG X, JIANG M. Study on solidification structure of wheel steel round billet using FE-CA coupling modle[J]. Steel Research International, 2011,82(10):1173-1179. doi: 10.1002/srin.201000303
    [17] CAI D W, LU J Z, DOU K, et al. Numerical modelling on solidification and heat transfer process of micro-alloyed steel bloom[J]. Continuous Casting, 2023(5):51-56. (蔡大为, 陆靖洲, 窦坤, 等. 微合金钢连铸方坯凝固传热过程数值模拟[J]. 连铸, 2023(5):51-56.

    CAI D W, LU J Z, DOU K, et al. Numerical modelling on solidification and heat transfer process of micro-alloyed steel bloom[J]. Continuous Casting, 2023(5): 51-56.
    [18] ZHANG X W, BAI X L, SHI L, et al. Numerical simulation of solidification temperature field of SWRH72B-S wire steel continuous casting billet[J]. Continuous Casting, 2023(1):18-23. (张小伟, 白晓路, 石磊, 等. SWRH72B-S绞线钢连铸小方坯凝固温度场数值模拟[J]. 连铸, 2023(1):18-23.

    ZHANG X W, BAI X L, SHI L, et al. Numerical simulation of solidification temperature field of SWRH72B-S wire steel continuous casting billet[J]. Continuous Casting, 2023(1): 18-23.
  • 加载中
图(6) / 表(7)
计量
  • 文章访问数:  234
  • HTML全文浏览量:  109
  • PDF下载量:  17
  • 被引次数: 0
出版历程
  • 收稿日期:  2023-12-07
  • 网络出版日期:  2025-02-27
  • 刊出日期:  2025-02-27

目录

    /

    返回文章
    返回