中文核心期刊

SCOPUS 数据库收录期刊

中国科技核心期刊

美国《化学文摘》来源期刊

中国优秀冶金期刊

美国EBSCO数据库收录期刊

RCCSE中国核心学术期刊

美国《剑桥科学文摘》来源期刊

中国应用核心期刊(CACJ)

美国《乌利希期刊指南》收录期刊

中国学术期刊综合评价统计源刊

俄罗斯《文摘杂志》来源期刊

优秀中文科技期刊(西牛计划)

日本《科学技术文献数据库》(JST)收录刊

留言板

尊敬的读者、作者、审稿人, 关于本刊的投稿、审稿、编辑和出版的任何问题, 您可以本页添加留言。我们将尽快给您答复。谢谢您的支持!

姓名
邮箱
手机号码
标题
留言内容
验证码

当期目录

2025年 第46卷  第6期

2025 年总目次
2025, (6): 1-4.
摘要(412) HTML(209) PDF(13)
摘要:
综述与专论
我国攀西铁钒钛共伴生资源综合利用转型升级思考
姜涛, 郭宇峰, 李光辉, 陈凤, 王帅, 杨凌志, 李兆祥, 任雨荞, 问悦凯, 郑宇, 李广, 张艺曦
2025, 46(6): 1-19. doi: 10.7513/j.issn.1004-7638.2025.06.001
摘要(526) HTML(258) PDF(28)
摘要:
铁钒钛资源是全球公认的战略性矿产资源,对我国国防、经济及科技的发展均具有战略意义。攀西是我国最大、世界重要的铁钒钛资源基地,已建成了完整的铁钒钛产业链,但仍存在钒钛综合利用率低、高端产品少、生产能耗高、固废产量大等问题。围绕攀西铁钒钛共伴生资源高效清洁利用,笔者系统分析了攀西铁钒钛资源利用现状,提出了攀西铁钒钛资源综合利用转型升级方向,包括工艺技术创新、产品迭代升级、清洁能源利用、固废处理强化和选冶流程再造等五个方面,大力推动我国钒钛产业高效化、高端化、绿色化和智能化发展,实现国家“双碳”目标,保障我国铁钒钛资源与基础原材料的安全供给。
2023~2024年全球钒工业发展报告
吴优, 陈东辉, 刘武汉, 张邦绪, 何睿
2025, 46(6): 20-28. doi: 10.7513/j.issn.1004-7638.2025.06.002
摘要(436) HTML(135) PDF(36)
摘要:
从全球钒资源、产品、产能、产量、需求、进出口贸易和市场价格等方面阐述和分析了2023~2024年钒产业的整体状况,并基于目前国内外产业运行态势对钒后市进行了展望,认为:全球钒产业已开始步入转型发展新周期,我国需科学高效有序开发利用关键战略金属矿产资源中的钒;提前规划并实施钒产业绿色低碳发展路径;在可预见的未来,中国依旧是全球最大的钒供需市场,全球钒市场价格在多因素调控机制下,在一定区间内呈盘整回归态势;钒电池储能将成为支撑新能源安全稳定应用的重要载体之一。
钒钛分离与提取
钒渣高效提取冶金:Na2O-K2O-V2O5体系相平衡试验研究及热力学模型构建
裴贵尚, Sampath KumarBHARATH, 李卓阳, 焦梦娇, 向俊一, 严志明, 吕学伟
2025, 46(6): 29-39, 65. doi: 10.7513/j.issn.1004-7638.2025.06.003
摘要(345) HTML(188) PDF(22)
摘要:
构建准确可靠的热力学数据库对提钒过程优化以及钒酸盐材料的制备具有重要的应用价值和指导意义。采用封闭铂金坩埚,结合X射线衍射(XRD)与差热分析(DTA)技术,证实了K2O-V2O5体系中K3V5O14为稳定存在的化合物,并试验测定了K2V8O21和KVO3的熔化温度分别为532.4 ℃和516.5 ℃。随后采用修正的准化学模型(MQM),引入溶液中第二相邻阳离子短程有序对描述吉布斯自由能的变化。基于CALPHAD框架(CALculation of PHAse Diagram,相图计算),构建了Na2O-K2O-V2O5体系的热力学模型,重现了Na2O-K2O-V2O5体系全组分范围的实验数据和热力学性质,获得了该体系中所有物相一系列自洽的热力学模型参数,最终构建了可靠的热力学数据库。进一步探讨了当前数据库在钒渣钠化焙烧提钒中的应用,明确了含钒物相的迁移规律,确定了最佳的操作温度窗口。
钒渣高效提取冶金:钠镁复合焙烧提钒工艺
曹帅, 向俊一, 黄青云, 申彪, 何文艺, 韦林森, 吕学伟
2025, 46(6): 40-46. doi: 10.7513/j.issn.1004-7638.2025.06.004
摘要(387) HTML(105) PDF(14)
摘要:
钒渣钠化焙烧过程中碱土金属会很容易生成难溶于水的钙/镁钒酸盐,导致钒收率下降。然而,适量添加氧化镁可诱导生成高溶解度的钠镁复合钒酸盐(Na6Mg2V4O15)。基于此,创新性提出钒渣钠镁复合焙烧提钒工艺。试验结果表明,Na6Mg2V4O15在钠化熟料水浸条件(pH≈11)下表现出优异的溶解性能;当Na2CO3配比为20%、焙烧温度875 ℃时,钒渣钠化焙烧钒浸出率最高可达85.30%;而采用钠镁复合焙烧,加入3%的MgO即可将Na2CO3配比降至18%,并将钒浸出率提升至90.38%。焙烧熟料和浸出渣的物相分析结果表明,复合焙烧有效促进了钠镁复合钒酸盐的焙烧转化及浸出。采用低成本镁盐部分替代钠盐进行复合焙烧,可为钠化提钒工艺降本增效提供新思路。
转型法制备高纯偏钒酸铵过程杂质协同控制研究
贾美丽, 王宝华, 杜浩, 胡飞飞, 刘金玉, 祁健, 赵备备
2025, 46(6): 47-56. doi: 10.7513/j.issn.1004-7638.2025.06.005
摘要(313) HTML(131) PDF(26)
摘要:
针对传统偏钒酸铵制备工艺存在的流程冗长、成本高昂等问题,基于钒酸根离子在不同pH条件下的形态转化特性,创新性地提出通过精确调控介质pH值实现多钒酸根(V10O286−)向偏钒酸根(VO3)的直接转化。在此过程中,杂质元素(Na、K、Cr、As)分别以Na+、K+、CrO42−、HAsO42−等离子形态进入溶液相,实现了偏钒酸铵制备过程中的杂质协同去除。系统研究了转型反应温度、pH值和液固比对钒回收率及产品纯度的影响机制,试验结果表明:当体系pH≥8时,可实现V10O286−向VO3的完全转化;较低的反应温度有利于偏钒酸铵的结晶析出,从而提高钒回收率;液固比的增加虽有利于提高转化效率,但过高的液固比会导致钒回收率降低和资源浪费。通过优化试验确定了最佳工艺参数:反应温度30 ℃,pH值8.5,液固比7~10。在此条件下,纯度98%的工业级多钒酸铵可直接转化为偏钒酸铵并结晶析出,所得产品纯度达99.75%,钒回收率为90.67%,成功实现了纯度≥99.5%偏钒酸铵的一步法制备。该方法显著简化了传统工艺流程,为高效制备高纯度偏钒酸铵提供了新的技术途径。
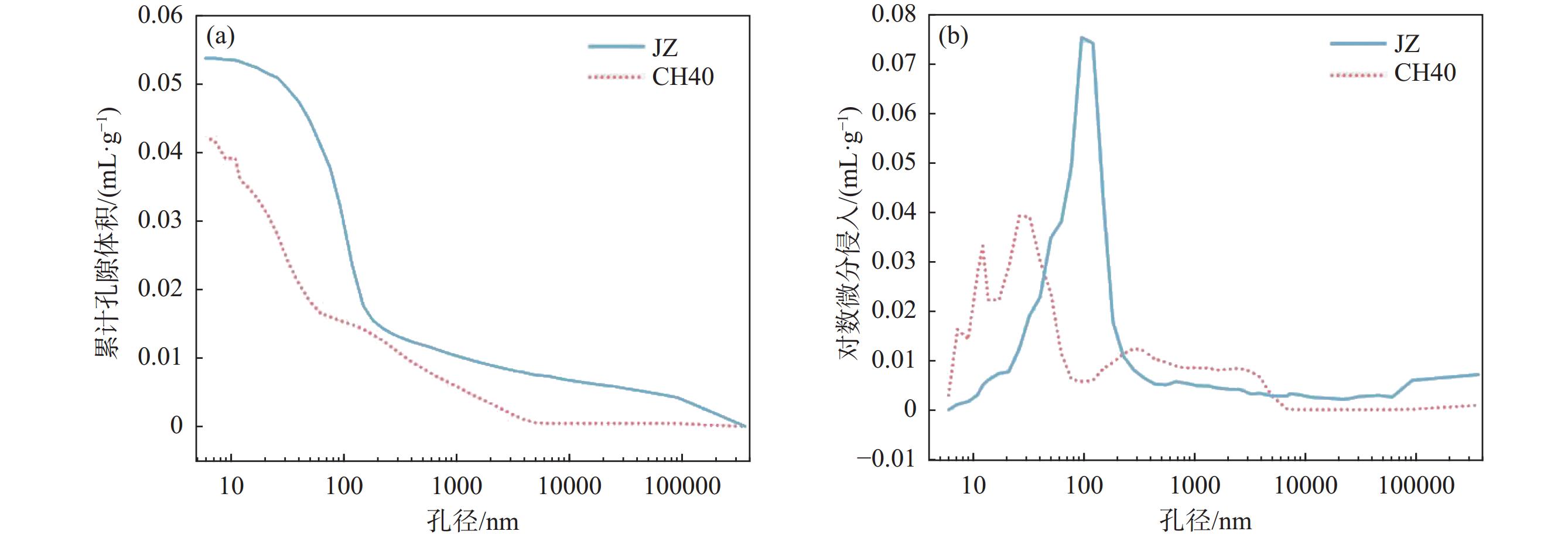
钙化钒渣酸浸过程多组元浸出行为及影响规律
余唐霞, 温婧, 平鑫浩, 姜涛, 张林, 李月鹏, 杨雄
2025, 46(6): 57-65. doi: 10.7513/j.issn.1004-7638.2025.06.006
摘要(264) HTML(182) PDF(10)
摘要:
系统研究了钒渣MFe含量、焙烧过程钙钒比和焙烧温度、浸出pH值对V和杂质组元Mn、Fe、Cr、Mg、Ti、Si浸出行为的影响规律。研究结果表明:降低钒渣中MFe含量、钙钒比(n(CaCO3)/n(V2O3))取1.0、焙烧温度升高至900 ℃、浸出pH设置为2.8,V浸出率可达91.68%。Mn和Mg的浸出率变化趋势相似,随MFe含量增加、钙钒比增大而降低;在焙烧温度800~950 ℃、浸出pH值 2.2~3.0的范围内,浸出率基本稳定,分别约38%和20%。Fe浸出率与MFe含量协同变化,高温焙烧和高pH值可抑制其浸出;受钙钒比影响甚微,均低于0.04%。Cr、Ti和Si浸出率均随MFe含量增加和焙烧温度升高而降低;Cr基本不随钙钒比的变化而变化,而Ti和Si随钙钒比增大呈升高趋势;浸出pH值的影响各异,Si浸出率随pH值升高而降低,而Ti反之升高,Cr浸出率稳定在0.1%左右。
四乙基溴化铵常温沉钒工艺研究
张蕾, 陈燕, 伍金树, 刘诗园, 高雷章, 余彬, 王宁
2025, 46(6): 66-71. doi: 10.7513/j.issn.1004-7638.2025.06.007
摘要(201) HTML(121) PDF(10)
摘要:
以钙化焙烧—酸浸得到的钒浸出液为沉钒原料,以四乙基溴化铵(TEAB)作沉钒剂进行常温沉钒试验,研究了反应液pH、沉钒剂用量以及沉淀时间对沉钒率及沉淀产物杂质含量的影响,得到最佳试验条件为pH = 2.4、沉钒剂用量n(TEAB):n(V) = 0.5、沉钒时间0.5 h,此时沉钒率为97.1%,沉淀中杂质Mn、Si、P含量均控制在较低水平。对TEAB常温沉钒得到的沉淀物在550 ℃下煅烧3 h,可得到符合行业标准的五氧化二钒(V2O5)。
超细粒级钛精矿酸解率提升研究
吴健春
2025, 46(6): 72-77, 89. doi: 10.7513/j.issn.1004-7638.2025.06.008
摘要(171) HTML(119) PDF(9)
摘要:
以超细粒级钛精矿为原料,通过对比分析其与普通矿在粒度分布、化学成分及物相组成上的差异, 探究了影响超细矿酸解率的关键因素,并进行了酸解工艺优化。结果表明:超细矿与普通矿的物相结构无明显差异,均以钛铁矿相为主,但其化学成分中碳、磷含量显著高于普通矿。常规酸解条件下,超细矿的酸解率较普通矿低3~4个百分点,主要归因于其选矿过程中添加的浮选剂较多,在矿粒表面形成致密膜层,显著增加了硫酸向矿粒内部扩散的阻力。研究发现,通过增加反应酸矿比和提高反应酸浓度等化学强化手段,可有效破坏该浮选剂膜层,从而大幅提升酸解率。优化的酸解条件为:反应酸浓度85%~86%,酸矿比1.56~1.58。在此条件下,超细矿酸解率达96%及以上。
钒钛材料与应用
熔盐协同镁热还原制备高纯金属钒
于杰, 钟大鹏, 黄青云, 徐海铭, 向俊一, 喻文昊, 吕学伟
2025, 46(6): 78-83. doi: 10.7513/j.issn.1004-7638.2025.06.009
摘要(372) HTML(269) PDF(13)
摘要:
金属热还原法制备金属钒存在金属用量大、成本高和钒中氧含量高的问题。虽然镁热还原法在热力学上能够将钒中氧降低至0.01%,但在实际反应过程中,MgO/MgV2O4氧化层的形成会严重阻碍反应动力学过程。为此,创新性地提出“氢还原—熔盐协同镁热还原”两步法新工艺,首先通过氢还原制备低价钒氧化物(V2O3、VO)并作为镁热还原工艺的原料,再利用反应型ZrCl4-KCl熔盐为介质打破氧化层包裹效应,突破动力学限制,在低温下同步实现钒氧化物的镁热还原与氧化层界面净化。经工艺参数优化(Mg添加量35%、反应时间1 h、温度800 ℃),最终制备出O含量约为0.16%的高纯金属钒。
