Influence of stacking direction on the local cyclic plastic behavior of selective laser melted TC4 alloy notched parts
-
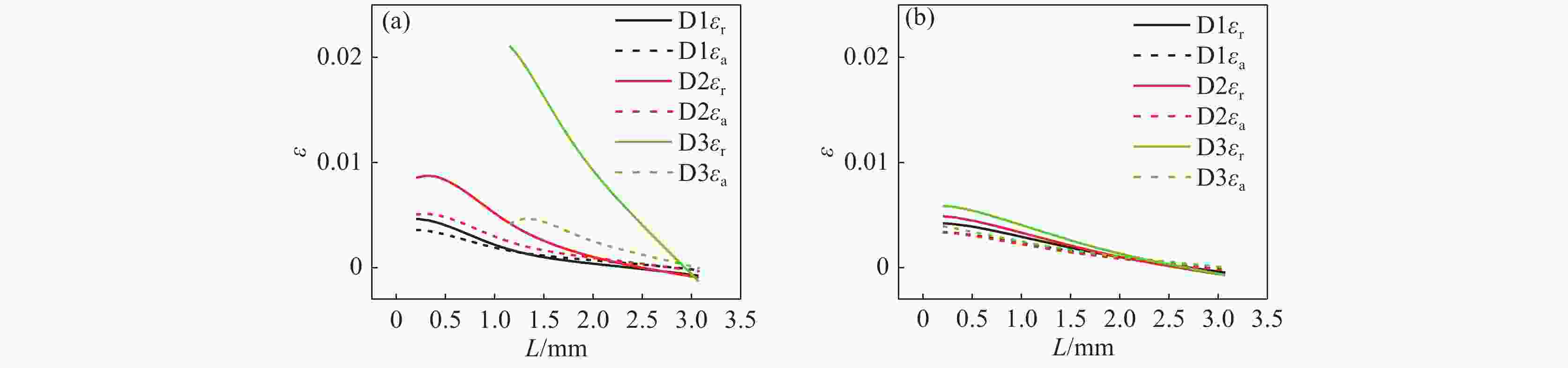
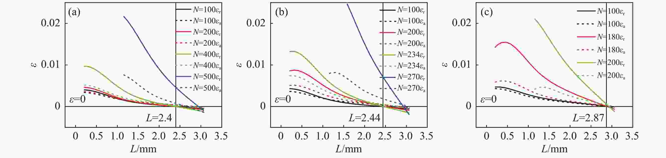
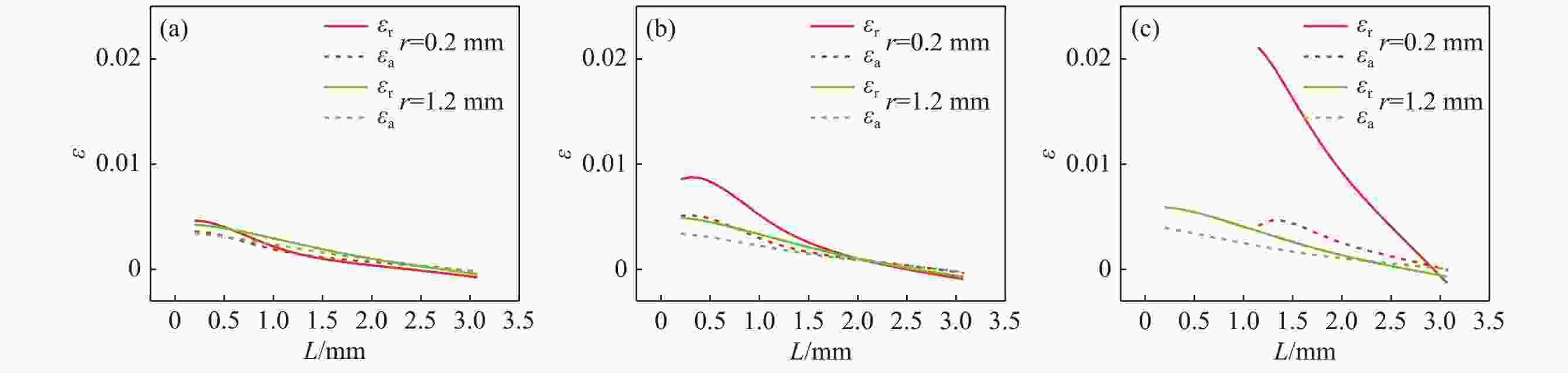
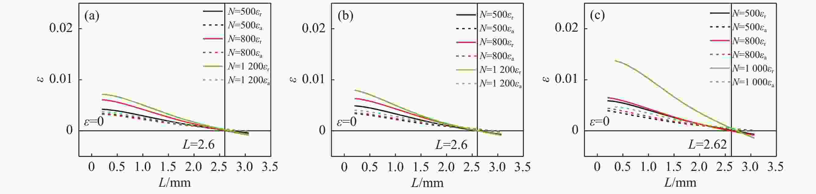
摘要: 通过数字图像相关技术从宏观塑性变形方面研究了堆积方向对激光选区熔化(SLM)TC4合金缺口件局部循环塑性行为的影响。结果表明:缺口附近的塑性变形受堆积方向和缺口半径的影响,进而影响缺口件的疲劳寿命。缺口根部的棘轮应变及其应变率随堆积方向改变(0°至90°)而降低,同时也随缺口半径的增加而降低。与缺口半径相比,棘轮应变及应变率和疲劳寿命对堆积方向敏感性更低。研究结果为SLM构件的疲劳设计提供了一定的理论参考。Abstract: In this paper the influence of stacking direction on the local cyclic plastic behavior of selective laser melted (SLM) TC4 alloy notched parts had been investigated through digital image correlation technology. The results indicate that the plastic deformation near the root of the notched parts can be influenced by the stacking direction and notch radius, thereby affecting the fatigue life of the notched parts. The ratcheting strain and strain rate near the root of the notch decrease with the change of stacking direction (from 0° to 90°), and also decrease with the change of the notch radius. Compared with effect by notch radius, stacking direction cause less influence on the ratchet strain, strain rate and fatigue life. The research results will provide a certain theoretical reference for the fatigue design of SLM parts.
-
Key words:
- TC4 /
- selective laser melted /
- stacking direction /
- notch /
- cyclic plasticity /
- ratcheting strain /
- fatigue life /
- DIC
-
表 1 3D打印钛合金化学成分
Table 1. Chemical composition of 3D printed titanium alloy
% Ti Al V Fe Si C N O H 余量 5.86 4.18 0.04 0.03 0.013 0.0054 0.099 0.0011 表 2 两种缺口半径不同堆积方向试样的疲劳寿命
Table 2. Fatigue life of two different notch radii with different stacking directions
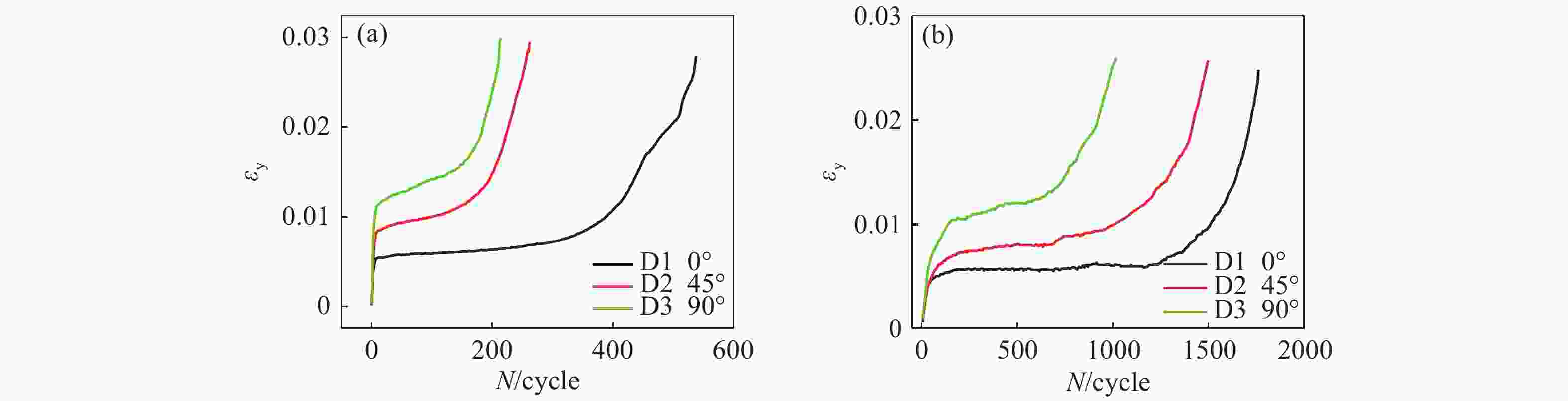
缺口半径r/mm 堆积方向/(°) 寿命N/周次 0.2 D1 0° 538 D2 45° 290 D3 90° 215 1.2 D1 0° 1790 D2 45° 1650 D3 90° 1040 -
