中文核心期刊

SCOPUS 数据库收录期刊

中国科技核心期刊

美国《化学文摘》来源期刊

中国优秀冶金期刊

美国EBSCO数据库收录期刊

RCCSE中国核心学术期刊

美国《剑桥科学文摘》来源期刊

中国应用核心期刊(CACJ)

美国《乌利希期刊指南》收录期刊

中国学术期刊综合评价统计源刊

俄罗斯《文摘杂志》来源期刊

优秀中文科技期刊(西牛计划)

日本《科学技术文献数据库》(JST)收录刊

留言板

尊敬的读者、作者、审稿人, 关于本刊的投稿、审稿、编辑和出版的任何问题, 您可以本页添加留言。我们将尽快给您答复。谢谢您的支持!

姓名
邮箱
手机号码
标题
留言内容
验证码

基于Z-A本构模型TC4钛合金高温流变行为的预测

沈建成 贾海深 张继林 罗文翠 易湘斌

沈建成, 贾海深, 张继林, 罗文翠, 易湘斌. 基于Z-A本构模型TC4钛合金高温流变行为的预测[J]. 钢铁钒钛, 2024, 45(4): 76-83. doi: 10.7513/j.issn.1004-7638.2024.04.012
引用本文: 沈建成, 贾海深, 张继林, 罗文翠, 易湘斌. 基于Z-A本构模型TC4钛合金高温流变行为的预测[J]. 钢铁钒钛, 2024, 45(4): 76-83. doi: 10.7513/j.issn.1004-7638.2024.04.012
Shen Jiancheng, Jia Haishen, Zhang Jilin, Luo Wencui, Yi Xiangbin. Prediction of high temperature rheological behavior of TC4 titanium alloy based on Z-A constitutive model[J]. IRON STEEL VANADIUM TITANIUM, 2024, 45(4): 76-83. doi: 10.7513/j.issn.1004-7638.2024.04.012
Citation: Shen Jiancheng, Jia Haishen, Zhang Jilin, Luo Wencui, Yi Xiangbin. Prediction of high temperature rheological behavior of TC4 titanium alloy based on Z-A constitutive model[J]. IRON STEEL VANADIUM TITANIUM, 2024, 45(4): 76-83. doi: 10.7513/j.issn.1004-7638.2024.04.012

基于Z-A本构模型TC4钛合金高温流变行为的预测

doi: 10.7513/j.issn.1004-7638.2024.04.012
基金项目: 甘肃省重点人才项目 ( 甘组通字 [2022]77 号 );甘肃省科技计划项目-重点研发(22YF7FA132);甘肃省产业支撑项目(2021CYZC-52);甘肃省高校教师创新基金项目(2024B-187);兰州工业学院“启智”人才培养计划(2018QZ-03)。
详细信息
    作者简介:

    沈建成,1981年出生,男,河南南阳人,硕士,副教授,主要从事金属材料力学性能研究与高速切削加工,E-mall:155230180@qq.com

    通讯作者:

    贾海深,男,河南周口人,硕士,副教授,主要从事金属材料动态力学行为方面的研究,E-mall:jhsk9365@126.com

  • 中图分类号: TF823,TG115.5

Prediction of high temperature rheological behavior of TC4 titanium alloy based on Z-A constitutive model