Ti-2Al-2.5Zr钛合金氢化物析出取向研究
郭楠, 张家豪, 徐祺, 张恒泉, 王泽明, 陈家豪, 姚力夫
2025, 46(6): 84-89. doi: 10.7513/j.issn.1004-7638.2025.06.010
摘要(195) HTML(98) PDF(8)
摘要:
研究了含氢量对Ti-2Al-2.5Zr钛合金微观组织以及氢化物析出取向的影响。结果显示,高温气相充氢(质量分数)0.01%、0.05%后,合金内部形成了δ-氢化物。随着含氢量的增加,氢化物尺寸和密度逐渐增加。α-Ti/δ-氢化物具有{0001}α//{${1 \bar {1}1} $}δ, <$ {1\bar {2}10} $>α//<110>δ取向关系。氢化物析出导致的晶格膨胀会使得周边α-Ti基体和氢化物内部形成大量的位错,其尖端处的应力可穿过晶界,并诱导相邻晶粒内部形成氢化物。
脱硝催化剂载体二氧化钛脱水行为动力学研究
李化全, 刘夫生, 邱贵宝, 吕学伟
2025, 46(6): 90-97. doi: 10.7513/j.issn.1004-7638.2025.06.011
摘要(195) HTML(163) PDF(5)
摘要:
脱硝催化剂载体二氧化钛的脱水是制备过程中的关键控制环节。通过测定不同升温速率下脱硝催化剂载体二氧化钛热分析曲线,研究了不同气氛下脱硝催化剂载体二氧化钛的脱水行为动力学和反应机理。结果表明,脱硝催化剂载体二氧化钛的脱水行为与煅烧的气氛紧密相关,在含氧气氛和无氧气氛下脱水速度不同,含氧气氛下开始脱水较快,然后缓慢脱水到反应结束;无氧气氛则缓慢完成。采用无模函数和有模函数的方法进行了动力学计算,结果表明,脱硝催化剂载体二氧化钛的脱水行为在含氧气氛下符合Avrami-Erofeev方程,无氧气氛下符合幂函数法则,脱水过程受到晶核的形成和晶核长大的影响。
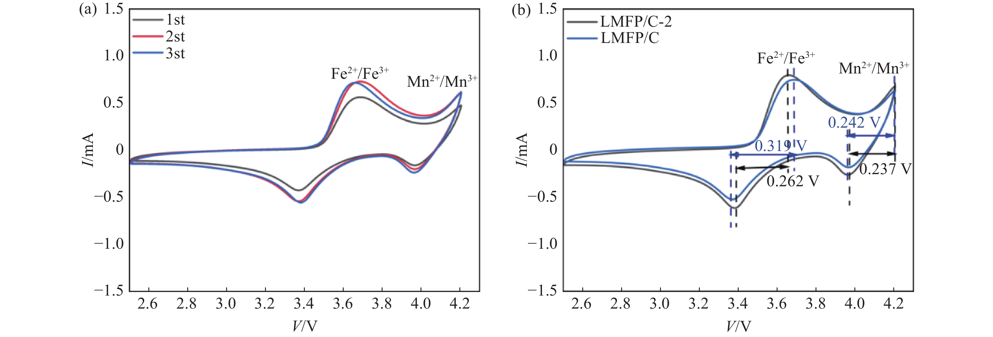
Mg-Ti共掺杂LiNi0.5Mn1.5O4对提高材料结构稳定和电化学性能的协同效应研究
黄振德, 彭迪
2025, 46(6): 98-105. doi: 10.7513/j.issn.1004-7638.2025.06.012
摘要(226) HTML(114) PDF(4)
摘要:
采用自聚合法合成Mg-Ti掺杂LNMO不同样品LiNi0.5-xMgxTiyMn1.5- y O4x= 0, 0.02; y= 0, 0.03)尖晶石正极材料。通过XRD、FTIR、SEM和EDS材料表征以及电化学性能测试,深入研究分析了Mg-Ti共掺杂LiNi0.5Mn1.5O4样品的晶体结构特征、微观形貌和掺杂元素分布等对充放电过程倍率性能和循环容量稳定性的影响。结果表明:Mg-Ti共掺杂可适当提高Mn3+含量,强化Fd3m空间群无序化程度,以及晶体粒径变小和分布更均匀,表现出更优异倍率性能和循环容量稳定性。在1C和10C不同倍率下,LiNi0.48Mg0.02Ti0.03Mn1.47O4材料放电容量分别为133 mAh/g与102 mAh/g,常温1C循环200次后放电容量仍为123 mAh/g,容量保持率92.5%。晶体结构和形貌对材料电化学影响结果表明,Mg-Ti共掺杂具有协同效应,对LiNi0.5Mn1.5O4的倍率性能和循环稳定性有着显著影响。
钛3D打印及其在生物医学植入物中的应用
吴小平, 徐卫, 刘永胜
2025, 46(6): 106-116, 123. doi: 10.7513/j.issn.1004-7638.2025.06.013
摘要(211) HTML(158) PDF(9)
