2023 Vol. 44, No. 1

Separating and Extracting of Vanadium and Titanium
Development and analysis on 2022 titanium dioxide industry in China
Bi Sheng
2023, 44(1): 1-3. doi: 10.7513/j.issn.1004-7638.2023.01.001
Abstract(1651) HTML (1058) PDF(728)
Abstract:
This paper summarizes and sorts the operational data of titanium dioxide industry in China in 2022, such as production capacity, yield, apparent market demand, production capacity distribution, etc., and focuses on analyzing the recent growth trend of titanium dioxide production capacity and the corresponding changes in the supply and demand relationship of titanium ore raw materials. It is pointed out that the yield and production capacity of titanium dioxide in 2022 will continue to maintain an increasing trend, and the concentration of production capacity will be further improved. At the same time, the further expansion of the scale of existing producers and the increase of joining projects outside the industry will lead to the shortage of titanium ore supply. In addition, with the rise of the green new energy battery material industry, a large number of iron phosphate or lithium iron phosphate project construction or preparation, will lead to the surge of titanium dioxide production capacity, aggravate the contradiction between titanium ore supply and demand; then the market prospects and industry outlook is worrying, all parties should pay close attention to and timely adjust.
Effect of structural evolution of metatitanic acid on sulfur content during hydrolysis of industrial TiOSO4 solution
Tian Congxue, Wang Qinghong, Lian Zongxin, Liu Ji, Li Mei
2023, 44(1): 4-9. doi: 10.7513/j.issn.1004-7638.2023.01.002
Abstract(600) HTML (234) PDF(48)
Abstract:
The effect of structural evolution of metatitanic acid on sulfur content was investigated by hydrolyzing the industrial TiOSO4 solution via thermal hydrolysis method with extra-adding seed. The hydrolysis process was divided into fast hydrolysis stage and slow maturation stage, the change of hydrolysis degree conformed to Boltzmann model. The structure of metatitanic acid changed obviously as the hydrolysis proceeded, its structure became more compact due to the aggregation and adjustment of the precipitated particles, with weaker colloidal property and higher TiO2 content. The microporous and mesoporous structures of metatitanic acid were formed by the aggregation and accumulation of its primary aggregates, and the pores were filled with sulfate and water. Sulfate radical existed in metatitanic acid was mainly in the form of dissolution in adsorbed water, adsorption, bonding, etc. The sulfur content decreased gradually with the increase of TiO2 content, showing a linear relationship.
Study on the effect of calcined seed crystal addition on the quality of TiO2
Wu Jianchun, Lu Ruifang, Sun Qiang, Shi Ruicheng, Liu Chan
2023, 44(1): 10-14. doi: 10.7513/j.issn.1004-7638.2023.01.003
Abstract(586) HTML (221) PDF(50)
Abstract:
Using hydrolyzed metatitanic acid and calcined seed crystals as raw materials, different proportions of calcined seed crystals were added to metatitanic acid, and the calcination temperature was adjusted to prepare the TiO2 product with a rutile content of 98% to 99%. The influence of the amount of calcined seed crystals on the calcining temperature was investigated. Then the crystal structure, morphology, particle size distribution and pigment properties of the TiO2 were analyzed by XRD, SEM and other means. The results show that as the content of calcined seed crystals increases, the calcination temperature required for qualified rutile shows a downward trend. When the amount of calcined seed crystals increases from 4% to 6%, the required calcination temperature has little effect. As the amount of seed crystals increases, the average particle size of the TiO2 product shows a downward trend, and the dispersion coefficient shows a trend of first decreasing and then increasing. When the amount of seed crystals increases to 6%, the dispersion coefficient is the smallest. With the increase in the amount of calcined seed crystals, the SCX value of the aluminum-based and zinc-based salt treated samples showed an increasing trend with the increase in the amount of seed crystals, and the TCS value showed a trend of first increasing and then decreasing. When the amount of calcined seed crystals is about 5%, the TCS value of the sample reaches the best value.
Reduction kinetics of iron oxide in metatitanic acid by organic reductant
Mao Xuehua, Wang Jun
2023, 44(1): 15-19. doi: 10.7513/j.issn.1004-7638.2023.01.004
Abstract(401) HTML (133) PDF(27)
Abstract:
The reduction kinetics of iron oxide in metatitanic acid by organic reductant was investigated in the paper to explore the process mechanism and guide the actual production. The results show that the step reaction order is one for the organic reductant and two for iron oxide. Under the condition of excessive reductant, the reduction rate of iron oxide is affected by reaction temperature, stirring strength and acidity of metatitanic acid. The reduction rate increases with increasing temperature, and the apparent activation energy in the reaction is 51.73 kJ/mol. The reduction rate first increases and then changes slowly with increasing stirring strength, which shows that the reduction rate is not controlled by diffusion step under higher stirring strength. The reduction rate first increases and then decreases with increasing acidity of metatitanic acid, which was relevant to the dissolution of iron oxide and the resolution of organic reductant. Therefore, it can be inferred that the reduction rate of iron oxide in metatinic acid by organic reductant is controlled by reduction reaction step under the conditions of excessive organic reductant dosage and certain stirring intensity.