[1] Zhang Saibo, Zhao Junsong, Li Xiaohai, et al. Application and development prospect of metal 3D printing technology[J]. Equipment Manufacturing Technology, 2022(11):207-210. (张赛博, 赵俊淞, 李小海, 等. 金属3D打印技术的应用与发展前景[J]. 装备制造技术, 2022(11):207-210.Zhang Saibo, Zhao Junsong, Li Xiaohai, et al. Application and development prospect of metal 3D printing technology[J]. Equipment Manufacturing Technology, 2022(11): 207-210. [2] Wang Huaming. Materials’ fundamental issues of laser additive manufacturing for high-performance large metallic components[J]. Acta Aeronautica et Astronautica Sinica, 2014,35(10):2690-2698. (王华明. 高性能大型金属构件激光增材制造: 若干材料基础问题[J]. 航空学报, 2014,35(10):2690-2698.Wang Huaming. Materials’ fundamental issues of laser additive manufacturing for high-performance large metallic components[J]. Acta Aeronautica et Astronautica Sinica, 2014, 35(10): 2690-2698. [3] Zhao Yong, Lin Feng, Tian Yinjun. Research on 3D printing manufacturing of TC4 components for solid rocket engines[J]. Journal of Propulsion Technology, 2022,43(12):276-284. (赵勇, 林峰, 田银俊. 固体火箭发动机TC4构件的3D打印制造研究[J]. 推进技术, 2022,43(12):276-284.Zhao Yong, Lin Feng, Tian Yinjun. Research on 3D printing manufacturing of TC4 components for solid rocket engines[J]. Journal of Propulsion Technology, 2022, 43(12): 276-284. [4] Qi Zhao, Wang Bin, Zhang Peng, et al. Effect of stress ratio on the steady-state fatigue crack expansion rate of defective selected laser melted TC4 alloy[J]. Acta Metallurgica Sinica, 2023,59(10):1411-1418. (戚钊, 王斌, 张鹏, 等. 应力比对含缺陷选区激光熔化TC4合金稳态疲劳裂纹扩展速率的影响[J]. 金属学报, 2023,59(10):1411-1418.Qi Zhao, Wang Bin, Zhang Peng, et al. Effect of stress ratio on the steady-state fatigue crack expansion rate of defective selected laser melted TC4 alloy[J]. Acta Metallurgica Sinica, 2023, 59(10): 1411-1418. [5] Zhan Z X. Fatigue life calculation for TC4-TC11 titanium alloy specimens fabricated by laser melting deposition[J]. Theoretical and Applied Fracture Mechanics, 2018,96:114-122. doi: 10.1016/j.tafmec.2018.04.009 [6] Wang Yanrong, Li Hongxin, Yuan Shanhu, et al. Notched fatigue life prediction method considering stress gradient[J]. Journal of Aerospace Power, 2013,28(6):1208-1214. (王延荣, 李宏新, 袁善虎, 等. 考虑应力梯度的缺口疲劳寿命预测方法[J]. 