中文核心期刊

SCOPUS 数据库收录期刊

中国科技核心期刊

美国《化学文摘》来源期刊

中国优秀冶金期刊

美国EBSCO数据库收录期刊

RCCSE中国核心学术期刊

美国《剑桥科学文摘》来源期刊

中国应用核心期刊(CACJ)

美国《乌利希期刊指南》收录期刊

中国学术期刊综合评价统计源刊

俄罗斯《文摘杂志》来源期刊

优秀中文科技期刊(西牛计划)

日本《科学技术文献数据库》(JST)收录刊

留言板

尊敬的读者、作者、审稿人, 关于本刊的投稿、审稿、编辑和出版的任何问题, 您可以本页添加留言。我们将尽快给您答复。谢谢您的支持!

姓名
邮箱
手机号码
标题
留言内容
验证码

FeC合金拉伸行为的分子动力学模拟研究

李佳君 孙淼 吴慧娟 吕世宁 高有山 王爱红

李佳君, 孙淼, 吴慧娟, 吕世宁, 高有山, 王爱红. FeC合金拉伸行为的分子动力学模拟研究[J]. 钢铁钒钛, 2024, 45(4): 158-162. doi: 10.7513/j.issn.1004-7638.2024.04.022
引用本文: 李佳君, 孙淼, 吴慧娟, 吕世宁, 高有山, 王爱红. FeC合金拉伸行为的分子动力学模拟研究[J]. 钢铁钒钛, 2024, 45(4): 158-162. doi: 10.7513/j.issn.1004-7638.2024.04.022
Li Jiajun, Sun Miao, Wu Huijuan, Lü Shining, Gao Youshan, Wang Aihong. Molecular dynamics simulation study on the tensile behavior of FeC alloy[J]. IRON STEEL VANADIUM TITANIUM, 2024, 45(4): 158-162. doi: 10.7513/j.issn.1004-7638.2024.04.022
Citation: Li Jiajun, Sun Miao, Wu Huijuan, Lü Shining, Gao Youshan, Wang Aihong. Molecular dynamics simulation study on the tensile behavior of FeC alloy[J]. IRON STEEL VANADIUM TITANIUM, 2024, 45(4): 158-162. doi: 10.7513/j.issn.1004-7638.2024.04.022

FeC合金拉伸行为的分子动力学模拟研究

doi: 10.7513/j.issn.1004-7638.2024.04.022
基金项目: 山西省自然科学基金(20210302123217);山西省专利推广实施资助专项(20171064);山西省研究生实践创新项目(2023SJ257);太原科技大学研究生教育创新项目(BY2022014);太原科技大学大学生创新创业训练计划(XJ2022178)。
详细信息
    作者简介:

    李佳君,1999年出生,男,硕士研究生,主要从事金属材料性能模拟以及机械结构疲劳寿命的研究,E-mail:737306177@qq.com

    通讯作者:

    高有山,1974年出生,男,博士,教授,主要从事工程机械电液传动与控制技术的教学科研工作,E-mail:2003011@tyust.edu.cn

  • 中图分类号: TF76,TL341

Molecular dynamics simulation study on the tensile behavior of FeC alloy

  • 摘要: 为了探究温度和应变率对FeC合金微观力学性能的影响,运用分子动力学方法对FeC合金进行了拉伸性能的模拟,得到了不同温度、不同应变率工况下FeC合金的应力应变曲线,并对其进行了分析,利用MATLAB对数据进行处理,建立了关于温度和应变率的FeC合金弹性模量和屈服强度的数学预测模型。结果表明:弹性模量和屈服强度的仿真值与数学模型的预测值之间的绝对误差最大分别为2.680 GPa和0.079 GPa,相对误差最大分别为1.680%和0.737%,数学预测模型能在一定程度上对弹性模量和屈服强度进行有效的预测。
  • 图  1  不同应变时的原子构型演化