  • 摘要: 在描述材料承受不同变形条件下的响应行为及其热成形工艺过程优化方面,本构模型具有重要意义。因此,为了获得准确描述TC4钛合金高温流变行为的物理本构模型,利用Gleeble-3800热模拟试验机,在不同温度(550 ~950 ℃)下、不同应变速率(0.01、0.1、1 s−1)下完成了等温压缩试验。依据试验数据,对改进的Z-A本构模型参数进行了标定,并对其有效性进行了分析。基于分析结果,建立了一种优化的Z-A本构模型,借助相关性系数R,平均相对误差值AARE和均方根误差RSME三种统计参数,探讨了该模型的可预测性。结果表明优化的Z-A本构模型能够准确地预测该材料的高温流变行为,其模型的R、AARE和RSME分别为0.9994,1.62%和1.3248
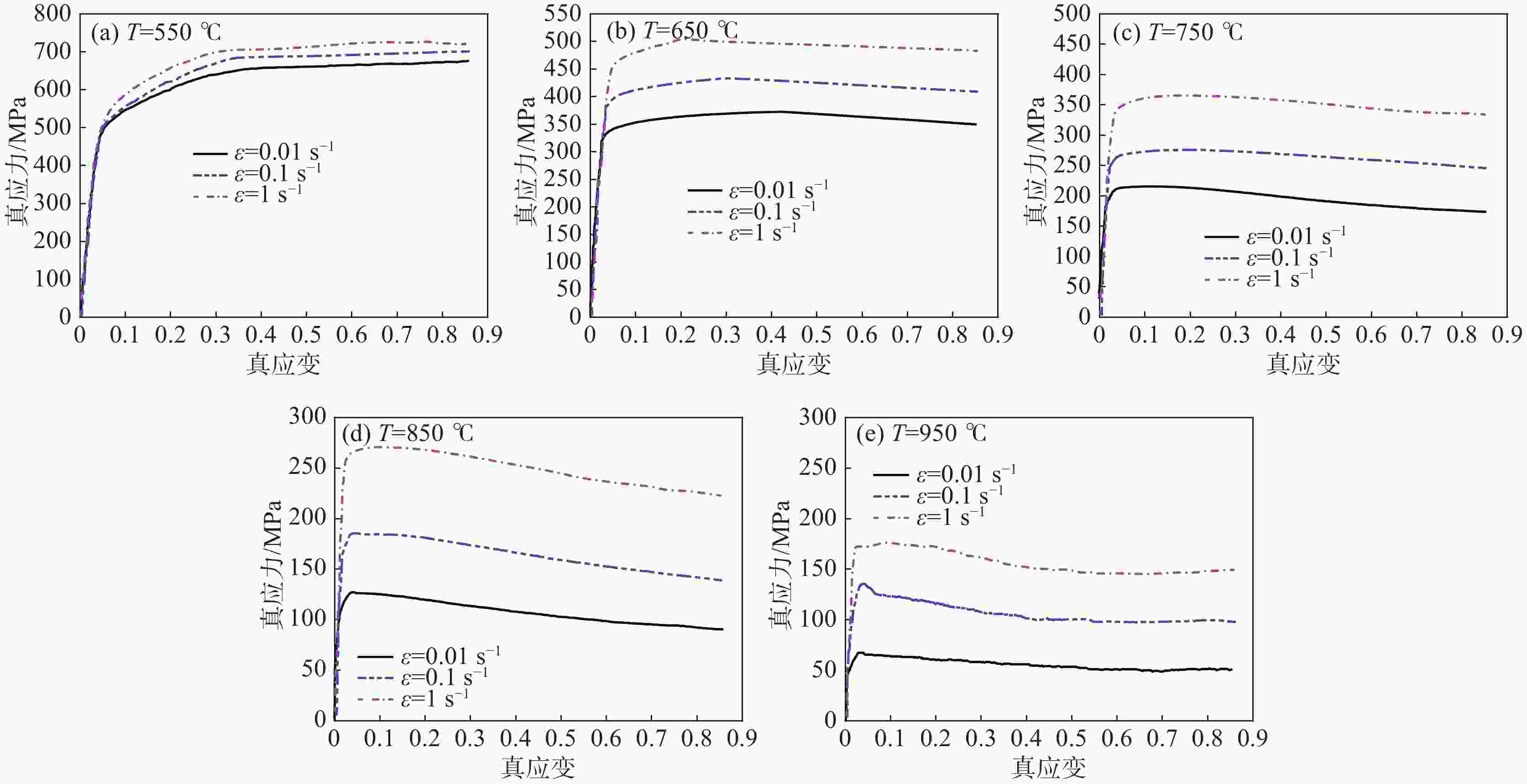
  • 图  1  不同条件下TC4钛合金的应力-应变曲线

    Figure  1.  Stress-strain curves of TC4 titanium alloy under different conditions

    图  2  参数相关性拟合结果

    (a) $ \ln \sigma $与$ {T^*} $的相关性;(b) $ \ln(\text{e}^{\text{I}_1}-\mathit{\text{C}}_1) $与$ \ln \varepsilon $的相关性;(c)I2ε的相关性;(d) $ \ln \sigma $与$ \ln {\dot \varepsilon ^ * } $的相关性;(e)$ {{{I}}_3} $与$ {T^*} $的相关性