航空动力学报, 2013,28(6):1208-1214.Wang Yanrong, Li Hongxin, Yuan Shanhu, et al. Notched fatigue life prediction method considering stress gradient[J]. Journal of Aerospace Power, 2013, 28(6): 1208-1214. [7] Liao D, Gao J W, Zhu S P, et al. Fatigue behaviour of EA4T notched specimens: experiments and predictions using the theory of critical distance[J]. Engineering Fracture Mechanics, 2023,286:109269. doi: 10.1016/j.engfracmech.2023.109269 [8] Razavi S M J, Ferro P, Berto F. Fatigue assessment of Ti-6Al-4V circular notched specimens produced by selective laser melting[J]. Metals, 2017,7(8):291. doi: 10.3390/met7080291 [9] Bao Zhenqiang. Effect of notch geometry to the high cycle fatigue strength of TC4 and prediction[D]. Nanjing: Nanjing University of Aeronautics and Astronautics, 2014. (包珍强. 缺口对TC4高循环疲劳强度的影响及预测方法研究[D]. 南京: 南京航空航天大学, 2014.Bao Zhenqiang. Effect of notch geometry to the high cycle fatigue strength of TC4 and prediction[D]. Nanjing: Nanjing University of Aeronautics and Astronautics, 2014. [10] Qian G, Li Y, Paolino D S, et al. Very-high-cycle fatigue behavior of Ti-6Al-4V manufactured by selective laser melting: Effect of build orientation[J]. International Journal of Fatigue, 2020,136:105628. doi: 10.1016/j.ijfatigue.2020.105628 [11] Sun W, Huang W, Zhang W, et al. Effects of build direction on tensile and fatigue performance of selective laser melting Ti6Al4V titanium alloy[J]. International Journal of Fatigue, 2020,130:105260. doi: 10.1016/j.ijfatigue.2019.105260 [12] Rans C, Michielssen J, Walker M, et al. Beyond the orthogonal: On the influence of build orientation on fatigue crack growth in SLM Ti-6Al-4V[J]. International Journal of Fatigue, 2018,116:344-354. doi: 10.1016/j.ijfatigue.2018.06.038 [13] Edwards P, Ramulu M. Effect of build direction on the fracture toughness and fatigue crack growth in selective laser melted Ti-6Al-4V[J]. Fatigue & Fracture of Engineering Materials & Structures, 2015,38(10):1228-1236. [14] Shuai J G, Zhao J Q, Lei L P. Simple crack tip and stress intensity factor determination method for model I crack using digital image correlation[J]. Theoretical and Applied Fracture Mechanics, 2022,122:103621. doi: 10.1016/j.tafmec.2022.103621 [15] Koko A, Earp P, Wigger T, et al. J-integral analysis: An EDXD and DIC comparative study for a fatigue crack[J]. International Journal of Fatigue, 2020, 134: 105474. [16] Zhu Z H, Luo S H, Feng Q S, et al. A hybrid DIC-EFG method for strain field characterization and stress intensity factor evaluation of