    Figure  1.  Atomic configuration evolution under different strains

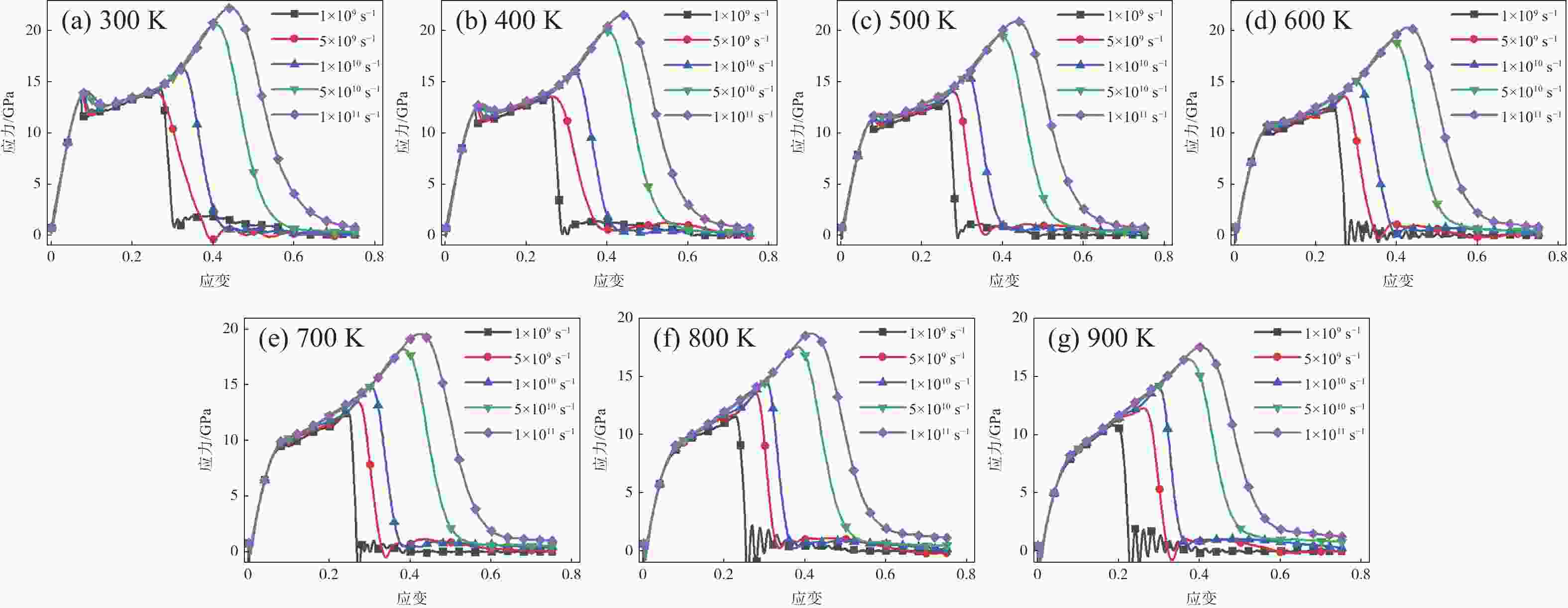
    图  2  温度效应下的应力应变曲线

    Figure  2.  Stress-strain curves under temperature effect

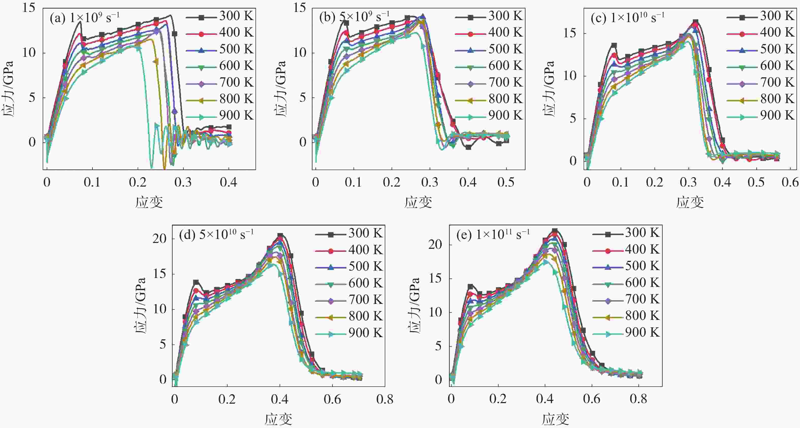
    图  3  FeC合金相同应变率不同温度下的应力应变曲线

    Figure  3.  Stress-strain curves under strain rate effect

    图  4  弹性模量与温度和应变率关系

    Figure  4.  Temperature and strain rate effects on the elastic modulus

    图  5  屈服强度与温度和应变率关系

    Figure  5.  Temperature and strain rate effects on the yield strength

    图  6  模型验证的应力应变曲线

    Figure  6.  Stress-strain curves by model validation

    表  1  结果统计

    Table  1.   Statistic results

    温度/KE/GPaQ/GPa
    1×109 s−15×109 s−11×1010 s−15×1010 s−11×1011 s−11×109 s−15×109 s−11×1010 s−15×1010 s−11×1011 s−1
    300207.165212.584213.059211.881213.06613.47813.58913.69613.89014.041
    400195.880197.963198.091198.596200.51412.15512.36912.45812.70512.879
    500186.006186.347185.781185.427188.83311.10211.32011.40011.65711.834
    600176.817176.904174.907174.036178.77310.22710.39810.53210.73911.034
    700168.936168.354165.489164.826170.2829.3449.5789.5959.90810.297
    800161.087161.185158.769158.424164.8418.5258.5918.7649.2589.354
    900153.050154.258151.722153.005159.7547.7087.9348.0378.4988.908
    下载: 导出CSV

    表  2  仿真条件

    Table  2.   Simulation conditions

    组号温度/K应变率×10−9/s−1
    13604
    245060
    358020
    473030
    58106
    下载: 导出CSV

    表  3  误差分析

    Table  3.   Error analysis

    组号E/GPaE的相对误差/%Q/GPaQ的相对误差/%
    预测值仿真值绝对误差预测值仿真值绝对误差
    1203.395204.518−1.123−0.54912.81112.8060.0050.039
    2192.23190.7381.4920.78212.20512.233−0.028−0.229
    3176.21176.0980.1120.06410.79310.7140.0790.737
    4162.192159.5122.6801.6809.5389.5240.0140.147
    5160.003160.439−0.436−0.2729.2189.1990.0190.207
    下载: 导出CSV