Experimental study on multistage continuous countercurrent decantation for vanadium containing leaching ore pulp
Fang Chen
2023, 44(1): 20-25. doi: 10.7513/j.issn.1004-7638.2023.01.005
Abstract(509) HTML (168) PDF(35)
Abstract:
After acid leaching of vanadium-bearing steel slag, the slurry is flocculated and concentrated to produce high-concentration leached slag. For subsequent recovery of vanadium ions, the multistage continuous countercurrent decantation is used to wash the leached residue. Through the flocculation sedimentation experiment, it is determined that the suitable flocculant for this pulp is APAM-625V, the dosage is 40 g/t, the optimal initial feed concentration is 10%, and the pulp underflow concentration after washing at each levels is 62%. Based on the principle of material balance of each washing stage in the washing process, the “first-order multivariate simultaneous equations” of the solution components of the vanadium slag leaching pulp in the washing process were calculated. The results of theoretical calculation show that the washing efficiency of vanadium ion is 97% under the condition of washing liquid-solid ratio of 1 and washing order of 5. The vanadium ion washing efficiency is 96.4% in the continuous countercurrent decantation experimentation research, which is basically consistent with the theoretical calculation results.
Effect of potassium hydroxide on preparation of rutile TiO2
Ma Weiping, Sun Ke, Wang Haibo
2023, 44(1): 26-31. doi: 10.7513/j.issn.1004-7638.2023.01.006
Abstract(373) HTML (298) PDF(34)
Abstract:
A certain amount of potassium hydroxide was added to the hydrated titanium dioxide to study the mechanism of potassium in the system during the transition from hydrated titanium dioxide to rutile titanium dioxide, and the effect of potassium on the particle size and viscosity of hydrated titanium dioxide slurry, the aspect ratio and particle size distribution of rutile titanium dioxide. The samples were characterized by Raman spectrometer, Malvin particle size analyzer, XRD and SEM. Results showed that potassium hydroxide reacted with residual sulfuric acid in hydrated titanium dioxide system to produce potassium sulfate, which played a role in the transition from hydrated titanium dioxide to rutile titanium dioxide. The OH in potassium hydroxide will seize the H+ in hydrated titanium dioxide, causing the change of potential, resulting in the viscosity first increasing and then decreasing. The hydrated TiO2 was transformed into anatase TiO2 after calcination, and then into rutile TiO2, a large amount of K+ adsorbed on the (101) facets of anatase TiO2 hindered the migration of Ti–O crystal ions through the surface, thus affecting the aspect ratio and particle size distribution of rutile TiO2 particles.
Application of Vanadium and Titanium
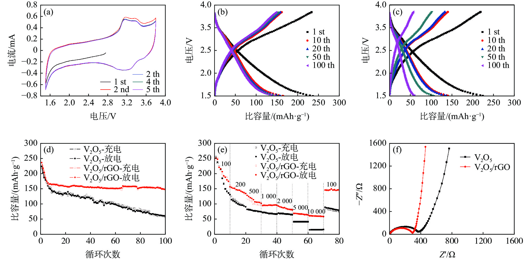
Synthesis and sodium storage properties of V2O5/graphene nanocomposites
Zheng Hao, Peng Yi, Wang Shiwei, Meng Weiwei, Du Guangchao
2023, 44(1): 32-37. doi: 10.7513/j.issn.1004-7638.2023.01.007
Abstract(679) HTML (242) PDF(60)
Abstract:
Vanadium pentoxide (V2O5) has attracted extensive attention due to its layered structure, abundant resources, high capacity, low cost, high Na+ ionic conductivity, small volume change during Na-ion insertion/extraction, and mesopotential platform. V2O5/graphene nanocomposites were successfully prepared by hydrothermal method, using oxalic acid and V2O5 as raw materials. The results show that the V2O5 nanowires and graphene are closely intertwined with each other, forming a V2O5-graphene nanocomposite with a tightly network structure. The structure can provide fast electron transfer kinetics, expand the effective contact area between the electrolyte and the electrode material, improve the conductivity of the material and buffer volume changes during Na-ion insertion/extraction. Thus, the electrochemistry properties of V2O5/rGO nanocomposites are effectively improved (Over 100 cycles, 154 mAh/g at 100 mA/g).
Research on hot deformation behaviors of short-time high temperature titanium alloy
Wang Zhenling, Yu Yucheng, Han Jiaping, Peng Hao
2023, 44(1): 38-43. doi: 10.7513/j.issn.1004-7638.2023.01.008
Abstract(794) HTML (234) PDF(160)
Abstract:
The thermal simulation test was carried out and high temperature deformation behavior of the as-cast Ti-6Al-4Sn-8Zr-0.8Mo-1.5Nb-1W-0.25Si short-time high temperature titanium alloy was studied. The experimental results show that the deformation of Ti-6Al-4Sn-8Zr-0.8Mo-1.5Nb-1W-0.25Si alloy is sensitive to the deformation temperature and deformation rate, and the true stress decreases significantly with the decrease of strain rate and the increase of deformation temperature. The hot working diagram was plotted using the high temperature compression stress-strain data. The analysis results demonstrate that 900-960 ℃, 0.035-0.368 s−1 and 960-1 010 ℃, 0.165-0.577 s−1 in the (α+β) phase region as well as 1010-1020 ℃, 0.165-1 s−1 of β phase region are the most suitable regions for hot processing. The thermal deformation activation energy of (α+β) two-phase region is calculated to be 316.229 kJ/mol, and the constitutive equation of the region is established as well.