a fatigue crack[J]. Measurement, 2020,154:107498. doi: 10.1016/j.measurement.2020.107498 [17] Dai Qiao, He Jueheng, Zhou Jinyu, et al. Characterization of cyclic strain field at the fatigue crack tip of industrial pure titanium based on DIC and Irwin models[J]. Rare Metal Materials and Engineering, 2021,50(8):2815-2822. (代巧, 何爵亨, 周金宇, 等. 基于DIC与Irwin模型的工业纯钛疲劳裂纹尖端循环应变场表征[J]. 稀有金属材料与工程, 2021,50(8):2815-2822.Dai Qiao, He Jueheng, Zhou Jinyu, et al. Characterization of cyclic strain field at the fatigue crack tip of industrial pure titanium based on DIC and Irwin models[J]. Rare Metal Materials and Engineering, 2021, 50(8): 2815-2822. [18] Gonzales G L G, González J A O, Antunes F V, et al. Experimental determination of the reversed plastic zone size around fatigue crack using digital image correlation[J]. Theoretical and Applied Fracture Mechanics, 2023,125:103901. doi: 10.1016/j.tafmec.2023.103901 [19] Fazzini M, Mistou S, Dalverny O, et al. Study of image characteristics on digital image correlation error assessment[J]. Optics and Lasers in Engineering, 2010,48(3):335-339. doi: 10.1016/j.optlaseng.2009.10.012 [20] Sun Y F, Pang J H L. Study of optimal subset size in digital image correlation of speckle pattern images[J]. Optics and Lasers in Engineering, 2007,45(9):967-974. doi: 10.1016/j.optlaseng.2007.01.012 [21] Mokhtarishirazabad M, Lopez Crespo P, Moreno B, et al. Evaluation of crack-tip fields from DIC data: A parametric study[J]. International Journal of Fatigue, 2016,89:11-19. doi: 10.1016/j.ijfatigue.2016.03.006 [22] Kong W, Nian T, Yuan C. Development of a new ratcheting fatigue life prediction model of a nickel-based superalloy based on ratcheting strain rate[J]. Materials Letters, 2022,308:131071. doi: 10.1016/j.matlet.2021.131071 [23] Yosibash Z, Mendelovich V, Gilad I, et al. Can the finite fracture mechanics coupled criterion be applied to V-notch tips of a quasi-brittle steel alloy[J]. Engineering Fracture Mechanics, 2022,269:108513. doi: 10.1016/j.engfracmech.2022.108513 [24] Zhang P, He A N, Liu F, et al. Evaluation of low cycle fatigue performance of selective laser melted titanium alloy Ti-6Al-4V[J]. Metals, 2019,9(10):1041. doi: 10.3390/met9101041 -
下载: