中文核心期刊

SCOPUS 数据库收录期刊

中国科技核心期刊

美国《化学文摘》来源期刊

中国优秀冶金期刊

美国EBSCO数据库收录期刊

RCCSE中国核心学术期刊

美国《剑桥科学文摘》来源期刊

中国应用核心期刊(CACJ)

美国《乌利希期刊指南》收录期刊

中国学术期刊综合评价统计源刊

俄罗斯《文摘杂志》来源期刊

优秀中文科技期刊(西牛计划)

日本《科学技术文献数据库》(JST)收录刊

留言板

尊敬的读者、作者、审稿人, 关于本刊的投稿、审稿、编辑和出版的任何问题, 您可以本页添加留言。我们将尽快给您答复。谢谢您的支持!

姓名
邮箱
手机号码
标题
留言内容
验证码

生物炭还原五价钒的行为研究

彭浩 伍锡斌 郑雄攀 郭静 黄辉胜 李兵

彭浩, 伍锡斌, 郑雄攀, 郭静, 黄辉胜, 李兵. 生物炭还原五价钒的行为研究[J]. 钢铁钒钛, 2021, 42(4): 12-17. doi: 10.7513/j.issn.1004-7638.2021.04.003
引用本文: 彭浩, 伍锡斌, 郑雄攀, 郭静, 黄辉胜, 李兵. 生物炭还原五价钒的行为研究[J]. 钢铁钒钛, 2021, 42(4): 12-17. doi: 10.7513/j.issn.1004-7638.2021.04.003
Peng Hao, Wu Xibin, Zheng Xiongpan, Guo Jing, Huang Huisheng, Li Bing. Reduction behaviors of pentavalent vanadium with biochar[J]. IRON STEEL VANADIUM TITANIUM, 2021, 42(4): 12-17. doi: 10.7513/j.issn.1004-7638.2021.04.003
Citation: Peng Hao, Wu Xibin, Zheng Xiongpan, Guo Jing, Huang Huisheng, Li Bing. Reduction behaviors of pentavalent vanadium with biochar[J]. IRON STEEL VANADIUM TITANIUM, 2021, 42(4): 12-17. doi: 10.7513/j.issn.1004-7638.2021.04.003

生物炭还原五价钒的行为研究

doi: 10.7513/j.issn.1004-7638.2021.04.003
基金项目: 重庆市教委科学技术研究(青年)项目(No.KJQN201901403);重庆市基础与前沿研究(一般)项目(No.cstc2018jcyjAX0018)
详细信息
    作者简介:

    彭浩(1990−),男,博士,副教授,通讯作者,研究方向为化工过程强化,绿色资源化工,E-mail:cqupenghao@126.com

  • 中图分类号: TF841.3

Reduction behaviors of pentavalent vanadium with biochar

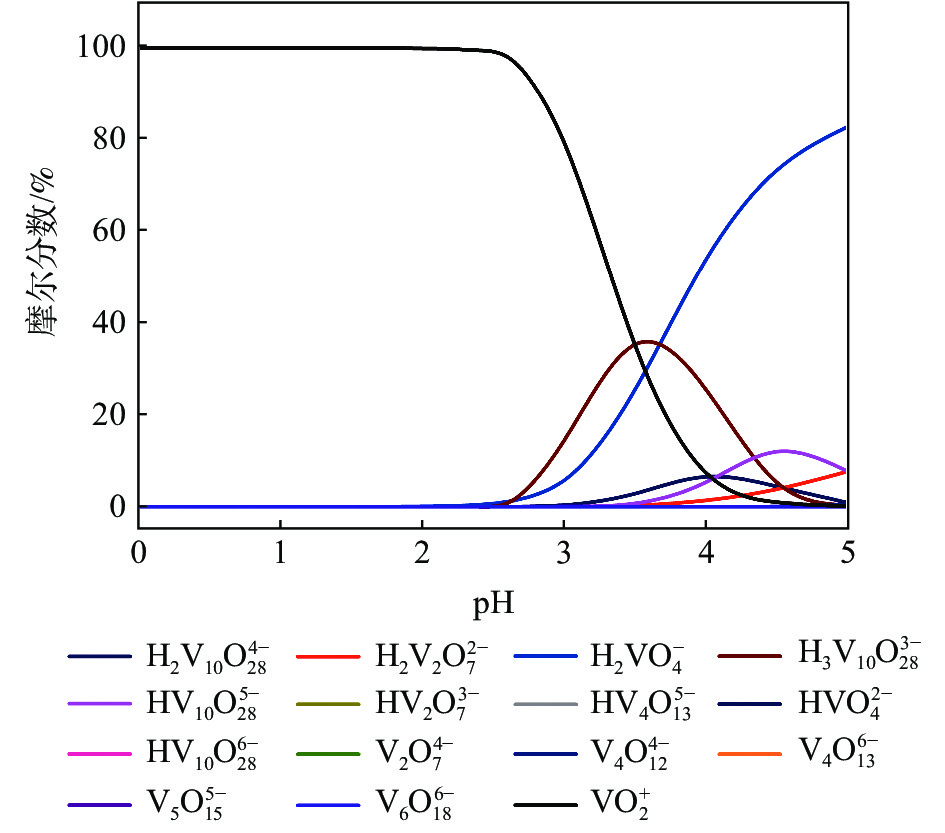
  • 摘要: 针对钒化合物随价态升高毒性增加,且其对环境造成的危害也增大的现状,研究采用生物炭对其进行还原实现无害化处置。试验研究了生物炭用量、反应温度、硫酸浓度、反应时间等反应参数对钒还原率的影响。结果表明:五价钒在酸性条件下主要以VO2+、H3V10O283−和H2VO4的形式存在,在短时间内可以被生物炭还原成低价。在合适的反应条件下,即:钒的初始浓度为3 g/L,生物炭用量为3 g,反应温度为90 ℃,反应时间为60 min,硫酸浓度为20 g/L和搅拌转速为500 r/min,钒的还原率可达92.14%。在生物炭将五价钒还原的过程中不会引入其他杂质,该方法进行技术改良后在实现五价钒无害化的同时还可以用来制备低价钒化合物。
  • 图  1  五价钒还原过程中主要反应$\Delta G - T$关系

    Figure  1.  Relationship between ΔG and T during the reduction process of vanadium

    图  2  五价钒的存在形态

    Figure  2.  Existence forms of pentavalent vanadium in the solution

    图  3  生物炭用量对钒还原率的影响

    Figure  3.  Effect of biochar dosage on the reduction efficiency of vanadium

    图  4  硫酸浓度对钒还原率的影响

    Figure  4.  Effect of the concentration of H2SO4 on the reduction efficiency of vanadium

    图  5  反应温度对钒铬浸出率的影响

    Figure  5.  Effect of reaction temperature on the reduction efficiency of vanadium

    图  6  反应时间对钒还原率的影响

    Figure  6.  Effect of reaction time on the reduction efficiency of vanadium

  • [1] Liu Mei, Wang Haiyan, Li Hong. Research progress on mechanism of vanadium neurotoxicity and anti-vanadium neurotoxic substances[J]. Journal of Hygiene Research, 2021,50(1):154−157, 172. (刘梅, 王海燕, 李红. 钒神经毒性机制及抗钒神经毒性物质研究进展[J]. 卫生研究, 2021,50(1):154−157, 172.
    [2] Cui Peng, Zhang Qin, Lan Yajia. Research progress on neurobehavioral toxicity of vanadium and its compounds[J]. Journal of Toxicol, 2013,27(1):64−67. (崔鹂, 张勤, 兰亚佳. 钒及其化合物的神经行为毒性研究进展[J]. 毒理学杂志, 2013,27(1):64−67.
    [3] Wu Yusheng. Study on the mechanism of microbial remediation of vanadium-contaminated groundwater[J]. China Resources Comprehensive Utilization, 2021,39(3):191−193, 204. (吴玉生. 钒污染地下水的微生物修复机理研究[J]. 中国资源综合利用, 2021,39(3):191−193, 204. doi: 10.3969/j.issn.1008-9500.2021.03.055
    [4] Peng Hao. A literature review of leaching and recovery of vanadium[J]. Journal of Environmental Chemical Engineering, 2019,7(5):103313. doi: 10.1016/j.jece.2019.103313
    [5] Peng Hao, Guo Jing, Zhang Xingran. Leaching kinetic of vanadium from calcium-roasting high-chromium vanadium slag enhanced by electric field[J]. ACS Omega, 2020,5(28):17664−17671. doi: 10.1021/acsomega.0c02192
    [6] Xue Yudong, Zheng Shili, Du Hao, et al. Cr(III)-induced electrochemical advanced oxidation processes for the V2O3 dissolution in alkaline media[J]. Chemical Engineering Journal, 2017,307:518−525. doi: 10.1016/j.cej.2016.08.115
    [7] Zhong Xin, Cui Wengang, Zhou Mingzhong, et al. Evaluation of soil pollution caused by vanadium in areas rich in polymetallic black shale in Zunyi city of Guizhou province[J]. Journal of University of Jinan (Science and Technology), 2021,35(3):211−216. (钟昕, 崔文刚, 周明忠, 等. 贵州省遵义市富多金属黑色页岩区土壤钒污染评价[J]. 济南大学学报(自然科学版), 2021,35(3):211−216.
    [8] Chen Kai. The investigation on soil environment of a heavy metal contaminated site in Hunan province[J]. Inner Mongolia Environmental Sciences, 2020,32(7):60−61. (陈锴. 湖南某重金属污染场地土壤环境调查[J]. 环境与发展, 2020,32(7):60−61.
    [9] Wang Xinwei, Sun Mingming, Zhu Guofan, et al. Research progresses of vanadium-contaminated soil bioremediation[J]. Soils, 2020,52(5):873−882. (王鑫伟, 孙明明, 朱国繁, 等. 钒污染土壤生物修复研究进展[J]. 土壤, 2020,52(5):873−882.
    [10] Gu Qian, Liu Huan, Zhang Baogang, et al. Research progress on remediation technology of vanadium contaminated soil and groundwater[J]. Earth Science, 2018,43(S1):84−96. (谷倩, 刘欢, 张宝刚, 等. 钒污染土壤地下水的修复技术研究进展[J]. 地球科学, 2018,43(S1):84−96.
    [11] (张袁野. 生物炭修饰对降低水稻土钒污染风险的效应[D]. 杨凌: 西北农林科技大学, 2019.)

    Zhang Yuanye. Contribution of biochar modification on reducing the risk of vanadium contamination in paddy soils[D]. Yangling: Northwest A&F University, 2019.
    [12] Shao Huiqi, Zhang Youwen, Qu Chen, et al. Analysis of heavy metal contamination in the soil and enrichment capabilities of terrestrial plants around a typical vanadium smelter area[J]. Chinese Journal of Engineering, 2020,42(3):302−312. (邵慧琪, 张又文, 曲琛, 等. 典型钒矿冶炼厂区域土壤重金属污染及陆生植物富集能力[J]. 工程科学学报, 2020,42(3):302−312.
    [13] (叶大伦, 胡建华. 实用无机化学热力学手册[M]. 北京: 冶金工业出版社, 2002.)

    Ye Dalun, Hu Jianhua. Handbook of applied inorganic chemistry thermodynamics[M]. Beijing: Metallurgical Industry Press, 2002.
    [14] Peng Hao, Guo Jing, Li Gang, et al. Leaching of vanadium and chromium from vanadium-chromium residue intensified with H2O2[J]. Iron Steel Vanadium Titanium, 2018,39(4):24−29. (彭浩, 郭静, 李港, 等. H2O2强化钒铬还原渣中钒和铬的浸出[J]. 钢铁钒钛, 2018,39(4):24−29. doi: 10.7513/j.issn.1004-7638.2018.04.004
  • 加载中
图(6)
计量
  • 文章访问数:  1010
  • HTML全文浏览量:  384
  • PDF下载量:  50
  • 被引次数: 0
出版历程
  • 收稿日期:  2021-06-08
  • 刊出日期:  2021-08-10

目录

    /

    返回文章
    返回