Effect of duplex aging on microstructure and mechanical properties of cold-rolled nearly β titanium sheets with high strength
Kang Xudong, Chen Keru, Wang Zhen, Du Zhaoxin, Guo Wenxia
2023, 44(1): 44-48. doi: 10.7513/j.issn.1004-7638.2023.01.009
Abstract(462) HTML (147) PDF(37)
Abstract:
Ti-3.5Al-5Mo-6V-3Cr-2Sn-0.5Fe titanium alloy was subjected to duplex aging heat treatment, and the effect of double-stage aging on the microstructure and properties of high-strength β-titanium alloy was comparatively studied. The aging temperature was 650 ℃+450 ℃. The research results show that the mechanical properties of the alloy are significantly improved by the duplex aging treatment. When pre-aging is at 650 ℃, the matrix first precipitates α phase with a larger size, and the subsequent low temperature re-aging continues to precipitate secondary α phase with a smaller size. Under the combined action of two sizes of α phase, the alloy with the duplex aging obtains excellent mechanical properties with a strength of 1504 MPa and an elongation of about 10.3%.
Synthesis and properties of the diatomite/BiVO4 composite photocatalysts
Liu Jingjing, Yan Yue’e
2023, 44(1): 49-55. doi: 10.7513/j.issn.1004-7638.2023.01.010
Abstract(485) HTML (131) PDF(26)
Abstract:
The diatomite/BiVO4 composite materials with different diatomite content (5%~80%) were prepared by liquid precipitation method. The samples were characterized by XRD and UV-Vis. The results show that the composite consists of monoclinic BiVO4, tetragonal BiVO4 and SiO2. BiVO4 can be transformed into monoclinic phase by increasing the calcination temperature, and at a higher calcination temperature, the increase of diatomite content is conducive to the further transformation of BiVO4 into monoclinic phase. Compared with BiVO4, the photodegradation efficiencies of the composites with the diatomite contents of 5%~30% are improved in different degrees, and the optimum content of the diatomite is 10%. Under the conditions of calcination temperature of 450 ℃, photocatalytic time of 2 h, rhodamine B concentration of 10 mg/L, the removal and photodegradation efficiencies of the sample for rhodamine B can reach 100% and 60.41%, respectively. Holes are the main active species for the photodegradation of rhodamine B. The enhanced photocatalytic performance of the composite materials can be attributed to the good adsorption of the diatomite, the good dispersion of BiVO4 and the formation of monoclinic BiVO4/tetragonal BiVO4/SiO2 miscible p-n heterojunctions, which improve the adsorption for rhodamine B, increase the surface active site and specific surface area, and accelerate the separation and transmission of photoinduced carriers, with promising application for the treatment of organic pollutant wastewater.
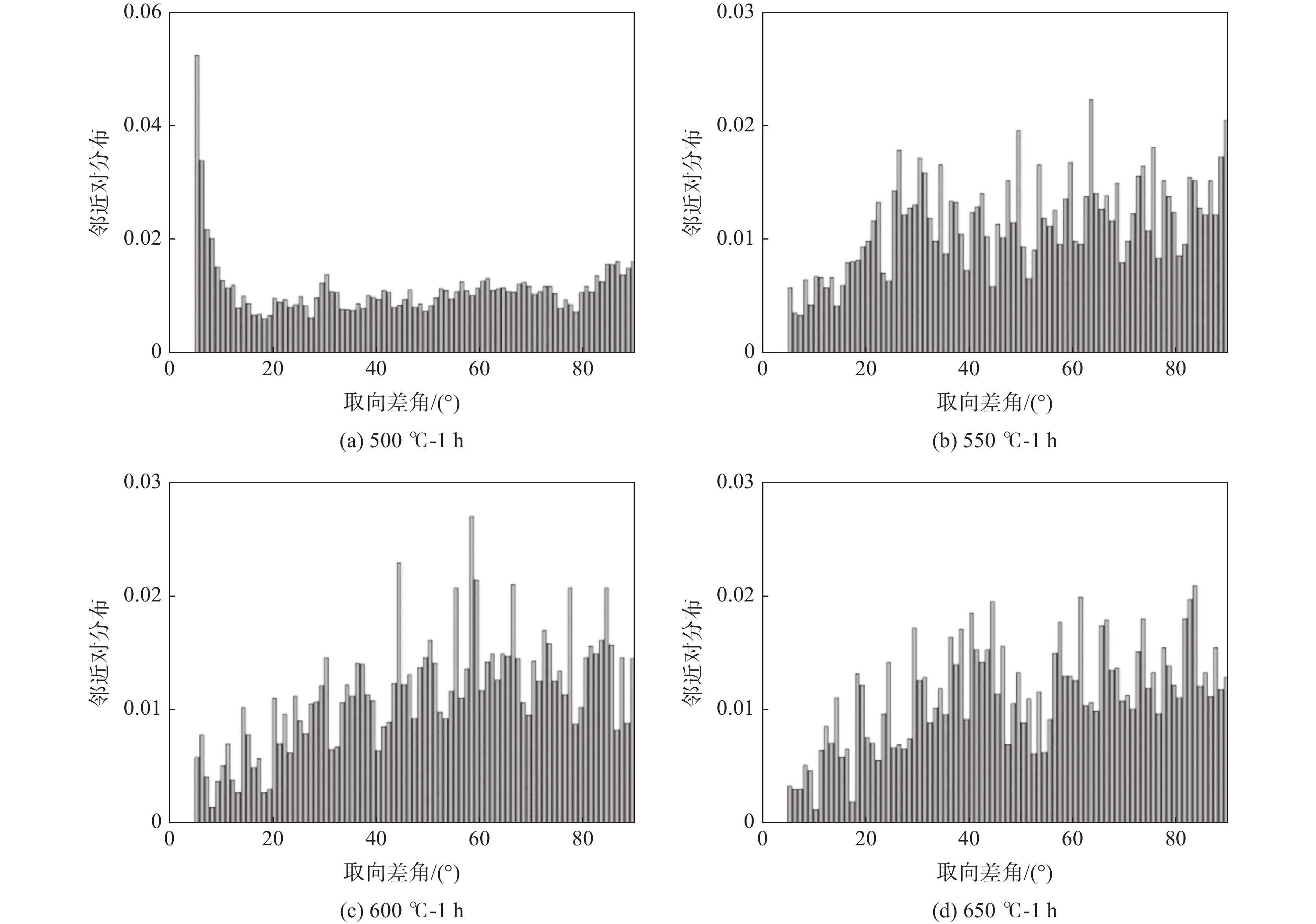
Microstructure evolution of Ti-Ni series titanium alloy foil during annealing
Tang Min, Xing Yuan, Wang Liya, Yang Liu
2023, 44(1): 56-63. doi: 10.7513/j.issn.1004-7638.2023.01.011
Abstract(364) HTML (133) PDF(29)
Abstract:
The 0.15 mm Ti-Ni alloyed titanium foil was annealed under different conditions, and its microstructure and texture evolution after annealing were systematically studied by Electron Backscatter Diffraction (EBSD). The results show that when the titanium alloy foil is isothermally annealed, with the prolongation of annealing time, the recrystallization fraction increases and an equiaxed and undistorted recrystallized structure appears, while the basal ND texture disappears and the bimodal texture approaches from TD to ND. During isochronous annealing, the recrystallization was basically completed when the annealing temperature was 500 ℃, and the recrystallized grains grew as the annealing temperature increased. The texture components was independent of annealing temperature, however, the texture strength changed with the increase of the annealing temperature.
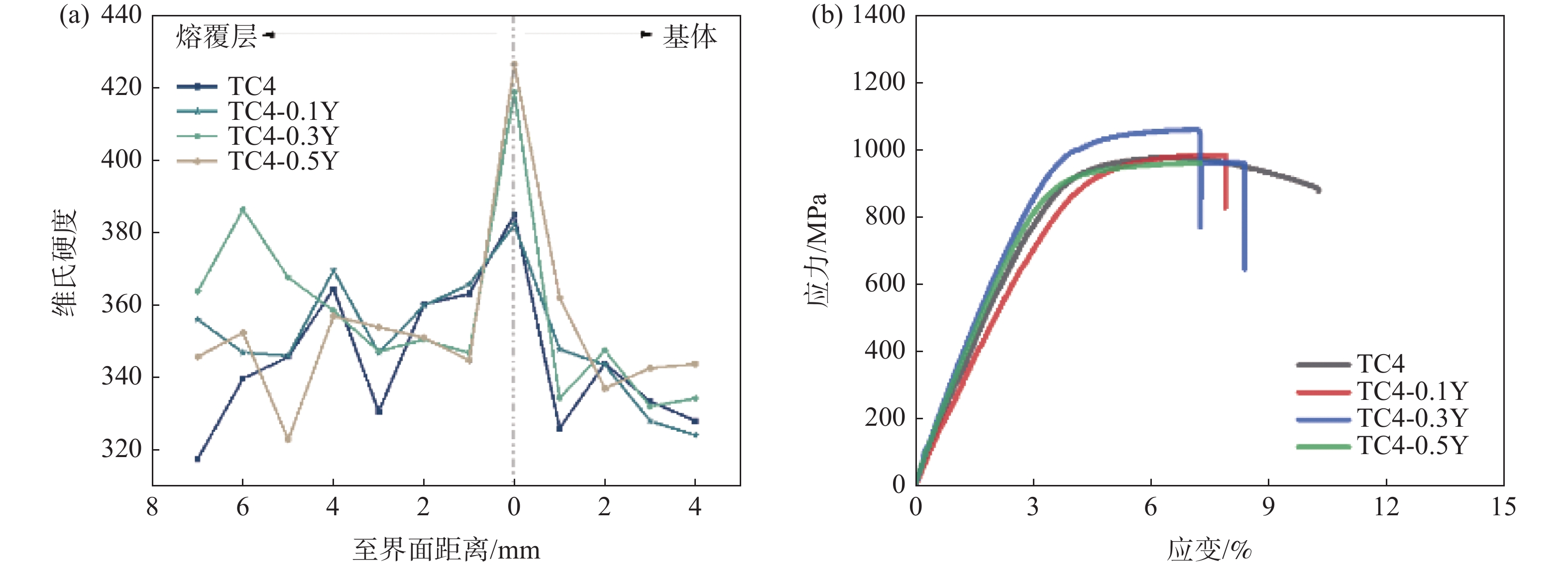
Y2O3 dispersion strengthened TC4 powder and its laser cladding microstructure
Zhang Chengyang, He Siyi, Yang Wei, Guo Shuangquan, Wang Ning, Xu Yi
2023, 44(1): 64-71. doi: 10.7513/j.issn.1004-7638.2023.01.012
Abstract(790) HTML (187) PDF(33)
Abstract:
Laser cladding repairing technology can be used to repair damaged TC4 alloy components. Compared with forged components, oxygen is more easily introduced during laser cladding, which results that cladding components have the problems of high oxygen content and low strength. In this study, TC4-xY (x = 0, 0.1, 0.3, 0.5) prealloyed powder was prepared by plasma rotating electrode process (PREP), then TC4 alloy components were laser cladding repaired with the powder. The results indicate that the introduction of yttrium (Y) induces Y2O3 dispersion evenly distributed on the powder, as the Y content increases, Micro Vickers hardness of the powder rises. In the TC4-xY cladding layers, the Micro Vickers hardness rises with the increase of Y content. However, because of the excessive precipitation of brittle phase, the tensile property of the cladding layers shows a trend from rise to decline, then the elongation just shows the reverse trend. The 1058 MPa tensile property of the TC4-0.3Y cladding layer is the most excellent, then its 7.2% elongation is the worst. The regulation of Y content is conducive to improving the tensile strength of the cladding layer.