    Figure  2.  Fitting results of parameters correlation

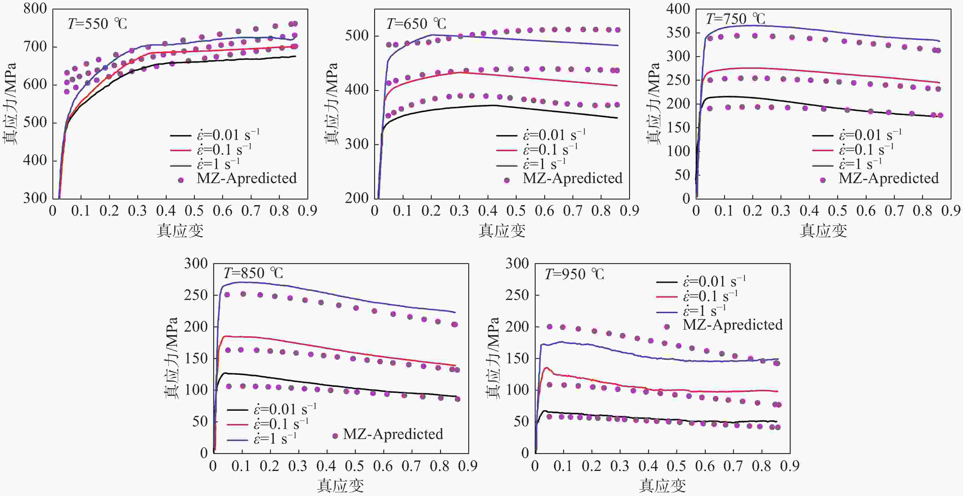
    图  3  不同温度下改进的Z-A模型预测值与试验值的对比

    Figure  3.  Comparison between the experimental and predicted values of the modified Z-A model under different temperatures

    图  4  优化后的拟合关系

    (a) I3ε的变化关系;(b) $ {{\text{e}}^{{{{I}}_1}}} $与ε的拟合关系 ;(c) I2与ε的拟合关系

    Figure  4.  Optimized fitting results

    图  5  不同温度下的试验值与优化的Z-A本构模型预测值间的对比

    Figure  5.  Comparison between the experimental and predicted values of the optimized Z-A model under different temperatures

    图  6  优化的Z-A模型的预测值与试验值间的相关性

    Figure  6.  Correlation between the experimental and predicted values of the optimized Z-A model

    表  1  TC4钛合金化学成分

    Table  1.   Chemical composition of TC4 titanium alloy %

    AlVFeCNHOTi
    6.54.20.280.080.040.0120.18Bal.
    下载: 导出CSV

    表  2  不同应变处C5、 C6的值

    Table  2.   Values of C5 and C6 at different strains

    ε C5
    C6
    0.1 0.01507
    0.000497
    0.2 0.01701
    0.000524
    0.3 0.01765 0.000530
    0.4 0.01642
    0.000556
    0.5 0.01763 0.000583
    0.6 0.01843
    0.000545
    0.7 0.01781
    0.000564
    0.8 0.01896 0.000596
    下载: 导出CSV

    表  3  改进的Z-A本构模型参数

    Table  3.   Parameters of the modified Z-A constitutive model

    C1 C2 C3 C4 C5 C6 n
    538 175.98169 0.00539 0.00164 0.01781 0.000564 0.45742
    下载: 导出CSV

    表  4  参数d0d5的数值

    Table  4.   Values of d0d5 parameters

    d0 d1 d2 d3 d4 d5
    0.015377 0.006469 0.008046 0.007020 0.000501 0.000075
    下载: 导出CSV

    表  5  优化的Z-A模型相关性系数(R)平均相对误差(AARE)及均方根误差(RMSE)

    Table  5.   Correlation coefficient and average relative error of the optimized Z-A model

    本构模型相关性系数(R平均相对误差(AARE)/%均方根误差(RMSE)
    OZ-A0.99941.621.3248
    下载: 导出CSV
  • [1] Williams J C, Boyer R R. Opportunities and issues in the application of titanium alloys for aerospace components[J]. Metals, 2020,10(6):705. doi: 10.3390/met10060705
    [2] Ji Ce, Huang Huagui, Wang Tao, et al. Recent advances and future trends in processing methods and characterization technologies of aluminum foam composite structures: A review[J]. Journal of Manufacturing Processes, 2023, 93: 116-152.
    [3] Jin Hexi, Wei Kexiang, Li Jianming, et al. Research progress of titanium alloys for aviation[J]. The Chinese Journal of Nonferrous Metals, 2015,25(2):280-292. (金和喜, 魏克湘, 李建明, 等. 航空用钛合金研究进展[J]. 中国有色金属学报, 2015,25(2):280-292.

    Jin Hexi, Wei Kexiang, Li Jianming, et al. Research progress of titanium alloys for aviation[J]. The Chinese Journal of Nonferrous Metals, 2015, 25(2): 280-292.
    [4] Zhu Zhishou. Research status and development of titanium alloy technology for aviation in China[J]. Journal of Aeronautical Materials, 2014,34(4):44-50. (朱知寿. 我国航空用钛合金技术研究现状及发展[J]. 航空材料学报, 2014,34(4):44-50. doi: 10.11868/j.issn.1005-5053.2014.4.004

    Zhu Zhishou. Research status and development of titanium alloy technology for aviation in China[J]. Journal of Aeronautical Materials, 2014, 34(4): 44-50. doi: 10.11868/j.issn.1005-5053.2014.4.004
    [5] Zhang Bi, Yang Fulun, Wang Jiexin. Fundamental aspects in vibration-assisted tapping[J]. Journal of Materials Processing Technology, 2003,132(1-3):345-352. doi: 10.1016/S0924-0136(02)00950-0
    [6] Hor A, Morel F, Lebrun J, et al. An experimental investigation of the behaviour of steels over large temperature and strain rate ranges[J]. International Journal of Mechanical Sciences, 2013,67:108-122. doi: 10.1016/j.ijmecsci.2013.01.003
    [7] Muszka K, Dziedzic D, Madej L, et al. The development of ultrafine-grained hot rolling products using advanced thermomechanical processing[J]. Materials Science and Engineering A, 2014,610:290-296. doi: 10.1016/j.msea.2014.05.051
    [8] Ma Xiong, Zeng Weidong, Sun Yu, et al. Modeling constitutive relationship of Ti17 titanium alloy with lamellar starting microstructure[J]. Materials Science and Engineering A, 2012,538:182-189. doi: 10.1016/j.msea.2012.01.027
    [9] Wu Shuaihuai, Zhu Baohong, Jiang Wei, et al. Hot deformation behavior and microstructure evolution of a novel Al-Zn-Mg-Li-Cu alloy[J]. Materials, 2022,15(19):6769. doi: 10.3390/ma15196769
    [10] Zhang Ming, Liu Xianli, Yue Caixu. Study on constitutive model for titanium alloy by coupling strain-temperature and dynamic crystallization mechanical[J]. Science and Technology for Aerospace Engineering, 2021,40(11):1641-1648. (张铭, 刘献礼, 岳彩旭, 等. 考虑应变-温度耦合与高温动态结晶的钛合金本构模型研究[J]. 机械科学与技术, 2021,40(11):1641-1648.

    Zhang Ming, Liu Xianli, Yue Caixu. Study on constitutive model for titanium alloy by coupling strain-temperature and dynamic crystallization mechanical[J]. Science and Technology for Aerospace Engineering, 2021, 40(11): 1641-1648.
    [11] Shin H, Ju Y, Choi M K, et al. Flow stress description characteristics of some constitutive models at wide strain rates and temperatures[J]. Technologies, 2022,10(2):52. doi: 10.3390/technologies10020052
    [12] Jiang Ziwei, Yang Dong, Chen Jianbin. Dynamic constitutive model of titanium alloy Ti-6A1-4V for high speed cutting: A review[J]. Journal of Aeronautical Materials, 2023,43(4):55-67. (姜紫薇, 杨东, 陈建彬. 面向高速切削的钛合金Ti-6Al-4V动态本构模型: 综述[J]. 航空材料学报, 2023,43(4):55-67. doi: 10.11868/j.issn.1005-5053.2022.000169

    Jiang Ziwei, Yang Dong, Chen Jianbin. Dynamic constitutive model of titanium alloy Ti-6A1-4V for high speed cutting: A review[J]. Journal of Aeronautical Materials, 2023, 43(4): 55-67. doi: 10.11868/j.issn.1005-5053.2022.000169
    [13] Feng Qiuyuan, Guo Jialin, Yang Jun, et al. Hot deformation behavior of Ti60 high temperature titanium alloy I: Constitutive equations[J]. Journal of Plasticity Engineering, 2021,28(11):158-166. (冯秋元, 郭佳林, 杨军, 等. Ti60高温钛合金的热变形行为 Ⅰ: 本构方程[J]. 塑性工程学报, 2021,28(11):158-166. doi: 10.3969/j.issn.1007-2012.2021.11.022