摘要:
钛及钛合金具有优越的生物相容性、耐腐蚀性和机械特性,是少数可以安全地植入人体的金属材料,并应用于生物医学,包括植入物、牙科、手术工具、支架、组织工程和体外医疗器械。传统的钛及钛合金生物医学植入物采用减材和成型工艺制造。近年来,随着增材制造(3D打印)技术的发展,生物医学植入物制造可以直接使用来自医学成像获得的数据构建模型,并通过增材制造成型。增材制造生物医学植入物主要应用的技术为激光选区熔化(SLM)、电子束熔化(EBM)和定向能量沉积(DED)。纯钛(CP-Ti)和钛合金(Ti-64)是生物医学应用中最常见的钛金属材料。与传统制造方法相比,增材制造的关键优势是其多维度和个性化制造,且更具可重复性。为了更新钛和钛合金的生物医学植入物研究进展,综述了钛和钛合金、3D打印方法以及钛金属3D打印在生物医学中的应用,讨论和总结了3D打印的钛金属植入物在生物医学中的最新发展,并探讨了钛金属3D打印生物医学植入物的未来研究方向。
钢铁冶金与材料
不同高钛钢保护渣对TiO2夹杂物吸收行为的研究
代明杰, 陈守杰, 王学友, 张旭彬, 何生平, 王强强
2025, 46(6): 117-123. doi: 10.7513/j.issn.1004-7638.2025.06.014
摘要(334) HTML(206) PDF(11)
摘要:
为了提高高钛钢连铸过程中保护渣吸收夹杂物的速率,设计了五种潜在的高钛钢保护渣,将原位观察试验和旋转圆柱法相结合,分别观察和定量分析了各保护渣对TiO2夹杂物的吸收行为及吸收速率的差异,采用扫描电镜-能谱仪(SEM-EDS)对TiO2试样与保护渣接触的界面进行分析,以确定TiO2在保护渣中的溶解机理。结果表明,TiO2在CaO-SiO2-BaO渣中溶解速率最快,其次为低碱度CaO-SiO2渣,两种渣在原位试验中耗时较短,且完全溶解,在旋转圆柱试验中溶解速率分别为0.285 、0.281 mm/min。TiO2在高碱度CaO-SiO2、CaO-SiO2-Al2O3和CaO-SiO2-Al2O3-BaO渣系中溶解速率较慢,仅CSAB渣完全溶解,旋转圆柱试验中溶解速率分别为0.151、0.101 mm/min和0.191 mm/min。阻碍TiO2溶解的主要原因是溶解的TiO2与渣中CaO反应生成的高熔点CaTiO3使得保护渣局部粘度和熔点上升。
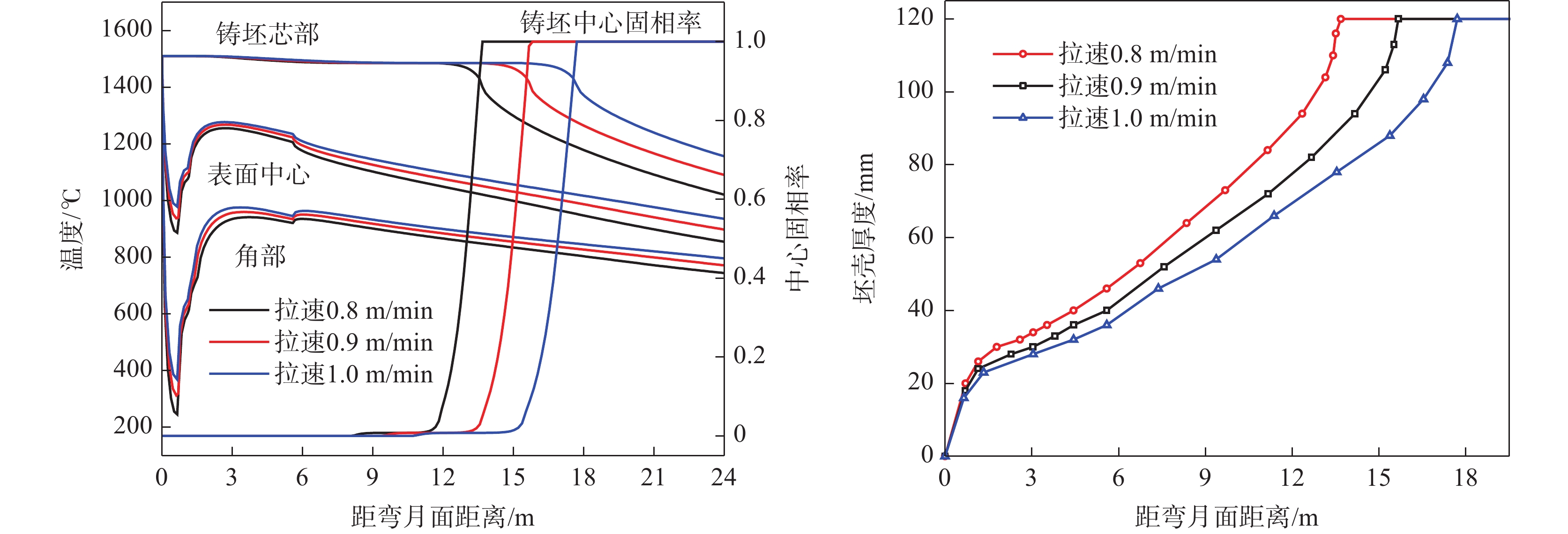
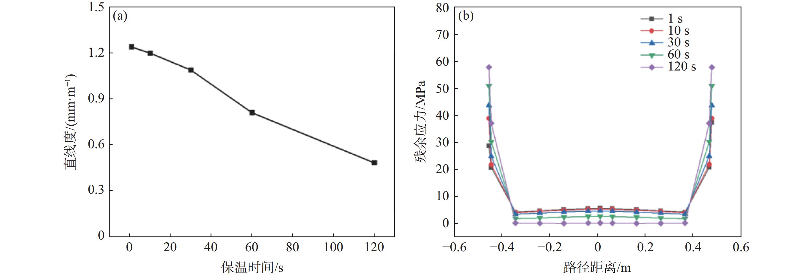
E355板坯凝固传热及压下位置研究
王添乐, 郭明辉, 郑鑫钰, 丰琦, 谢鑫, 关建超, 孙彦辉
2025, 46(6): 124-130. doi: 10.7513/j.issn.1004-7638.2025.06.015
摘要(157) HTML(101) PDF(3)
摘要:
为改善E355板坯连铸坯质量,通过数值模拟的方法,对现有生产状况进行了分析,分别研究了拉速、比水量和过热度对铸坯凝固过程和压下位置的影响。根据模拟结果,得到理论上该钢种更优的生产条件:拉速为1.1 m/min,比水量为0.66 L/kg,过热度为10 ℃,轻压下位置为距弯月面17.8~21.1 m,根据生产数据,压下位置应在seg.7~9。
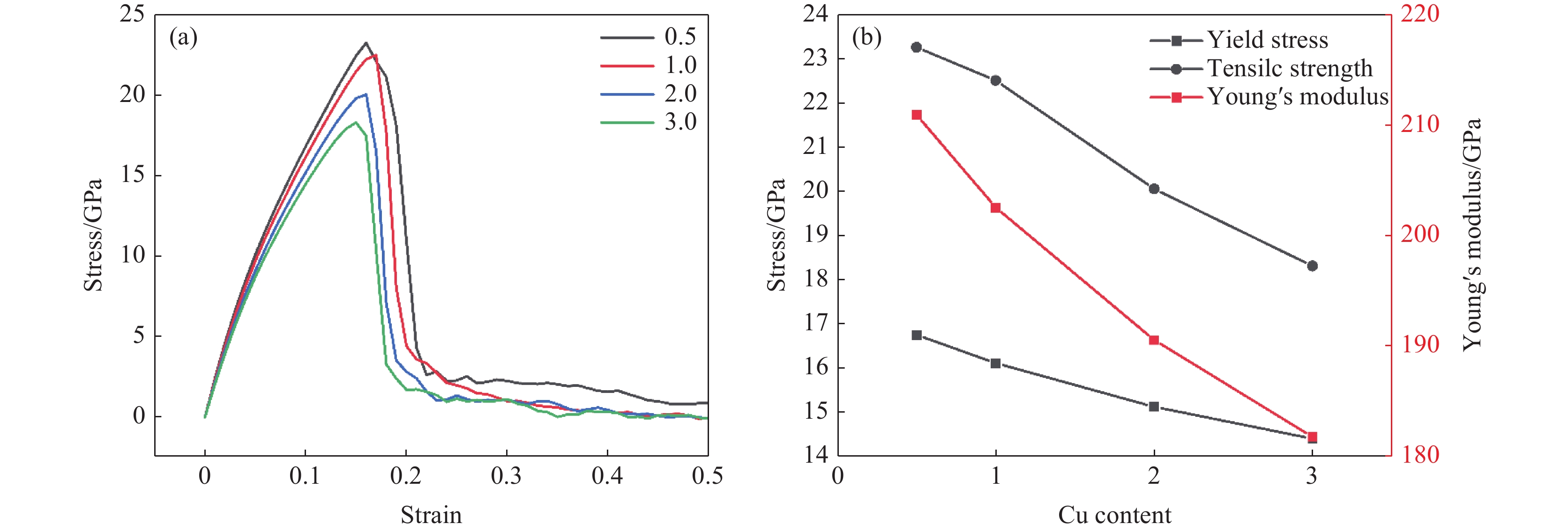
Fe-22Mn-0.6C-3.5Cu-0.3V高锰TWIP钢的时效强化研究
杨骏, 覃奎, 欧平, 王和斌, 李乘波, 韦春惠, 覃安婷
2025, 46(6): 131-137. doi: 10.7513/j.issn.1004-7638.2025.06.016
摘要(262) HTML(137) PDF(4)
摘要:
对熔炼制备的Fe-22Mn-0.6C-3.5Cu-0.3V高锰TWIP钢进行固溶和时效处理,研究该钢的时效析出行为和强化机理。结果表明:固溶态和时效态高锰TWIP钢的基体均为奥氏体组织,经时效处理后在奥氏体基体中析出纳米级的富Cu相和VC碳化物,它们均与基体存在立方取向关系,其中富Cu相与基体之间的界面是共格的,而VC碳化物是非共格的;室温拉伸力学性能显示富Cu相和VC碳化物的析出显著提高了高锰TWIP钢的屈服强度,与固溶态钢相比,时效态钢的屈服强度提高了60.6%;根据析出强化理论计算得到的屈服剪切应力增量与试验的结果相符合,其中来源于富Cu相位错切过强化机制的强度贡献占增量的60.8%,而来源于VC碳化物位错绕过强化机制的强度贡献占增量的39.2%。
热轧工艺对E级微合金角钢组织及性能的影响
李岩杰, 田秀刚, 杨洋, 李哲, 张春花, 孙巧梅, 张大征
2025, 46(6): 138-146. doi: 10.7513/j.issn.1004-7638.2025.06.017
摘要(217) HTML(136) PDF(3)
摘要:
针对E级微合金角钢,设计了系统性、多方案的模拟试验,通过分析原奥氏体加热长大规律、形变奥氏体再结晶、组织相变、第二相粒子析出等内容,阐明了加热温度、变形温度、冷却速率工艺对组织及性能的影响。结果表明:随着加热温度升高,铸坯原奥氏体晶粒尺寸呈阶段性增长,11251200 ℃温度区间内长大速率相对较慢。950~850 ℃为奥氏体区,随着变形温度降低,铁素体平均晶粒尺寸由11.2 μm减小到了9.2 μm;当温度降低至800~750 ℃两相区后,组织出现混晶,部分铁素体晶粒长大至13.6 μm。当冷速为2~5 ℃/s时,可获得均匀的铁素体+珠光体组织;当冷速达到10 ℃/s时,组织呈现为团簇珠光体+网状/针状铁素体。最后,经低温生产试制,铁素体晶粒尺寸细化了约30%,低温冲击韧性提高了约20%。
Zr对直接淬火Ti微合金化高强度低碳马氏体钢组织和性能的影响
熊雪刚, 罗瀚宇, 曾瀚, 曹建春, 周先超, 汪创伟
2025, 46(6): 147-156. doi: 10.7513/j.issn.1004-7638.2025.06.018
摘要(242) HTML(94) PDF(4)
摘要:
通过两阶段热机械加工结合直接淬火工艺,系统研究了在950~850 ℃的终轧温度范围,Zr对直接淬火Ti微合金化高强度低碳马氏体钢组织性能及强化机制的影响。结果表明,随着终轧温度的降低,Ti钢和Ti-Zr钢的硬度先升高后降低,Ti钢中的析出物的数量逐渐减少,而Ti-Zr钢中析出物的数量先增加后减少;终轧温度875 ℃时Ti钢的硬度(HV)达到最高值338.8,终轧温度900 ℃时Ti-Zr钢的硬度(HV)达到最大值332.2。Zr的加入使Ti微合金钢中显微组织的细小化和均匀化程度提高,使原始奥氏体晶粒平均尺寸减小了2.9~6.0 µm,几何必需位错密度由1.6×1013 m−2提高到6.6×1013 m−2,马氏体块的平均尺寸降低了0.13~0.38 µm。Zr的加入促进了Ti元素在奥氏体中的固溶,使碳氮化物从奥氏体中的形变诱导析出率降低了10%以上。此外,固溶强化和位错强化是Ti-Zr钢的主要强化机制,约占总屈服强度的60%。
脱碳对2100 MPa级V微合金化桥梁缆索钢丝力学性能的影响
苏启豪, 亓海全, 李新茹, 李腊梅, 杨子康, 谢盈盈, 姚小凤, 周忠成
2025, 46(6): 157-163. doi: 10.7513/j.issn.1004-7638.2025.06.019
摘要(257) HTML(108) PDF(2)
摘要:
为了量化脱碳层对超高强缆索钢丝力学性能的影响,系统研究了2100 MPa级V微合金化镀锌铝缆索钢丝的径向硬度分布、脱碳层深度及逐层剥离脱碳层后钢丝的力学性能。结果表明:①钢丝基体的径向硬度由表及里呈规律性提高,硬度(HV)最外层为601,心部为678,硬度数据证实钢丝的实际脱碳层深度可达(150±10) μm;②钢丝镀锌铝层厚度约为30 μm,镀锌铝层降低钢丝强度为11.17 MPa,对钢丝强度影响较小;③逐层剥离脱碳层后,钢丝基体的强度由2134.04 MPa增至2225.97 MPa,脱碳层使钢丝强度降低91.93 MPa,剥离140 μm后强度趋于稳定。由数据可知,脱碳层明显降低了缆索钢丝的整体强度,故严格控制盘条脱碳是开发超高强缆索钢丝的重要环节。
22MnB5钢亚温区加热淬火组织与力学性能的影响
姚小凤, 亓海全, 谢盈盈, 李欣欣, 李新茹, 李腊梅
2025, 46(6): 164-171. doi: 10.7513/j.issn.1004-7638.2025.06.020
摘要(238) HTML(143) PDF(6)
摘要:
通过设计不同加热时间和保温时间的热处理制度,系统研究了680~930 ℃不同温度对22MnB5钢淬火组织与力学性能的影响。结果表明,在低温区(680~700 ℃)长时间受热会导致材料软化,高温区(850~930 ℃)长时间受热对力学性能提高有限;而在亚温区(720~820 ℃)长时间受热时,力学性能显著提高。尤其是在820 ℃加热20 min后淬火,抗拉强度和屈服强度分别达到1589 MPa和1078 MPa,较原始状态分别提升151.02%和132.82%。研究表明,通过优化亚温区加热制度,22MnB5钢可以在低于现有工艺温度下获得1500 MPa级别的抗拉强度,为解决现有热成形工艺问题提供了新途径。
22MnB5/DP980异种钢电阻点焊接头组织及力学性能分析
王海林, 詹洪顺, 王金凤, 张元好, 杨鍶伟
2025, 46(6): 172-178. doi: 10.7513/j.issn.1004-7638.2025.06.021
摘要(217) HTML(117) PDF(3)
摘要:
利用MD-40中频逆变点凸焊设备,对1.2 mm厚22MnB5与1.6 mm厚DP980异种钢开展电阻点焊试验,结合拉伸试验、显微硬度测试、金相组织观察等方法,研究不同焊接电流与时间对22MnB5/DP980点焊接头成形质量、微观组织及力学性能的影响。结果表明:随焊接电流的增大,接头拉剪力呈现持续上升趋势,当焊接电流为11 kA时,拉剪力达到峰值16.81 kN;焊接时间的延长同样会使接头拉剪力不断提高,在焊接时间为400 ms时,拉剪力达到峰值17.23 kN,与焊接电流相比,焊接时间对接头拉剪力的提升作用更显著,但当焊接时间为400 ms时,会出现电极与材料粘连及飞溅现象,从而加剧电极的磨损。综合考虑焊接电流及时间对22MnB5/DP980焊接接头拉伸力学性能的影响,确定相对优异的焊接工艺参数为:电极压力0.2 MPa、焊接电流11 kA、焊接时间350 ms。焊接接头DP980钢侧热影响区存在软化现象,熔核区硬度高于热影响区,且焊接电流越大,该侧热影响区软化程度越严重;而22MnB5钢侧热影响区则发生硬化现象,热影响区硬度高于熔核区,接头的显微硬度值由高到低依次为22MnB5钢侧热影响区、熔核区、DP980钢侧热影响区。22MnB5/DP980焊接接头断裂方式为部分熔核拔出断裂,即熔核未完全拔出,拔出时沿熔核周围撕裂22MnB5侧母材,DP980侧无撕裂,熔核附着于DP980钢一侧。
轧后调质处理对热轧Q345R钢中元素偏析与带状组织的调控作用
杨艳, 汪贺模, 高擎, 彭飞, 张开铭, 袁武华
2025, 46(6): 179-185. doi: 10.7513/j.issn.1004-7638.2025.06.022
摘要(186) HTML(89) PDF(4)
摘要:
深入探究了轧后调质处理(890 ℃淬火+710 ℃回火)对热轧Q345R钢中元素偏析及其引发的带状组织的调控作用与机制。结果表明:热轧Q345R钢由再结晶铁素体和珠光体组成,珠光体呈带状分布,铁素体晶界及晶内的珠光体呈颗粒状分布;经过轧后调质处理的Q345R钢基体组织为回火马氏体,且内部存在少量再结晶马氏体,回火马氏体中富C富Mn区域存在渗碳体密集析出带。热轧和轧后调质处理Q345R钢中均存在显著的C、Mn元素偏析,且带状组织(珠光体带或渗碳体析出带)均与元素偏析带高度重合。轧后调质处理虽未消除凝固遗留的元素偏析,但通过马氏体相变有效打破了固态相变对原始元素分布的高度依赖性,显著调控了带状组织的形成模式与特征,并将带状组织等级从5B降低至3B;同时,将软硬相强度差值从206.76 MPa调控降低至119.48 MPa,有效改善了因带状组织导致的力学性能不均匀性。
弛豫时间对薄规格450 MPa级高强钢微观组织和性能的影响
韩楚菲, 董毅, 时晓光, 孙成钱, 王俊雄, 李智, 徐海健
2025, 46(6): 186-190, 200. doi: 10.7513/j.issn.1004-7638.2025.06.023
摘要(215) HTML(145) PDF(5)
摘要:
采用室温拉伸、-20 ℃时CVN冲击、-15 ℃时DWTT落锤撕裂试验等力学性能测试方法和光学显微镜(OM)、扫描电镜(SEM)、透射电镜(TEM)等显微组织分析手段,研究了轧后驰豫时间0、30、60、75 s对薄规格450 MPa级高强钢微观组织和力学性能的影响。试验结果表明,随着弛豫时间延长,多边形铁素体(PF)尺寸逐渐长大、比例逐渐增加,晶粒内部富Nb、Ti纳米碳氮化物析出量呈现先增加后减少的趋势,屈服强度、抗拉强度、断后伸长率和-20 ℃下的冲击功和-15 ℃的DWTT呈现先升高后降低的趋势,屈强比先降低后升高,驰豫时间为60s时能够获得较高的强韧性和低屈强比,可满足工程结构用钢的技术要求。
拉速对Fe6.5SixB合金定向退火区和初始过渡区组织及性能影响
董中奇, 向星宇, 刘雅俊, 潘恩宝, 孟延军, 武晓龙
2025, 46(6): 191-200. doi: 10.7513/j.issn.1004-7638.2025.06.024
摘要(158) HTML(77) PDF(2)
摘要:
采用定向凝固技术制备Fe6.5SixB合金,研究了拉速和B含量对合金定向凝固定向退火区和初始过渡区组织演变以及力学性能和磁性能的影响。采用XRD测定合金组织结构,扫描电镜分析合金显微组织及相组成,高低温振动样品磁强计测定合金磁性能。结果表明,Fe6.5SixB合金定向退火区柱状枝晶平行拉速方向生长,过渡区为大块状晶粒。Fe6.5Si合金定向退火区主要由A2相和(A2+D03)层状组织组成,添加B后定向退火区由A2相和(A2+Fe2B)层片状共晶组织组成。随拉速增加Fe6.5Si合金中(B2+D03)层状组织含量增多,Fe6.5SixB合金中(A2+Fe2B)层状组织变细;合金应变值先增加后降低。随B含量增加Fe6.5SixB合金磁极化强度(Js)和矫顽力呈现降低趋势,剩磁(Jr)呈现增加趋势,合金硬度值降低。