Effect of heat treatment on the microstructure and properties of TiBw reinforced high-temperature titanium matrix composite
Yang Dongjie, Yang Zhenbo, Sun Yonggang, Feng Hong, Zhang Shuzhi, Zhi Shaoyong, Zhang Changjiang
2023, 44(1): 72-77. doi: 10.7513/j.issn.1004-7638.2023.01.013
Abstract(507) HTML (204) PDF(24)
Abstract:
The microstructure and properties of TiBw reinforced high-temperature titanium matrix composite forgings formed by integral forging and the effects of different heat treatment processes on the microstructure and properties of forgings were studied by scanning electron microscope and electronic universal material testing machine. The results show that the microstructure of the forgings is bimodal structure, which shows excellent high-temperature performance at 650 ℃, but its strength decreases significantly at 700 ℃. Different heat treatments were performed on the forgings, and it was found that the content and size of the α phase gradually decreased with the increase of the solution temperature. In addition, its tensile strength increases with increasing solid solution temperature, but its plasticity decreases. When the solid solution temperature is 1030 ℃, a bimodal structure with an equiaxed α-phase content of 18.58% can be obtained, and the high-temperature performance is the best. The yield strength is 514.0 MPa, the ultimate tensile strength is 594.0 MPa, and the elongation is 13.9%.
Effect of multi direction forging on microstructure and properties of titanium alloy for automobile manufacturing
Gao Yanan, Zheng Lei, Zhang Quanyu
2023, 44(1): 78-83. doi: 10.7513/j.issn.1004-7638.2023.01.014
Abstract(414) HTML (126) PDF(31)
Abstract:
In this paper, the multi-directional forging test of Ti80 titanium alloy for automobile manufacturing was carried out, and the microstructure, room temperature mechanical properties and wear resistance of the alloy samples were tested and analyzed. The results show that the forging temperature and the forging pass have obvious effects on the microstructure, mechanical properties and wear resistance of the specimen. With the increase of the forging temperature from 880 ℃ to 960 ℃ and the forging pass from 2 to 8, the microstructure of the multi-directional forging specimen is refined first and then coarsened, and the mechanical properties and wear resistance are increased first and then decreased. When the forging temperature is at 920 ℃ and the forging pass is at 5, the grain size of the sample is the smallest, the second phase is in continuous network distribution, the mechanical properties and wear resistance of the sample are the best, the tensile strength and yield strength of the sample are 976 MPa and 892 MPa respectively, and the wear volume is only 7×10−3 mm3 after 15 minutes of wear.
Resources Metallurgy and Materials
Study on the technology of enhanced reduction-magnetic separation of titanium and iron from calcium-based vanadium extraction tailings
Gao Feng, Du Hao, Liu Biao, Wang Shaona, Liang Peng, Zhang Yi
2023, 44(1): 84-91. doi: 10.7513/j.issn.1004-7638.2023.01.015
Abstract(451) HTML (178) PDF(31)
Abstract:
In this paper, the direct reduction-magnetic separation method was used to recover Fe from vanadium titano-magnetite (VTM) tailings. Under the conditions of reduction temperature 1250 ℃, reduction time 2 h and reducing agent dosage 20% of the mass of the tailings, the metallization rate of pellets was 92.71%. After adding 5% CaCO3 and prolonging the holding time to 6 h, the average diameter of Fe grains increased from 14.53 μm to 25.39 μm. By fitting the growth rate of Fe grains, it was found that the grains growth rate constant increased from 0.26 μm2/min to 1.45 μm2/min after adding CaCO3. After magnetic separation, the direct reduced iron with TFe content of 90.72% and the titanium slag with TiO2 content of 41.75% could be obtained. The recovery rate of Fe reached 91.05%, which greatly improved the resource utilization of VTM.
Application of METSIM on vanadium extraction from vanadium bearing steel slag with pressure strengthening
Wang Haixu, Li Lanjie, Bai Li, Wan Heli
2023, 44(1): 92-97. doi: 10.7513/j.issn.1004-7638.2023.01.016
Abstract(402) HTML (155) PDF(33)
Abstract:
In this paper, in view of the key steps in the vanadium extraction process, METSIM software was used to carry out the process modeling and material balance in the extraction process from vanadium bearing steel slag using pressure strengthening , and the mass flow rate of each logistics and the detailed information of the substance in the whole process were obtained. The simulation process could clearly understand the detailed trend of each substance, and provided a reference for the design and optimization of the process. Combined with the above simulation results and the problem of large amount of evaporative water in the actual operation of the production line, the calcium vanadate in the tail slag was firstly treated, and then the washing method of the tail slag was optimized. The results show that the actual process scheme can be further optimized by simulation analysis. The total water consumption and evaporation water in vanadium extraction process can be reduced respectively by 7552 t/a and 7521 t/a, and the energy consumption of vanadium extraction process can be significantly reduced by the simulation results.
Preparation and properties of composite cementitious materials containing vanadium-titanium iron ore tailings
Wang Changlong, Ma Jintao, Yang Fenghao, Zhang Gaoqing, Chen Jingliang, Jing Jianlin, Li Xin, Zhai Yuxin, Liu Feng
2023, 44(1): 98-105. doi: 10.7513/j.issn.1004-7638.2023.01.017
Abstract(725) HTML (199) PDF(46)
Abstract:
In order to improve the high-quality and large-scale effective utilization of vanadium-titanium iron ore tailings (VIOTs), composite cementitious materials (CCM) were prepared with VIOTs as the main raw materials. The effects of grinding characteristics of VIOTs, content of VIOTs on the properties of CCM and hydration mechanism of CCM were investigated via means of particle size analysis, mechanical property test, X-ray diffraction (XRD) and scanning electron microscope (SEM). The results show that the specific surface area of VIOTs grinding for 30 minutes reaches 400 m2/kg, and its 28-day activity index is close to 70%. When the content of VIOTs is 27%, the cement-sand ratio is 1∶3 and the water-binder ratio is 0.4, the 3-day and 28-day compressive strength of the CCM are 14.9 MPa and 32.6 MPa respectively, the standard consistency is 32.6%, the initial setting time is 125 min and the final setting time is 396 min. The 14-day shrinkage value of CCM paste is 51.8% lower than that of P·O 42.5 cement paste at the same age. The hydration products of the CCM are mainly C-S-H gel, Ca(OH)2, Mg(OH)2 and ettringite (AFt) under standard curing conditions, and the coagulation effect of quartz and diopside particles and hydration products after the hydration reaction of vanadium-titanium iron ore tailings is the guarantee for the strength of the CCM. The hydration of diopside to form Mg(OH)2 can inhibit the early self-shrinkage of the cementitious system.
Research on pre-concentration of a low grade ilmenite ore in Panxi region
Cao Yuchuan, An Dengji, Li Huiyue, Yang Liuyi, Guo Rui
2023, 44(1): 106-110. doi: 10.7513/j.issn.1004-7638.2023.01.018
Abstract(623) HTML (222) PDF(43)
Abstract:
A low-grade ilmenite in Panxi region contains TFe 17.14% and TiO2 6.32%, which is currently in the undeveloped state. For the equal and efficient exploitation and utilization of Fe and Ti in the ore, research on pre-concentration to remove part of tailings, reduce grinding amount and increase feed grade was conducted. For the sake of reducing cost, pre-concentration experiments with different grain sizes were conducted and the following optimized flowsheet with optimum parameters were obtained. Wet pre-concentration of raw ore with particle size of -3 mm was processed to realize the yield of tailing discharge 29.51%. The concentrate was obtained with Fe grade of 20.74% and TiO2 grade of 7.97%, Fe and TiO2 recovery rate of 86.34% and 86.58% respectively.
Ferrous Metallurgy and Materials
Non-isothermal reduction kinetics of carbon-coated vanadium-titanium magnetite powder
Gao Yice, Hao Suju, Jiang Wufeng, Zhang Yuzhu, Bo He
2023, 44(1): 111-118. doi: 10.7513/j.issn.1004-7638.2023.01.019
Abstract(439) HTML (148) PDF(27)
Abstract:
To accurately explore the dynamics of carbon reduction reaction of vanadium-titanium magnetite powder, the test was conducted by hydrothermal method without adding any modifier. Carbon-coated vanadium-titanium magnetite powder was prepared with glucose as carbon source. The heating curves of weightlessness of carbon-coated vanadium-titanium magnetite powder obtained under different heating rate of 5, 7.5, 10, 15, 12.5, 1 5 K/min were measured by high temperature comprehensive thermal analyzer . Combined with the FWO formula and CR formula, the experimental data were calculated,as well as the kinetic parameters of carbon-coated vanadium-titanium magnetite powder. The results show that the weight loss rate of carbon-coated vanadium-titanium magnetite powder in a certain temperature range is proportional to the amount of carbon coating and the heating rate. The activation energy in this reaction is about 73.533 kJ/mol with a reaction mechanism of tertiary chemical reaction model.
Research on the interaction mechanism between different burden for blast furnace of Pangang
Xie Hong’en, Zhu Fengxiang, Hu Peng, Zheng Kui
2023, 44(1): 119-128. doi: 10.7513/j.issn.1004-7638.2023.01.020
Abstract(425) HTML (109) PDF(35)
Abstract:
In order to explore the interaction mechanism between different burdens in the softening-melting process of the blast furnace in Pangang, the softening-melting properties of different single burdens and their mixed burden were tested. Meanwhile, the interrupt experiment of softening-melting properties of the mixed burden by any two kinds of single burdens at a specific temperature was carried out. Under the experimental conditions, the dropping temperature Td of lump ore is the lowest. Compared with the pellet, the sinter has a lower final softening temperature T40, a higher dropping temperature Td, a narrower softening temperature range ΔTs, and a more comprehensive melting temperature range. Compared with the sinter and pellet, the dropping temperature Td of mixed burden decreases. During softening and melting, the lump ore infiltrates into sinter or pellet under the action of load, conducive to the mutual erosion between lump ore and phases of the sinter or pellet as well as the migration of elements between different phases, thus promoting the softening and melting of mixed burden.
Mathematical simulation and industrial experiment study on bottom blowing process of 40 t eccentric arc furnace
Fu Jianhui, Liu Tingyao, Chen Jun
2023, 44(1): 129-134. doi: 10.7513/j.issn.1004-7638.2023.00.021
Abstract(476) HTML (399) PDF(40)
Abstract:
This paper establishes a mathematical model of bottom gas blowing for a 40 t eccentric electric arc furnace in a steel plant. The fluid flow characteristics in the bath of an electric arc furnace under different bottom blowing conditions were numerically simulated using Fluent software. The effect of different bottom blowing rates on fluid flow is analyzed. The results show that the blowing gas increases the average velocity of the molten pool surface. The optimum blowing rate is 30 ~ 40 m3/h. At the same time, combined with the industrial production data, it is found that the bottom-blown stirring technology can speed up the heat and mass transfer of the melting pool, shorten the smelting time, and reduce the production cost.
Effect of C and N content on the microstructure and performance of 316H austenitic stainless steel used in sodium-cooled fast reactor heat exchanger
Song Guangdong, Li Xin, Liu Mengmeng, Li Xiaobing, Li Haoze, Gao Ming
2023, 44(1): 135-141. doi: 10.7513/j.issn.1004-7638.2023.01.022
Abstract(403) HTML (129) PDF(30)
Abstract:
316H austenitic stainless steel is used as the main structural material of the Chinese fourth-generation advanced sodium-cooled fast reactor heat exchanger. The premise of realizing domestic production is to obtain the reasonable control limit of the key trace-elements such as C and N. However, the ASTM standard shows a wide range of control of C element in 316H alloy, which makes it difficult to balance the intergranular corrosion resistance and welding performance of the alloy, especially for large-size tube sheet, flange and other parts where C element is prone to segregate. Besides, the ASTM standard doesn’t give the control range of N. In this paper, the influence of the C, N contents on the microstructure and properties, such as the grain size, tensile properties under room temperature or 580 °C, the room-temperature impact toughness and the intergranular corrosion resistance were investigated by the tensile and impact testing machines, combined with other testing methods such as OM and intergranular corrosion performance testing. The findings demonstrate that there are slight changes in grain size, tensile properties, and impact toughness of the alloys with C (0.04%~0.06%) or with N (0.05% to 0.07%). Although the hot-rolled alloy plates with the C contents of 0.04% to 0.06% generally show good intergranular corrosion resistance, the corrosion rate increases with the increasing C content. The rate of the intergranular corrosion resistance tends to decrease with the increase of the N content. Based on the results, the recommended control limits of the C and N content of the engineered 316H stainless steel parts are determined.
Simulation research of inclusive removal by argon blowing stirring during ladle tapping process
Li Yang, Wu Chenhui, Deng Anyuan, Zeng Jianhua, Zhang Min, Yang Xiaodong
2023, 44(1): 142-150. doi: 10.7513/j.issn.1004-7638.2023.01.023
Abstract(594) HTML (182) PDF(44)
Abstract:
Based on the process of ladle tapping, a five-phase numerical model including molten steel, molten slag, gas phase, argon bubble and inclusion had been established and used to investigate the feasibility of improving inclusions removal by argon blowing stirring during the tapping process, and the effect of argon blowing rate on flow field, slag-eye, and the removal efficiency of inclusions. The results show that the argon blowing stirring process can strengthen the flow of molten steel and promote the removal of inclusions. Compared with no argon blowing stirring, the removal efficiency of inclusions increases from 80.74% to 96.69% whilst the argon blowing rate is 100 L/min at 750 s, and the number of inclusions flowed into tundish is reduced by 67.4%. The size of slag-eye and the removal rate of inclusions increase with the increase of argon blowing rate, but argon blowing rate has a little effect on the removal efficiency of inclusions. The recommended argon blowing rate is 100 L/min.
Effect of in-situ (W&Ti)C complex particles on wear behavior of high chromium cast iron
Wang Shuai, Li Yingmin, Zheng Zhibin, Wang Juan, Long Jun, Zheng Kaihong, Zhang Jian, Diao Xiaogang
2023, 44(1): 151-157. doi: 10.7513/j.issn.1004-7638.2023.01.024
Abstract(457) HTML (115) PDF(23)
Abstract:
High chromium cast iron matrix composites reinforced with (W&Ti)C composite particles were prepared by in situ method, and the effect of reinforced particles on the microstructure and wear behavior of the material was studied. The results show that the presence of WC and TiC particles in the composite microstructure increases the Rockwell hardness (HRC) from 55 to 70 compared to high chromium cast iron (HCCI). During the wear process, the M7C3 carbides of the HCCI near the wear surface will generate cracks and expand into the matrix under the repeated action of abrasives. Broken carbides fall off more easily and cannot resist the ploughing action of abrasives on the surface of the material, thereby accelerating the wear. The relatively soft matrix in the composite is gradually removed during the wear process, and a large number of WC and TiC particles are exposed on the worn surface. The raised reinforcing particles will take the major damage from the abrasive, effectively protecting the surrounding matrix. It was found out that the wear performance of the composites increased by more than 1 times compared with traditional materials under the same wear conditions.