    Feng Qiuyuan, Guo Jialin, Yang Jun, et al. Hot deformation behavior of Ti60 high temperature titanium alloy I: Constitutive equations[J]. Journal of Plasticity Engineering, 2021, 28(11): 158-166. doi: 10.3969/j.issn.1007-2012.2021.11.022
    [14] Chen Xuewen, Zhang Bo, Du Yuqing, et al. Constitutive model parameter identification based on optimization method and formability analysis for Ti6Al4V alloy[J]. Materials, 2022,15(5):1748. doi: 10.3390/ma15051748
    [15] Wen Feijuan, Wen Qifei, Long Zhang, et al. Hot deformation behavior and constitutive model of TC17 titanium[J]. Alloy Materials for Mechanical Engineering, 2023,47(8):86-92, 99. (温飞娟, 温奇飞, 龙樟, 等. TC17钛合金热变形行为及本构模型[J]. 机械工程材料, 2023,47(8):86-92, 99. doi: 10.11973/jxgccl202308014

    Wen Feijuan, Wen Qifei, Long Zhang, et al. Hot deformation behavior and constitutive model of TC17 titanium[J]. Alloy Materials for Mechanical Engineering, 2023, 47(8): 86-92, 99. doi: 10.11973/jxgccl202308014
    [16] Song Gao, Sang Ye, Li Qihan, et al. Constitutive modeling and microstructure research on the deformation mechanism of Ti-6Al-4V alloy under hot forming condition[J]. Journal of Alloys and Compounds, 2021, 892: 162128.
    [17] Chen Can, Chen Minghe, Xie Lansheng, et al. Flow behavior of TA32 titanium alloy at high temperature and its constitutive model[J]. Rare Metal Materials and Engineering, 2019,48(3):827-834. (陈灿, 陈明和, 谢兰生, 等. TA32新型钛合金高温流变行为及本构模型研究[J]. 稀有金属材料与工程, 2019,48(3):827-834.

    Chen Can, Chen Minghe, Xie Lansheng, et al. Flow behavior of TA32 titanium alloy at high temperature and its constitutive model[J]. Rare Metal Materials and Engineering, 2019, 48(3): 827-834.
    [18] Zhan H Y, Wang G, Kent D, et al. Constitutive modelling of the flow behaviour of a β titanium alloy at high strain rates and elevated temperatures using the Johnson–Cook and modified Zerilli–Armstrong models[J]. Materials Science & Engineering A, 2014,612:71-79.
    [19] Samantaray D, Mandal S, Borah U, et al. A thermo-viscop-lastic constitutive model to predict elevated-temperature flow behaviour in a titanium-modified austenitic stainless steel[J]. Materials Science and Engineering A, 2009,526(1-2):1-6. doi: 10.1016/j.msea.2009.08.009
    [20] Mirzaie T, Mirzadeh H, Cabrera J M. A simple Zerilli–Armstrong constitutive equation for modeling and prediction of hot deformation flow stress of steels[J]. Mechanics of Materials, 2016,94:38-45. doi: 10.1016/j.mechmat.2015.11.013
    [21] Jia Haishen, Xia Shiyu, Zhang Jilin, et al. Study on rheological behavior and constitutive model of TA 17 titanium alloy at high strain rate[J]. Journal of Mechanical Strength, 2022,44(4):837-844. (贾海深, 夏世玉, 张继林, 等. 高应变率下TA17钛合金的流变行为及其本构模型研究[J]. 机械强度, 2022,44(4):837-844.

    Jia Haishen, Xia Shiyu, Zhang Jilin, et al. Study on rheological behavior and constitutive model of TA 17 titanium alloy at high strain rate[J]. Journal of Mechanical Strength, 2022, 44(4): 837-844.
    [22] Shayanpoor A A, Rezaei Ashtiani H R. The phenomeno-logical and physical constitutive analysis of hot fow behavior of Al/Cu bimetal composite[J]. Applied Physics A, 2022,128:636. doi: 10.1007/s00339-022-05769-6
  • 加载中
图(6) / 表(5)
计量
  • 文章访问数:  217
  • HTML全文浏览量:  85
  • PDF下载量:  15
  • 被引次数: 0
出版历程
  • 收稿日期:  2023-11-14
  • 刊出日期:  2024-08-30

目录

    /

    返回文章
    返回