2021 Vol. 42, No. 1

Separating and Extracting of Vanadium and Titanium
In-situ preparation of VS4 from vanadium-containing leaching solution of vanadium chromium slag
Wen Jing, Shapkat Arken, Jiang Tao
2021, 42(1): 1-7. doi: 10.7513/j.issn.1004-7638.2021.01.001
Abstract(647) HTML (114) PDF(60)
Abstract:
At present, the traditional vanadium extraction process is still based on the preparation of vanadium products for steel and chemical industries. In order to promote the deep processing of vanadium products, a new technology of in-situ preparation of high value-added material VS4 from vanadium leaching solution was proposed in this paper, which can be used in energy storage and catalysis fields. VS4 was prepared from vanadium chromium slag with different roasting and leaching processes as the vanadium source and thioacetamide as sulfur source. The results show that the leaching solution from sodium roasting-water leaching process and calcification roasting-sodium carbonate leaching process can be used as mother liquor for VS4 generation. However, due to the formation of sodium silicate, sodium chromate and other sodium salts in the sodium roasting process, the corresponding leaching solution contains a large amount of sodium, silicon, chromium and other impurities, resulting in low purity of VS4 products. Due to the selective calcification effect of calcium salt on vanadium, the separation efficiency of vanadium and chromium is very high in the process of calcium roasting and sodium carbonate leaching process. The purity of VS4 product is high, and it has similar morphology with VS4 prepared using sodium metavanadate as the vanadium source. The process not only realizes the value-added utilization of vanadium chromium slag, but also significantly shortens the preparation process of vanadium containing materials.
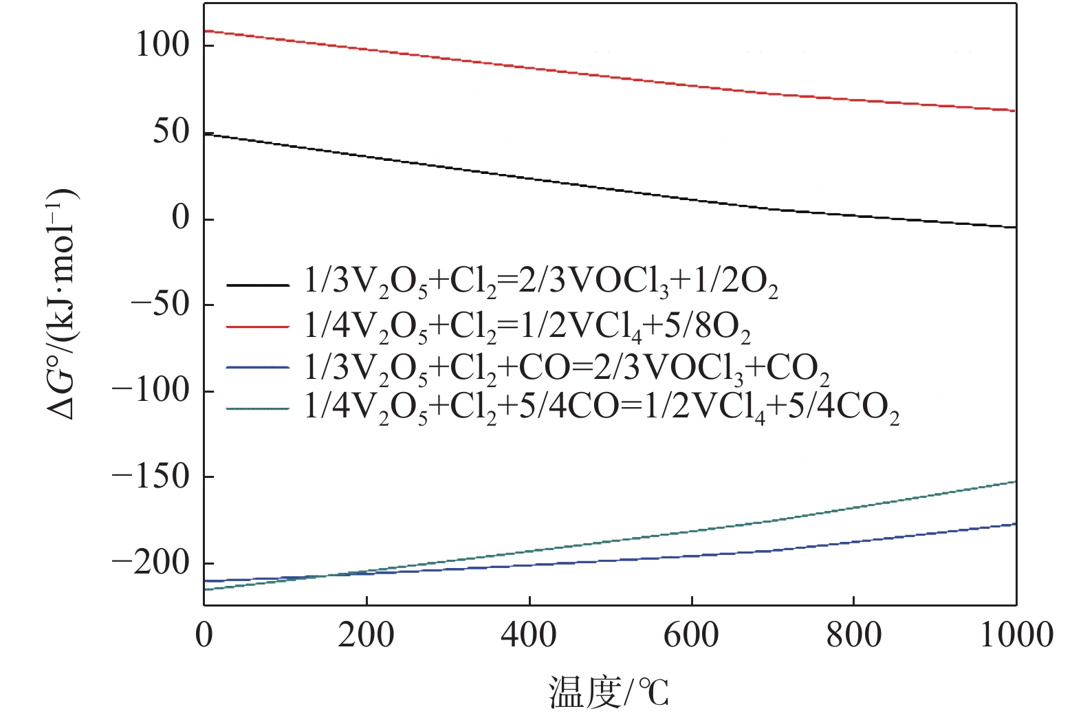
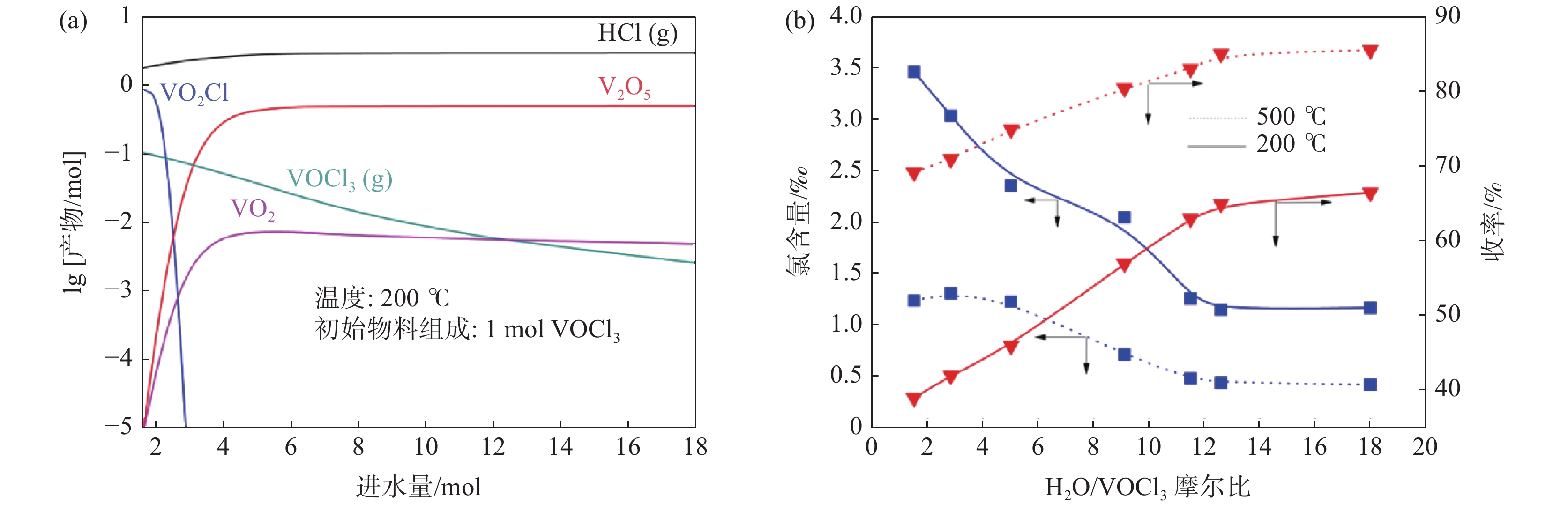
Review on research progress of high purity vanadium pentoxide preparation by chlorination process
Li Zhuochen, Du Guangchao, Fan Chuanlin, Zhu Qingshan
2021, 42(1): 8-15, 92. doi: 10.7513/j.issn.1004-7638.2021.01.002
Abstract(1624) HTML (357) PDF(266)
Abstract:
As a crucial raw material for all-vanadium redox flow battery(VRFB), the high purity vanadium pentoxide (V2O5) is under an increasingly urgent demand with the rapid development of VRFB in recent years. Based on this background, a plenty of processes have been proposed for high purity V2O5 preparation, among which the chlorination process is paid more and more attentions due to the remarkable advantages of high efficiency, favorable selectivity, high purity of products and eco-friendly feature. In this paper, we reviewed the research progress with relevant literatures concentrated on the three key procedures of high purity V2O5 preparation via chlorination process, including thermodynamics, kinetics and processes of chlorination of raw materials, purification of crude vanadium oxytrichloride (VOCl3) and conversion of VOCl3 into V2O5. The high-efficient utilization of secondary vanadium resources, the selective hydrolysis of crude vanadium oxychloride to remove TiCl4 and conversion of VOCl3 into V2O5 by catalytic oxidation are proposed as the development trends of the corresponding key procedures. Finally, carrying out the pilot test and developing the key equipment for preparing high-purity vanadium pentoxide by chlorination process are the key and difficult points for realizing the industrial production in the future.