Research on the effect of Nb-V composite microalloying on austenite recrystallization of pipeline steel
Ma Qilin, Jia Shujun, Yin Shubiao, Li Ba, Liu Qingyou
2023, 44(1): 158-166. doi: 10.7513/j.issn.1004-7638.2023.01.025
Abstract(389) HTML (129) PDF(23)
Abstract:
Through heat treatment test, microstructure observation, thermodynamic model calculation and thermo-cacl software, the austenite grain size as well asthe dissolution and precipitation behavior of microalloying elements in pipeline steel during reheating had been investigated.. The results show that when the test steel is reheated at 1180 ℃ and held for 1.5 hours, the austenite grain size order is as follows: Nb steel (61.14 μm±5.59 μm)<Nb-V steel (63.84 μm±5.52 μm)<V steel (71.89 μm ±6.8 μm) . Under this condition, the solid solution Nb content of Nb steel is 0.064%, while the solid solution Nb content of Nb-V test steel is 0.05%. The difference between the solid solution Nb content of the two test steels in austenite is only 0.014%. The predication from established thermodynamic model shows that the activation energy of austenite grain growth in the temperature range of 1050 ℃ to 1250 ℃ exists in QNb steel>QNb-V steel>QV steel, which further confirms that the growth of austenite grains at this stage is mainly positively correlated with the solid solution amount of Nb element. Under investigated reheating condition, the prior austenite grain size and solid solution Nb content in Nb-V test steel is similar to that of Nb steel, which confirms the feasibility of Nb-V microalloying pipeline steel from the prospective of reheating stage.
Production process optimization of high-quality steel for engineering machinery
Zhai Dongyu, Zhang Youyou, Lei Xiaorong, Liu Shuai, Chang Yunhe
2023, 44(1): 167-174. doi: 10.7513/j.issn.1004-7638.2023.01.026
Abstract(486) HTML (144) PDF(36)
Abstract:
Hot-rolled steel plates used in engineering machinery have strict requirements not only on mechanical properties but also on surface quality. NISCO successfully produced hot-rolled steel plates for high-quality engineering machinery by optimizing chemical composition design, controlling molten steel smelting process, and reducing austenitizing temperature and second stage rolling temperature. The obtained steel achieved ferrite and pearlite microstructure, fine grain size of ASTM 10 without strip structure presence, and stable tensile properties as well as excellent low temperature impact value up to 220 J. The combination of smelting technology of clean steel, low temperature austenitizing technology and low temperature rolling and cooling process can reduce the iron olivine formation on steel plate surface and therefore promote a dense, stable and unbreakable oxide scale with the thickness of 5 µm. The existence of the oxide scale avoids the secondary damage of the plate surface during transportation and storage, and ensures the use quality for customers. Through this research the industrial manufacturing technology of high-quality steel of engineering machinery had been obtained.
Evolution of microstructure and texture for Hi-B steel using low-temperature slab heating
Liu Lei, Guo Feihu, Shi Pengzhao, Qiao Jialong, Tian Yushi, Qiu Shengtao
2023, 44(1): 175-180. doi: 10.7513/j.issn.1004-7638.2023.01.027
Abstract(392) HTML (126) PDF(25)
Abstract:
The evolutions of microstructure and texture for Hi-B steel using low-temperature slab heating technology were studied by optical microscope and X-ray diffractometer. The results show that the distribution of microstructure and texture is not uniform from the surface to the center layer in the hot-rolled band and annealed hot-rolled band. The microstructure of the hot-rolled band consists of the surface recrystallized region, the mixed region of recrystallized and deformed grains, and the central deformed grain region. Moreover, the texture types of each layer in the hot-rolled band are different. The grains in the surface layer of the annealed hot-rolled band grow, the deformed grains in the transition layer and the center layer disappear, and the annealed hot-rolled band inherits the texture characteristics of the hot-rolled band. In addition, the cold-rolled band has a fibrous deformed structure. An α texture dominated by {001}<110>~{111}<110> is formed during cold-rolling. The average grain size of the transverse section and vertical section of the decarburized and nitrided sheet is 25.9 μm and 25.3 μm, respectively, and the textures are mainly {111}<112>, {114}<481> and {001}<120> textures. The average grain size of the final product is 19.1 μm, and the final product has a single Gaussian texture.
Effect of Te on sulfides and properties of 303Cu stainless steel
Zhu Qiangbin, Ji Dengping, Yan Daocong, Li Li, Fu Jianxun
2023, 44(1): 188-196. doi: 10.7513/j.issn.1004-7638.2023.01.029
Abstract(452) HTML (233) PDF(22)
Abstract:
In order to study the industrial application effect of Te metallurgy in 303Cu stainless steel, the industrial production test of adding Te to 303Cu stainless steel was carried out. The influence of Te addition on the corrosion resistance of 303Cu free-cutting stainless steel was investigated, and the influence of Te on the corrosion resistance of 303Cu was verified. The morphology, size distribution, cutting performance, corrosion resistance, and hardness change of sulfide in 303Cu stainless steel and 303Cu telluride modified casting billet and rolling material was compared and analyzed using Zeiss metallographic microscope, scanning electron microscope, three-dimensional corrosion etching, surface roughness analyzer, salt spray test, and microhardness. The results show that the length and width of the sulfide in the 303Cu stainless steel (Te modified) billet are smaller, the distribution is more uniform, and the hardness of the sulfide increases. After the Te modified 303Cu rolling material, the sulfide changes from a long strip to a spindle, which effectively inhibits the deformation of the sulfide in the rolling process. After TE modification, the proportion of C-type chips increases, and the surface roughness decreases. After TE modification, the corrosion area of the rolled material decreased compared with the original sample under 120 h and 240 h neutral salt spray test.