Simulation and experimental study on ultrasonic spray pyrolysis of ultrafine vanadium dioxide powder
Xin Yanan, Peng Sui, Liu Bo
2021, 42(1): 16-23. doi: 10.7513/j.issn.1004-7638.2021.01.003
Abstract(732) HTML (197) PDF(74)
Abstract:
For the spray pyrolysis process, the device was optimized by computational fluid dynamics (CFD) method. Through comparison and analysis, the heat preservation optimization was adopted for the inlet and outlet sections of the tubular furnace to improve the uneven temperature and velocity field distributions. An ultrasonic spray pyrolysis device was designed and set up, and the influences of precursor solution, precursor concentration and pyrolysis temperature on the particle size and morphology of the products were investigated through experiments. The results show that the main products of the ultrasonic pyrolysis of vanadyl oxalate solution are V2O3, while the pyrolysis products of vanadyl sulfate and vanadyl dichloride are blue black VO2 particles. With increase of the concentration of vanadyl sulfate precursor, the amount of large particles increases significantly, and the particle size is more than 100 nm. The VO2 particles obtained via pyrolysis of vanadyl dichloride are the secondary and primary particles. With increase of the pyrolysis temperature and precursor concentration, the dispersion of the particles increases obviously, and the number of small particles increases, and the particle size is about 100 nm.
Study on selective separation of vanadium, titanium and tungsten from spent SCR denitration catalyst
Zhang Zhenquan, Zhao Beibei, Li Lanjie, Dong Zihui, Bai Ruiguo, Wang Haixu
2021, 42(1): 24-31. doi: 10.7513/j.issn.1004-7638.2021.01.004
Abstract(936) HTML (393) PDF(74)
Abstract:
Titanium was selectively separated from waste SCR catalyst by NaOH leaching, HCl leaching and sodium carbonate roasting followed by water leaching, respectively. The results show that titanium can be separated from vanadium and tungsten by sodium carbonate roasting and water leaching of the catalyst. The optimum process conditions are as follows: roasting temperature 850 ℃, roasting time 3 h, mass ratio of sodium carbonate to waste catalyst 1.3, leaching temperature 95 ℃, leaching time 1 h, stirring speed 500 r/min. The leaching rates of V, As and W are 52.26%, 98.24% and 99.9%, respectively. High efficient titanium extraction can be achieved by leaching sodium roasting slag of the spent SCR catalyst with sulfuric acid. The optimum conditions are as follows: 40% sulfuric acid, liquid-solid ratio 4∶1, leaching temperature 90 ℃, leaching time 3 h, stirring speed 500 r/min. The leaching rate of titanium is 93.4%. Metatitanic acid was prepared by hydrolysis. The hydrolysis rate of titanium is 94.05% and the purity of metatitanic acid is 94.07%.
Study on reduction of panxi titanium ore pellets by coke oven gas
Ye Endong, Liu Juan, Hu Yuanjin
2021, 42(1): 32-37. doi: 10.7513/j.issn.1004-7638.2021.01.005
Abstract(508) HTML (147) PDF(31)
Abstract:
Aiming at the problem that Panxi titanium concentrate is difficult to be directly added into furnace due to the fine particle size, the process of reducing the pellets prepared from the titanium ore by coke oven gas was proposed. And the comparative experiments between the pellets and titanium concentrate were also carried out. The results show that micro-cracks and holes appear in the titanium pellets after preroasting, which is favorable for the gas phase reduction reaction. At the reduction temperature of 950 ℃ for 4 h, the metallization rate of titanium ore pellets can reach more than 85%. During the reduction process, the phases of titanium ore pellets change greatly. The main phases change from pseudobrookite to metallic iron, rutile and a small amount of ilmenite. As the reaction progresses, the metallic Fe in the titanium ore pellets gradually appears with scattered distribution, and gradually grows into pieces. It provides theoretical support for smelting titanium slag from Panxi fine grade titanium concentrate.
Study on technology for preparation of high-purity vanadium pentoxide for aviation materials
Liu Chao, Li Haijun, Zhu Jianyan, Hu Zhiwei
2021, 42(1): 38-42. doi: 10.7513/j.issn.1004-7638.2021.01.006
Abstract(868) HTML (221) PDF(54)
Abstract:
Based on the process for production of high purity vanadium pentoxide from low grade vanadium slag, a systematic research was carried out for improving the vanadium recovery rate, the grade of ammonium polyvanadate and vanadium pentoxide, and decreasing the material and energy consumption as well as the product impurities simultaneously. The conversion rate more than 86% for the vanadium slag, the grade more than 89.5% and 99% respectively for ammonium polyvanadate and vanadium pentoxide can be obtained finally. The content of impurities and high density metal inclusions in products can meet the requirements of the customers such as Kennametal and Reading titanium alloy companies.
Application of Vanadium and Titanium
Application of rutile nano titanium dioxide in coatings
Wu Jianchun
2021, 42(1): 43-49. doi: 10.7513/j.issn.1004-7638.2021.01.007
Abstract(849) HTML (623) PDF(127)
Abstract:
Based on the morphology and particle size analyses of nano-TiO2 by transmission electron microscopy (TEM), the nano-TiO2 was respectively made into latex paint, automobile paint, furniture paint and anti-corrosion paint to investigate the weather resistance and optically variable property. The results show that the rutile nano-TiO2 can greatly improve the weather resistance, water resistance, alkali resistance and washing resistance of latex paint, and can also improve the weather resistance of furniture paint and anticorrosive paint. The automobile paint containing nano-TiO2 and aluminum powder has optically variable property, and the particle size of TiO2 has a great influence on the optically variable property. The aluminum paint modified by the ordinary TiO2 with an average particle size of 280 nm has no optically variable effect, while it has significant optically variable property with 35 nm TiO2 as the modifier. And the color difference from various angles increases with increase in the addition of the nano-TiO2.
Effect of heat treatment process on microstructure and properties of titanium alloy tubing
Li Zhoubo, Zhao Yong, Gao Mengzhao, Huang Xiaojiang, Yuan Qingying
2021, 42(1): 50-54. doi: 10.7513/j.issn.1004-7638.2021.01.008
Abstract(437) HTML (127) PDF(20)
Abstract:
The effect of heat treatment process on the microstructure and properties of titanium alloy oil well tubes was studied by means of optical microscope, scanning electron microscope, tensile testing machine and impact testing machine. The results show that the solid solution temperature has a great influence on the grain morphology and phase proportion of titanium alloy tubing. In the α+β two-phase region, the proportion of α phase decreases with increase of the solution temperature. Bimodal structure of titanium alloy can be obtained at 850 ℃ of solid solution for 1 h followed by water cooling and 550 ℃ aging for 2 h followed by air cooling, which can realize the matching of high strength and toughness of titanium alloy oil well tubes. And it has excellent comprehensive properties, meeting the requirements of SY/T 6896.3 standard for 110ksi steel grade titanium alloy oil well tubes.
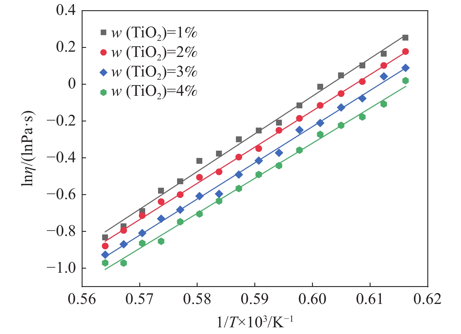
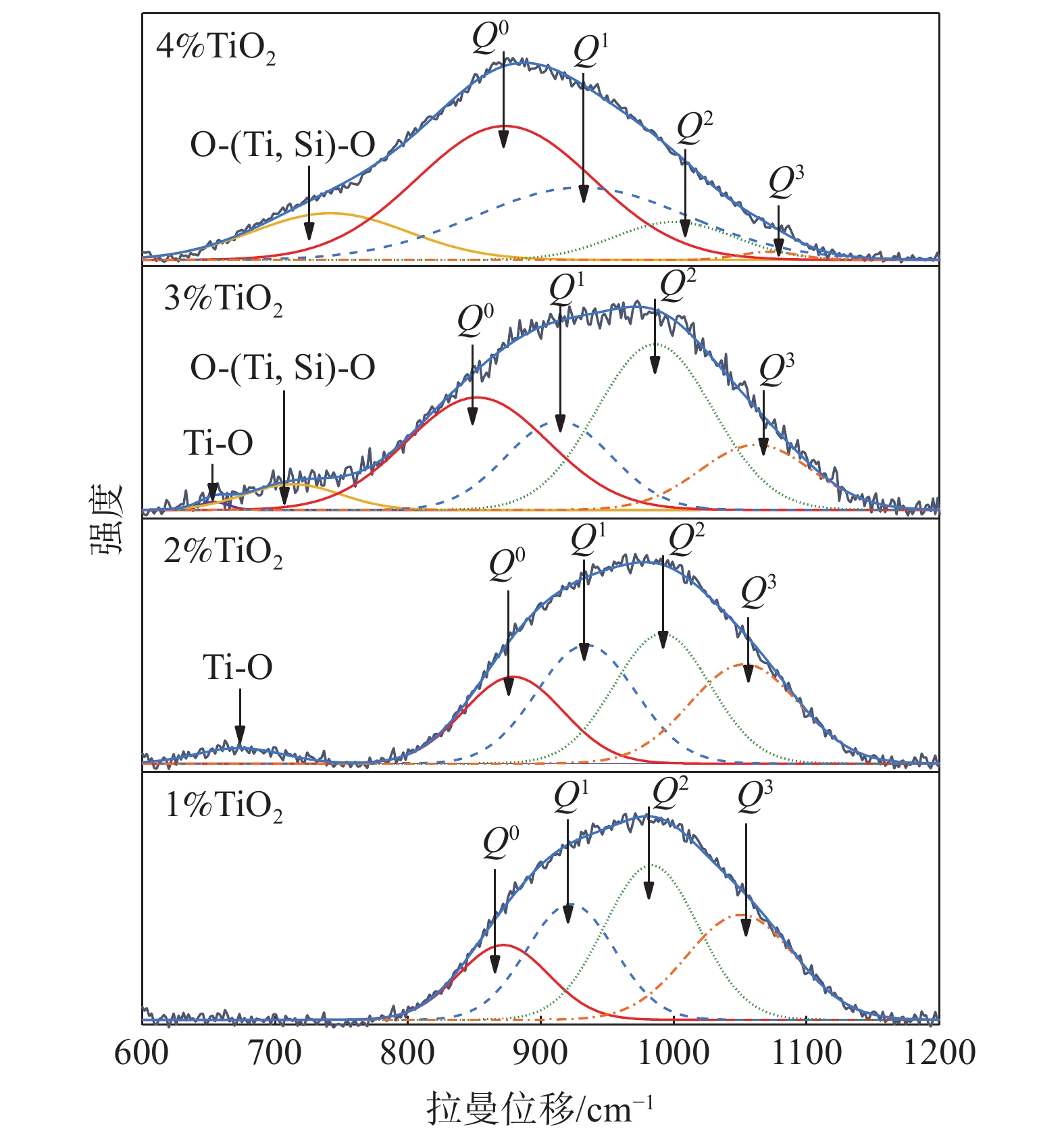
Effect of TiO2 on viscosity and structure of high-temperature slag wool melts
Lu Xi, Pang Zhuogang, Zhang Lianzeng, Xing Xiangdong, Gao Ming, Ning Shunli
2021, 42(1): 55-59. doi: 10.7513/j.issn.1004-7638.2021.01.009
Abstract(399) HTML (165) PDF(40)
Abstract:
In order to study the effect of TiO2 on the viscosity of high-temperature slag wool melts, the CaO–MgO–Al2O3–SiO2–TiO2 based slag system was used as the research object. And the viscosity variation of the slag wool melt with the acidity coefficient of 1.4 was systematically studied by using the cylinder rotation method, and the changes of slag structure were analyzed by Raman spectra. The results show that when the content of TiO2 increases from 1% to 4%, the viscosity of the melt gradually decreases, and the activation energy of viscous flow decreases from 170.45 kJ/mol to 158.62 kJ/mol. When the temperature is higher than 1 350 ℃, the viscosity of the samples is lower than 1.5 Pa·s, which means the melts have well fluidity. Meanwhile, Q0 and Q1 within the [SiO4]-tetrahedral structure gradually increase, while Q2 and Q3 gradually decrease. The average number of bridge oxygen decreases from 1.69 to 0.95, and the polymerization degree of the melt structure decreases. The increase of the Ti–O bond reduces the stability of the melt structure.
Effect of HCl and H2SO4 on SiO2 coating of rutile titanium dioxide
Liu Chan, Lu Ruifang, Yang Fang, Cheng Xiaozhe
2021, 42(1): 60-64. doi: 10.7513/j.issn.1004-7638.2021.01.010
Abstract(367) HTML (106) PDF(20)
Abstract:
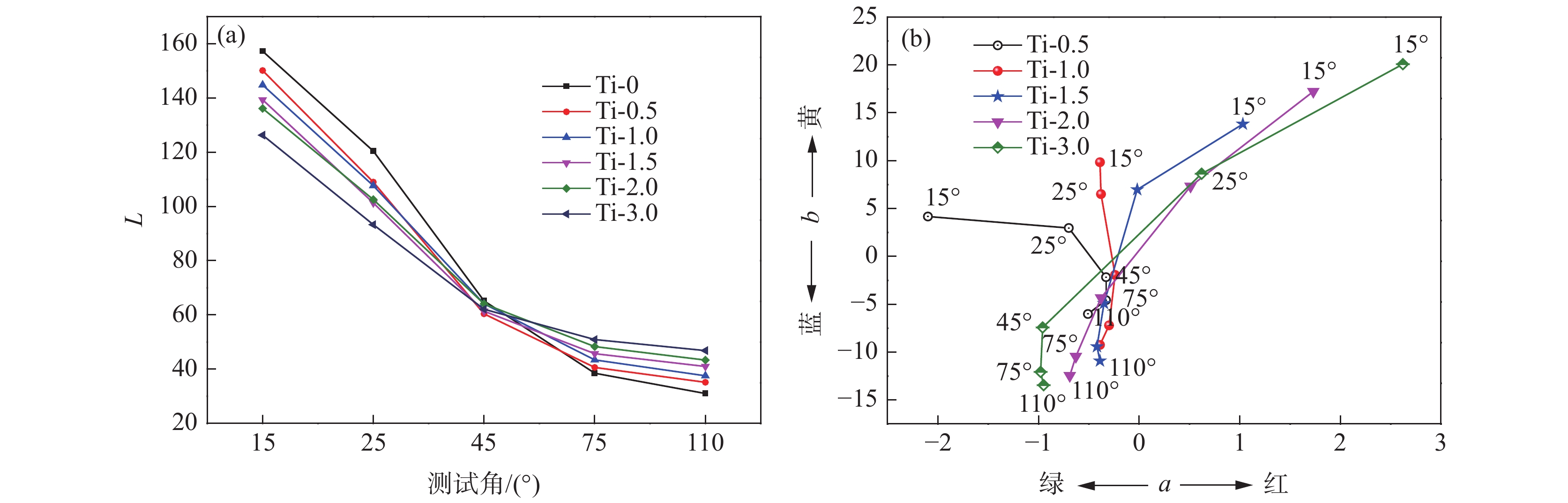
Using sodium silicate as the coating agent for rutile titanium dioxide from chlorination process, the relationship between the pigmentary properties of the coated titanium dioxide and the addition amount of hydrochloric acid used for pH adjustment during the coating process, was investigated firstly. The results show that with increase of the hydrochloric acid addition, the brightness, whiteness L value and blue whiteness of the titanium dioxide decrease, while the blue phase indexes (e.g. Scx and b value) of the titanium dioxide are improved gradually. Subsequently, the homogeneity and compactness of the silicon dioxide coating layer, pigmentary and application properties of the titanium dioxide from sulfuric acid and hydrochloric acid systems were compared and analyzed. A better homogeneity and compactness coupled with a higher glossiness of the silicon dioxide coating layer can be obtained for titanium dioxide from sulfuric acid system, while the titanium dioxide from hydrochloric acid system has a better blue phase.
Preparation and performance optimization of Co-doped high-titanium blast furnace slag as photocatalytic material
Huo Hongying, Zou Min
2021, 42(1): 65-69. doi: 10.7513/j.issn.1004-7638.2021.01.011
Abstract(536) HTML (150) PDF(33)
Abstract:
In order to realize the comprehensive utilization of high-titanium blast furnace slag without titanium extraction, cobalt doped photocatalyst was prepared via liquid phase method followed by sintering using Pangang high-titanium blast furnace slag and cobalt nitrate as raw materials. The influences of calcination temperature, Co doping amount and calcination time on the degradation rate of simulated pollutant methylene blue solution were investigated under ultraviolet light. The results show that the degradation rate of 89.0% can be obtained for the Co-doped photocatalyst roasted at 600 °C for 2 h with mass ratio of Co to Ti of 0.03, 32.4% higher than that of the photocatalyst without Co doping.
Effect of Ta on microstructure and corrosion resistance of TA23 alloy
Sang Biao, Han Wenwu, Li Le, Wang Qi
2021, 42(1): 70-74. doi: 10.7513/j.issn.1004-7638.2021.01.012
Abstract(488) HTML (126) PDF(37)
Abstract:
The effect of Ta element on the microstructure, phase compositions, microhardness and corrosion resistance of TA23 alloy was investigated by means of optical microscopy, X-ray diffraction, Vickers hardness tester and electrochemical workstation. The results show that the proportion of primary α phase increases to some extent and the proportion of secondary α phase decreases obviously in the alloy with Ta added. The X-ray diffraction indicates that there is no new phase identified in the alloy after addition of Ta. At 0.5% of Ta in the alloy, the peak intensity of (10-11) α increases significantly. The microhardness of TA23 decreases slowly as the Ta content increases, which is attributed to the increase of soft α phase in the alloy with Ta added. The potentiodynamic polarization curves suggest that after addition of Ta element, the corrosion resistance of TA23 alloy is improved. When the Ta content is 0.5%, the size of primary α phase increases, which reduces the formation of corrosion battery and improves the corrosion resistance of titanium alloy in seawater.
Resources Environment and Energy Saving
Study on adsorption of nitrogen oxide in sintering flue gas by modified activated carbon
Cai Jianyu, Peng Zhaofeng, Song Liyun, Hou Huanyu, Li Jian
2021, 42(1): 75-82. doi: 10.7513/j.issn.1004-7638.2021.01.013
Abstract(1218) HTML (320) PDF(55)
Abstract:
Potash (K2CO3) modified activated carbon was prepared with coal activated carbon as raw material. Under simulated sintering flue gas conditions, the effect of NOx adsorption under the condition with SO2, CO2 and O2 was investigated. Experimental results show that 0.65 mol/L K2CO3 modified activated carbon have the highest adsorption quantity of NOx. The NOx adsorption capacity can reach 15.17 mg/g and can be improved by more than 20 times. With the increase of adsorption temperature, the desorption quantity of NOx decreases and stabilizes at about 13.70 mg/g to 13.97 mg/g. Since stable sulfate is difficult to remove after SO2 adsorption, which decreases the regeneration effect of activated carbon. The adsorbent is suitable for moving bed adsorption treatment of sintering flue gas.
Experimental studies on reduction desulfurization of FGD gypsum from iron ore sintering process using CO/H2
Zuo Dawen, Gong Lei, Wei Jie, Deng Bo, Shao Xing, Yang Shishan
2021, 42(1): 83-92. doi: 10.7513/j.issn.1004-7638.2021.01.014
Abstract(363) HTML (153) PDF(33)
Abstract:
The thermodynamic equilibrium of CO/H2 reduction of CaSO4 was calculated through software FactSage 7.3. The optimum theoretical conditions for generation of CaO and SO2 by CO/H2 reduction of CaSO4 were obtained at more than 1100 ℃ of reaction temperature and mole ratio of n(CO)∶n(CaSO4)=1 or n(H2)∶n(CaSO4)=1. The reduction agent with a too high or too low mole ratio (n(CO)∶n(CaSO4) or n(H2)∶n(CaSO4)) is not beneficial to the reduction desulfurization of CaSO4. A higher temperature is favorable for the CO/H2 reduction desulfurization of CaSO4. According to the thermodynamic calculation results, experimental studies on reduction desulfurization of FGD gypsum from iron ore sintering process were carried out using CO/H2+N2 mixture gas in a furnace, and the influences of CO/H2 concentration, reaction temperature, reaction time and gas flow rate on the reduction desulfurization of FGD gypsum by CO/H2 were studied. The results show that the beneficial conditions for CO reduction desulfurization of FGD gypsum are CO concentration of 5%, temperature of 1050 ℃ for 30 min and gas flow rate of 5 L/min. The beneficial conditions for H2 reduction desulfurization are H2 concentration of 8%, temperature of 1050 ℃ for 30 min and gas flow rate of 5 L/min. The efficiency of reduction desulfurization by CO is better than that by H2. During the reduction process, FGD gypsum sinters above 900 ℃ and it makes a notable impact on the reduction desulfurization of the FGD gypsum.
Research and modeling on thermal conductivity of high temperature heat storage material based on vanadium tailings
Piao Rongxun, Li Xuan, Ji Ying
2021, 42(1): 93-99. doi: 10.7513/j.issn.1004-7638.2021.01.015
Abstract(444) HTML (106) PDF(22)
Abstract:
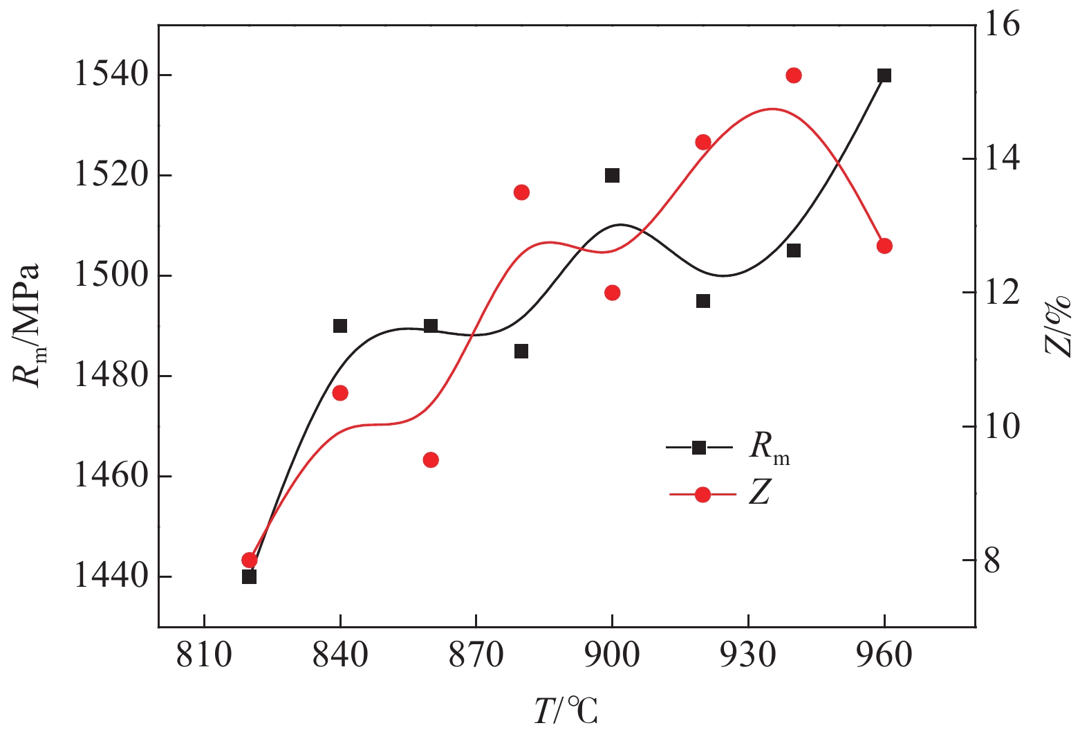
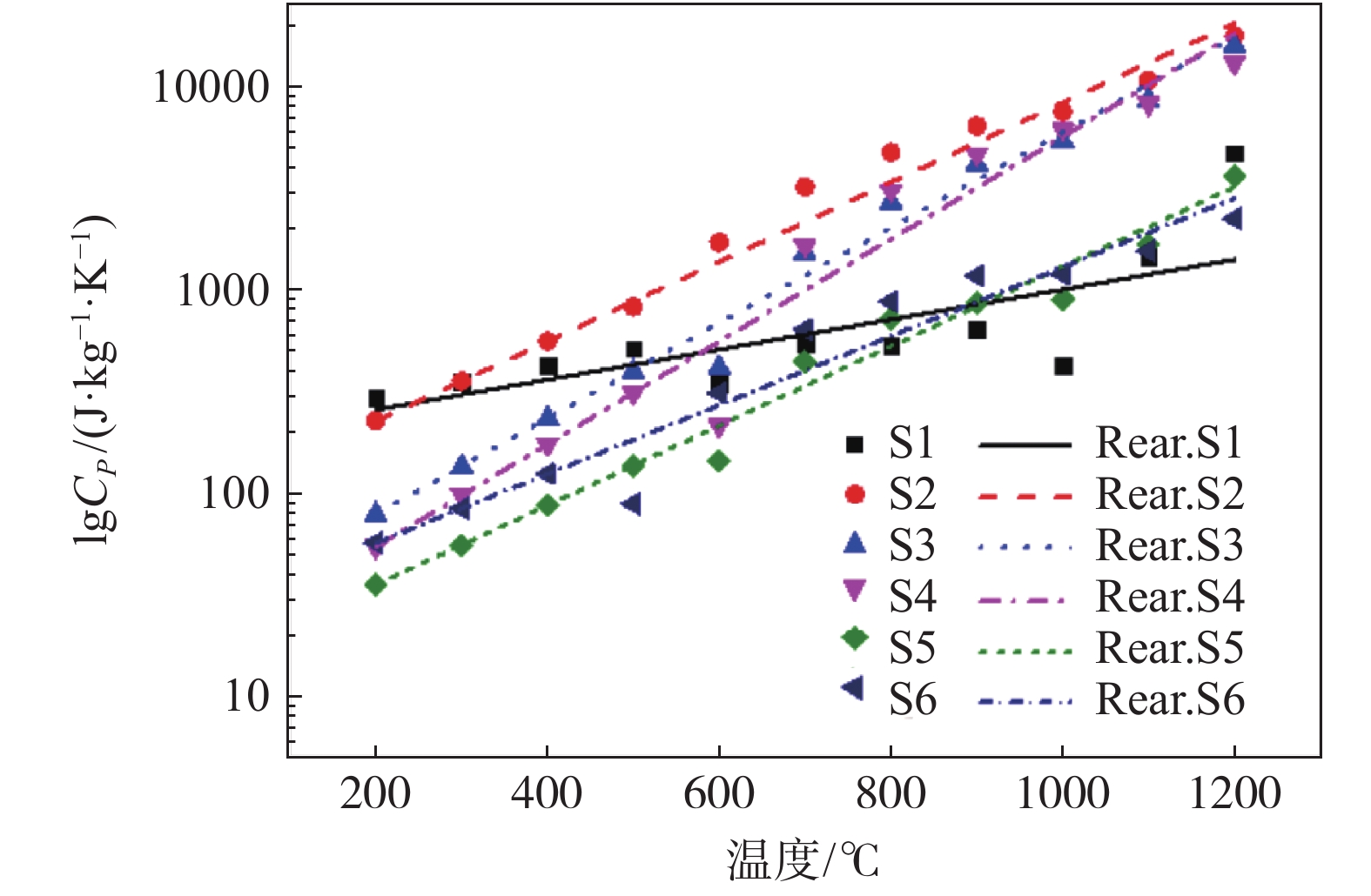
Using vanadium tailings as the base material, high silicon containing clay as auxiliary material and graphite material as modifier, the preparation of the high temperature sensible heat storage materials was carried out by means of carbon thermal reduction followed by powder metallurgy. The effects of graphite content on phase evolution, specific heat capacity and heat conduction of sensible heat storage material were studied. XRD phase analysis result shows that the main phases of the material include quartz, albite, ilmenite and carbonate. With the increase of graphite content, the ratio of quartz decreases. The specific heat capacity test results show that the specific heat capacity firstly increases and then decreases with the increase of graphite content. When the graphite content is 3%, the specific heat capacity is the highest, and the specific heat capacity at 500~700 ℃ is 820~3 180 J/(kg·K). The thermal conductivity test results show that when the graphite content is less than 5%, the thermal conductivity of the heat storage material changes slightly, basically remains at about 0.75 W/(m·K); when the graphite content is more than 5%, the thermal conductivity presents an upward trend. In order to further explore the effect of graphite on thermal conductivity of heat storage materials, the modeling calculation is carried out, and by replacing the volume fraction term of dispersion with the nonlinear correction term, the modified Maxwell model could well predict the experimental data.
Preparation of permeable brick for sponge city from vanadium titanium blast furnace slag and lead slag
Liu Haijun
2021, 42(1): 100-105, 183. doi: 10.7513/j.issn.1004-7638.2021.01.016
Abstract(419) HTML (111) PDF(35)
Abstract:
Permeable brick with high flexural strength and high porosity were prepared by pressure forming-pressureless sintering respectively using vanadium and titanium blast furnace slag and lead slag as raw materials and sawdust as pore-forming agent. The effects of formula compositions, sawdust addition and sintering temperature on the physical properties of the samples were studied. The structure, permeability and environmental safety of the samples were analyzed. The results show that the porosity of samples could be increased by properly decreasing the amount of blast furnace slag as well as the sintering temperature, and it can be increased by increasing the sawdust addition. When the addition of lead slag, blast furnace slag and sawdust (additional) are 50%, 50% and 20% respectively, the porosity, flexural strength and permeability coefficient of the permeable brick roasted at 1 100 ℃ are respectively 45.27%, 32.94 MPa and 1.58~2.02 cm/s. XRD and SEM analyses show that hematite, quartz and calcareous feldspar intertwine with glass phase, and the pore distribution is uniform in three-dimensional connection, which endow the permeable brick high porosity, good acid and alkali resistance. In addition, the activity of heavy metal ions is bound by glass phase, endowing the permeable brick good environmental safety. This study provides a theoretical basis for the preparation of permeable brick using vanadium titanium blast furnace and lead slag.
Ferrous Metallurgy and Materials
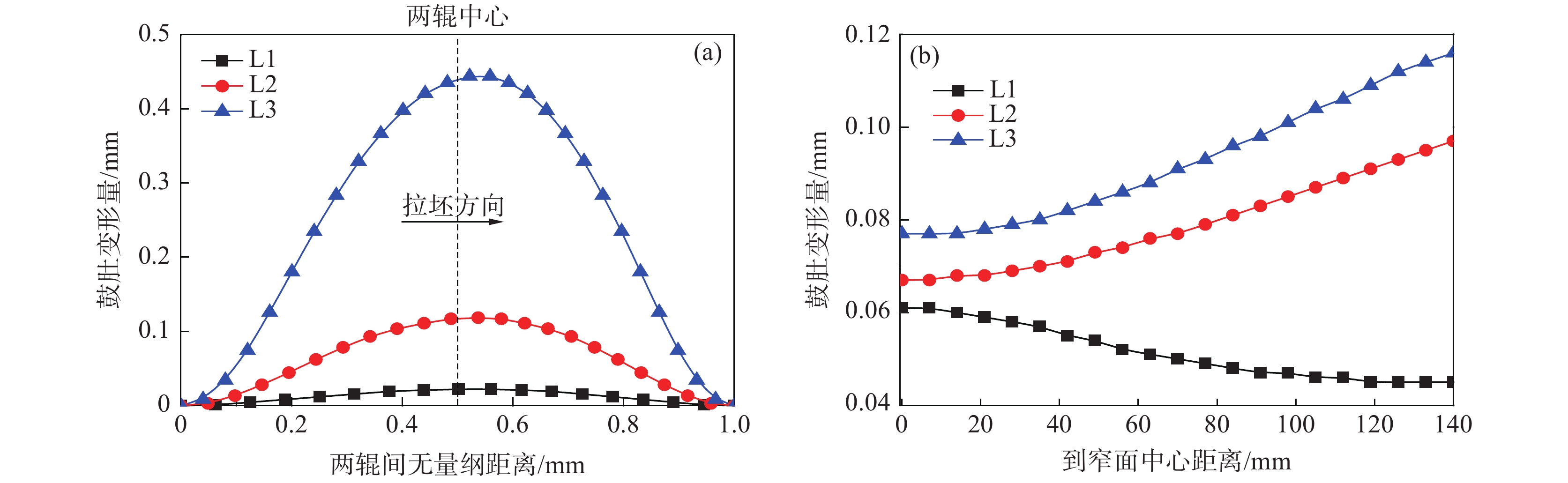
Investigation on the bulging deformation of continuously cast wide-thick slab with numerical calculation method
Ma Xiaotao, Wu Chenhui, Xie Xin, Wu Guorong, Zhang Min, Zeng Jianhua, Ji Chen
2021, 42(1): 106-112. doi: 10.7513/j.issn.1004-7638.2021.01.017
Abstract(478) HTML (245) PDF(55)
Abstract:
In continuous casting process, bulging deformation of the solidified shell occurs due to the ferrostatic pressure, which influences the smooth production and the internal quality of the continuously cast steel. In the present work, the continuously casting wide-thick slab was taken as the research object, and its bulging deformation at three typical strand positions L1(bending region), L2(middle of the bow region) and L3(straightening region) was quantitatively investigated with numerical calculation method. Bulging deformation of the solidified shell and the tensile strain distribution on the solidification front continuously increase from L1 to L3. The tensile strain along the slab thickness direction(εxx), along the casting direction(εyy) and along the slab width direction(εzz) present a characteristic of concentrated distribution and increase the risk of inducing triple-point cracks, midway cracks and internal corner cracks, respectively. With the casting speed increased from 0.7 m/min to 0.9 m/min, bulging deformation of the wide surface of the solidified shell and εxx, εzz firstly increase and then decrease, but the bulging deformation of the narrow surface of the solidified shell and εyy continuously increase.
Effect of externally added TiO2 particles on microstructure and inclusions of medium and low carbon steel
Wu Xiaoyan, Li Qiuping, Mo Wenling, Zhang Qingjun, Zhu Liguang
2021, 42(1): 113-118. doi: 10.7513/j.issn.1004-7638.2021.01.018
Abstract(463) HTML (100) PDF(15)
Abstract:
TiO2 particles was added into the medium and low carbon liquid steel remelted by aHLLG1217 type high temperature resistance furnace. The microstructure, inclusion morphology and composition analysis had been investigated by an automatic metallurgical microscope, field emission S-4800 scanning electron microscope and other equipment. The results show that after adding TiO2 particles, the microstructure changes from a large amount of massive ferrite and pearlite to a large amount of acicular ferrite, a small amount of massive ferrite and pearlite. Besides, more spherical inclusions appears and amount of elongated and irregular inclusions decreases. The average size of inclusions changes from 0.29 μm to 3.06 μm, and the proportion of inclusion with around 1 μm size increases to 28.69%. Main components of composite inclusions before and after addition are O-Al-Si-Ti-Mn, and the content of Ti element increases from 3.36% to 6.53%, which fully indicates that the TiO2 particles re-polymerizewith the original inclusions to form composite inclusions after adding, and induce acicular ferrite nucleation and precipitation.
Effect of Ca-Mg compound modifier on microstructure and plasicity in cold-rolled high strength steel
Li Yuanyuan, Zhen Weijing, Li Yongliang, Yan Zhijie
2021, 42(1): 119-125. doi: 10.7513/j.issn.1004-7638.2021.01.019
Abstract(383) HTML (122) PDF(14)
Abstract:
The influence mechanism of Ca-Mg compound modifier on TiN precipitation in ingot of producing ultra-high cold-rolled strength steel were studied by means of optical microscope (OM), transmission electron microscope (TEM) and electron backscatter diffraction (EBSD), etc. Andmicrostructure hereditary effect and plastic improvement at various process steps were compared systematically. The result showed that the size of TiN reduced with the addition of modifier, whereas its density increased with a relatively uniform distribution. Addition of modifier decreased the volume fraction of ferrite along grain boundary for both ingot and hot rolled strip, and resulted in fine microstructure in the as-cold rolled sheet. Comparing modifier-free sample, the yield strength, yield ratio dramatically increased and the bending properties and hole expanding ratio improved for the modifier-bearing sheet. The nucleation mechanism of TiN was changed by the addition of Ca-Mg compound modifier. The dispersed TiN particles could effectively refine the casting microstructure, and the microstructure for hot-rolled or cold-rolled were all refined effectively by hereditary effect which could significantly improve the mechanical properties and formability of steel.
Effects of EMS on the dendritic structure and homogeneity of rail steel
Li Hongguang, Chen Tianming, Chen Liang, Li Jianquan, Zhong Hua
2021, 42(1): 126-130. doi: 10.7513/j.issn.1004-7638.2021.01.020
Abstract(788) HTML (305) PDF(47)
Abstract:
In order to optimize the homogeneity and compactness of rail steel, the effects of continuous casting electromagnetic stirring on the dendritic structure and homogeneity of rail steel was analyzed by industrial experiments. The results show that blooms produced without electromagnetic stirring have no obvious dendritic structure partition, the dendritic structure tends to be more compact and the homogeneity is better for the area in which from narrow surface to 80 mm below, while central segregation tends to be worse. The F-EMS is more suitable both for optimizing homogeneity and compactness than M-EMS. Central segregation control of experiment blooms could be make up, Central segregation of rails rolled from the experiment blooms is well, and the same as rail head, range value of segregation degree for Mn is 0.098, value of compactness degree is 0.9764.
Development of X80M hot-rolled steel plate for LSAW pipe
Zhai Dongyu, Du Haijun, Wu Junping, Jiang Jinxing, Liu Shuai
2021, 42(1): 131-138. doi: 10.7513/j.issn.1004-7638.2021.01.021
Abstract(382) HTML (285) PDF(25)
Abstract:
In order to meet the requirements for annual transportation of 45 billion cubic meters of the China-Russian Eastern Line and the demand for construction of major national pipelines in extremely cold regions at −40 ℃, NISCO has tested and developed Φ1422 mm×32.1 mm straight seam submerged arc welded pipeline steel plates which have high strength and toughness. The high cleanliness casting slabs with narrow composition fluctuation range and low organization rating C0.5 were obtained by metallurgical thermodynamic temperature control and protective casting methods. The industrial test verified the TMCP rolling process. The microstructure is composed of small amount of eutectoid ferrite+acicular ferrite+bainite+M/A island soft/hard phase, which meets the high strength and toughness requirements of X80M steel plate. The strength and toughness performance indicators meet the requirements of pipeline technical specifications and meet mass industrial production of steel for low-temperature and large-volume pipelines.
Effect of vanadium content on microstructure and properties of W6Mo5Cr4Vx high speed steel for bit
Wang Zhenguang
2021, 42(1): 139-143. doi: 10.7513/j.issn.1004-7638.2021.01.022
Abstract(395) HTML (219) PDF(29)
Abstract:
In this paper, different content of vanadium was added to W6Mo5Cr4Vx high speed steel for bit, and the microstructure, wear resistance and corrosion resistance were tested and analyzed. The results show that the addition of vanadium can improve the wear resistance and corrosion resistance of high speed steel. With the increase of vanadium content from 0 to 5%, the wear resistance and corrosion resistance of steel increase firstly and then decrease. The optimized vanadium content in experimental steel is 3%. Compared the steel without vanadium addition, the wear volume of W6Mo5Cr4Vx (x=3) high speed steel decreases by 5.2×10−3 mm3, and the corrosion potential shifts positively by 57 mV.
Study on inclusions and microstructure of 55SiCrA spring steel wire rod
Wang Ning, Peng Hongbing, Tang Yao, Xie Zhen, Chen Kai
2021, 42(1): 144-149. doi: 10.7513/j.issn.1004-7638.2021.01.023
Abstract(462) HTML (194) PDF(29)
Abstract:
Inclusions and microstructure of 55SiCrA spring steel wire rod were studied by means of OM, SEM-EDS and Factsage software. The results show that the microstructure, central segregation, thickness of decarburized layer and grain size of spring steel wire rod in the three plants at home and abroad are almost the same. Moreover, the level 1 D-type inclusions and the level 1.5 Ds-type inclusions are found in domestic steel Y (DSY), however, no Ds-type inclusions are found in foreign steel H (FSH) and domestic steel B (DSB). The number of inclusions in spring steel of FSH is the least and their size is the smallest, the maximum size is only 3.4 μm, and the deformable ratio is nearly 100%; however, the inclusions in spring steel wire rod of DSY and DSB are large in number and size, and are not deformable. The average contents of Al2O3 and MgO are higher in inclusions of DSY, and pure Al2O3 inclusions are found in the wire rod of DSB. In addition, for domestic steel mills it is necessary to further control the composition of molten steel and refined slag, improve the quality of refractory materials and select refractory materials reasonably to enhance the modification and removal of inclusions.
Effect of Nb on hot rolled microstructure and texture of low temperature oriented silicon steel
Hao Baichuan, Feng Yunli
2021, 42(1): 150-154. doi: 10.7513/j.issn.1004-7638.2021.01.024
Abstract(390) HTML (110) PDF(32)
Abstract:
The effect of niobium on the microstructure and texture of low temperature oriented silicon steel was studied by OM and EBSD. The results show that the grain size of Nb-bearing hot rolled sheet is finer than that of Nb free oriented silicon steel, and the microstructure gradient along the thickness direction is more obvious. The addition of Nb optimizes the texture of hot rolled silicon steel. The rotated cubic texture orientation density of the oriented silicon steel hot-rolled sheet is small, while the Goss texture and γ-oriented linear density are high. And the texture density of the Goss texture {110}<001> is as high as 12.19.
Effect of titanium on microstructure and properties of steel 22MnB5 for automobile
Wang Gong, Ji Guoshun
2021, 42(1): 155-159. doi: 10.7513/j.issn.1004-7638.2021.01.025
Abstract(691) HTML (222) PDF(21)
Abstract:
The titanium microalloyed automobile steel samples were prepared by adding different content of titanium into 22MnB5 steel, and then the microstructure, mechanical properties and corrosion resistance of the samples were tested and analyzed. The results show that the addition of titanium is beneficial to refine the internal grain of the samples and improve the mechanical properties and corrosion resistance of the samples. With the increase of titanium content from 0 to 0.08%, the tensile strength and yield strength of the samples firstly increase and then decrease, the elongation after fracture firstly increases and then decreases and increases again. The corrosion potential firstly shifts forward and then negatively, and the mechanical properties and corrosion resistance of the automobile steel firstly increase and then decrease. The titanium content of the sample is preferably at 0.06%. When 0.06%Ti is added, the tensile strength of resulted steel increases by 24 MPa, the yield strength increases by 27 MPa, and the corrosion potential shifts positively by 95 mV.
Effect of ferrite thermal insulation on microstructure and mechanical properties of vanadium microalloyed HRB500 steel rebar
Lv Yuan, Qi Haiquan, Sui Wenjie, Shi Daimin, Xie Guoqing
2021, 42(1): 160-163. doi: 10.7513/j.issn.1004-7638.2021.01.026
Abstract(391) HTML (107) PDF(10)
Abstract:
The thermal simulation compression experiment of austenite deformation and ferrite area insulation was carried out on HRB500 steel rebar by a Gleeble3500 simulator, and the effect of ferrite area insulation technology on microstructure and properties of HRB500 steel rebar was studied. The results show that after the sample was reheated at 980 ℃ × 15 min and then deformed by 80% reduction, as the temperature of the ferrite zone decreases, the pearlite structure gradually breaks down and a small amount of needle-like structure appears in the ferrite, but the hardness changing does not show a clear tendency. During the isothermal holding process, the highest hardness (HV) 300 was obtained after 700 ℃ × 15 min proccess, which was 30 higher than that of the directly cooled sample. This could be attributed to the precipitation strengthening of vanadium carbide, which would decrease when the holding time elongated. The coarsening of the grains counteracts the second phase strengthening effect of vanadium carbide. It can be inferred from the test data that the HRB500 steel rebar produced by conventional hot rolling does not fully take advantage of the second phase strengthening of VC. Insulation at 700 ℃ × 10 ~ 15 min on the workbench after rolling is expected to achieve a strength increment of more than 10 MPa.
Effects of heat treatment process on microstructure and iron loss of 0.25% Si non-oriented silicon steel sheets containing niobium
Zhang Wenyue, Zhang Feng
2021, 42(1): 164-169. doi: 10.7513/j.issn.1004-7638.2021.01.027
Abstract(371) HTML (152) PDF(19)
Abstract:
The microstructure and mechanical properties can be greatly improved by adding proper niobium concentration in liquid steel, but the magnetic properties will sharply decrease as the increase of niobium concentration in non-oriented silicon steel sheets. So far, the formation state and effect mechanism of niobium element as well as its influence on the change of magnetic properties under different hot treatment technology are yet to clarify. In present work, the formation type of the Nb- containing inclusion and its negative effect was discussed based on 0.25% Si non-oriented silicon steel sheets containing niobium. It is expected that the proper heat treatment techniques can be used to decrease the harmful effect of the magnetic properties by niobium element. The results showed that, there is multiple harmful inclusions with hundreds of nanoscale in size, that can pin grain boundary and decrease grain boundary diffusion rate, and retard the started temperature and the finished temperature of recrystallization of the cold rolled steel sheets. Thus, the grain size will be refined and the iron loss will be poor. As the increase of niobium concentration, the eddy loss will be stable and the hysteresis loss will be increase, respectively. The suitable heat treatment techniques can improve the grain size after stress release annealing, and decrease the deviation of hysteresis loss for the different niobium concentrations as possible.
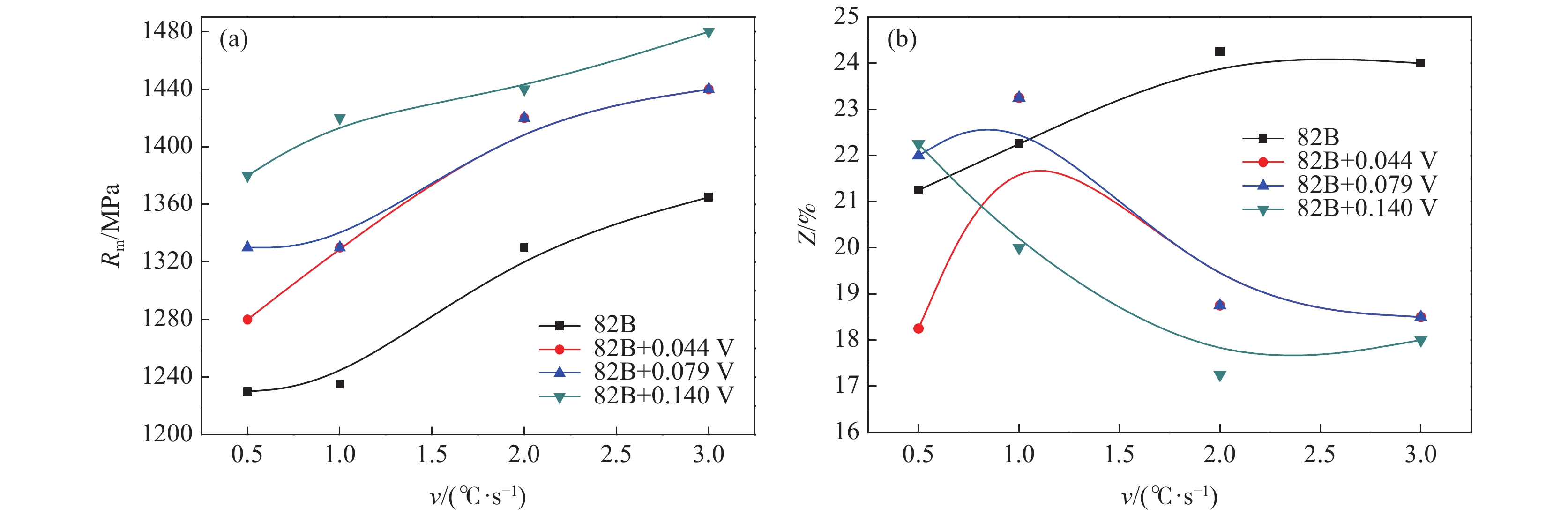
Effect of deformation temperature and cooling rate on microstructure and properties of microalloyed 82B wire rod
Li Zhengjie, Li Zhipan
2021, 42(1): 170-175. doi: 10.7513/j.issn.1004-7638.2021.01.028
Abstract(431) HTML (151) PDF(27)
Abstract:
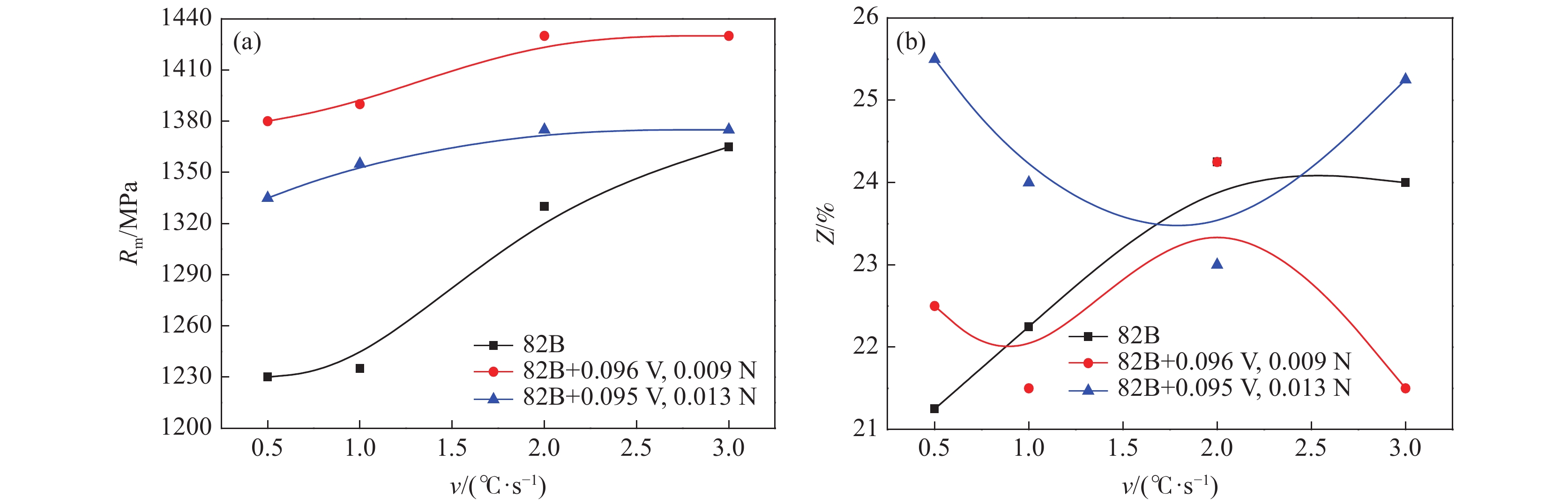
The deformation temperature and cooling rate of microalloyed 82B wire rod were studied by means of thermal simulator, metallographic microscope and universal testing machine in this paper. Experiment results show that the rapid cooling rate can promote the precipitation of the second phase containing vanadium in the vanadium alloyed sample, improving the strength of the material and reducing its plasticity, thus the vanadium should be well controlled for this alloying design. V-N alloying was suitable for 82B wire rod, but the ratio of V to N and the interaction with cooling rate could significantly affect the strength and toughness of the material, so it was necessary to control the ratio of V to N in the steel. Cr-V composite microalloying could significantly improve the strength and toughness of 82B wire rod, whichwas not strongly affected by the cooling rate, so it was an ideal microalloying method. The microstructure of 82B wire rod was uniform without element center segregation, and the suitable finishing temperature range was 900 ~ 940 ℃ for experimental steels.
Analysis on split-head cracking of Y1Cr13 stainless rolled bar
Wu Liangping, Sun Han, Xie Jianbo, Wu Xiangyu, Fu Jianxun
2021, 42(1): 176-183. doi: 10.7513/j.issn.1004-7638.2021.01.029
Abstract(704) HTML (234) PDF(210)
Abstract:
In order to find out the causes of split-head cracking of Y1Cr13 stainless steel in the rolling process, the splitting samples of steel were analyzed and characterized from the view of inclusions microstructure with a metallographic microscope, a scanning electron microscope and the method of electrolytic etching. Also, the causes of split-head crackingof Y1Cr13 stainless steel during the rolling process were explored. The results show that there exist a lot of long strip sulfides in rolled steel, and the ratio of length/width of sulfides is large. The proportion of the inclusions with length/width ratio below 3 is 65.4%. The proportion of the inclusions with length/width ratio above 3 is 34.6%. The standard ratings of sulfides are 4.5 for coarse series, 5.5 for fine series, and 3-3 for German standard. A large number of long strip hot shortness manganese sulfides and ferromanganese sulfides are the main causes of split-head cracking of Y1Cr13 rolled bar. Such as magnesium and tellurium can be used to modify the form of sulfide into a spherical or spindle shape, and increase the hardness of the sulfide, making it difficult to deform during rolling. The (Mn, Fe) sulfide in steel can be reduced by properly reducing [S] content and increasing Mn/S in steel.
Research on cracking mechanism of girth and weld straightening of grade 800 MPa automobile torsion beam steel
Li Yongliang, Kuang Shuang, Jia Lihui, Wang Yunhui, Chen Tong, Ju Weifeng, Zhang Yuwen, Zheng Yaxu
2021, 42(1): 184-190. doi: 10.7513/j.issn.1004-7638.2021.01.030
Abstract(363) HTML (163) PDF(21)
Abstract:
The cracking mechanism of grade 800 MPa steel for automobile torsion beam during girth and weld straightening were studied by OM, SEM, TEM and EBSD. Thermos-Calc thermodynamic software and J Mat Pro software were used to calculate equilibrium precipitated phase in steel and TTT curves. The microstructure and nano precipitates of experimental steels with different compositions were observed. The results show that the main reasons for cracking of experimental steel during girth and weld straightening are as follows: the addition of Cr, Mo and V elements in the 3# steel makes the TTT curve of the steel shift to the right, improving the stability of austenite and generating a large number of lath martensite and lath ferrite with high density dislocation during cooling after rolling. However, the amount of equiaxed ferrite is less and the grain size is uneven, so the tensile strength is higher. High density dislocation in lath martensite and lath ferrite results in the decrease of plasticity and toughness, and then causing crack in girth and weld during straightening.