  • [1] 叶天舟, 姚欢, 巫英伟, 等. FeCrAl合金拉伸力学性能分子动力学研究[J]. 稀有金属材料与工程, 2023, 52(2): 777-784.

    Ye Tianzhou, Yao Huan, Wu Yingwei, et al. Molecular dynamics study on tensile mechanical properties of FeCrAl alloy[J].Rare Metal Materials and Engineering, 2023, 52(2): 777-784.
    [2] Zhou Jikai, Zhu Qinghua. Molecular dynamics of temperature and strain rate effects of dynamic tensile mechanical properties of FeC alloy[J]. Science Technology and Engineering, 2019,19(11):61-66. (周继凯, 朱清华. FeC 合金动态拉伸力学性能温度和应变率效应分子动力学[J]. 科学技术与工程, 2019,19(11):61-66.

    Zhou Jikai, Zhu Qinghua. Molecular dynamics of temperature and strain rate effects of dynamic tensile mechanical properties of Fe-C alloy[J]. Science Technology and Engineering, 2019, 19( 11): 61-66
    [3] Wu Qian, Wang Yong, Han Tao, et al.Molecular dynamics simulations of the effect of temperature and strain rate on the plastic deformation of body centred cubic iron nanowires[J].Journal of Engineering Materials and Technology, 2021, 143: 031007.
    [4] 曾 强, 王丽娟, 陈 韬, 等. 纳米孪晶与Fe 掺杂对SLM-Al 力学性能影响的分子动力学模拟[J]. 稀有金属材料与工程, 2023, 52(1): 145-152.

    Zeng Qiang, Wang Lijuan, Chen Tao, et al. Molecular dynamics simulation on effect of nano-twin and Fe doping on mechanical roperties of SLM-Al[J]. Rare Metal Materials and Engineering, 2023, 52 (1): 145-152.
    [5] Zheng Wei, Han Junzhao, Duan Xing, et al. Mechanical properties of Al0.1CoCrFeNi high entropy alloy based on molecular dynamics study[J]. Rare Metal Materials and Engineering, 2022,51(9):3230-3235.
    [6] Wang Yuntian, Zeng Xiangguo, Yang Xin. Molecular dynamics simulation of effect of temperature on oid nucleation and growth of single crystal ron at a high strain rate[J]. Acta Phys. Sin, 2019,68(24):246102. (王云天, 曾祥国, 杨鑫. 高应变率下温度对单晶铁中孔洞成核与生长影响的分子动力学研究[J]. 物理学报, 2019,68(24):246102. doi: 10.7498/aps.68.20190920

    Wang Yun -Tian, Zeng Xiang -Guo, Yang Xin. Molecular dynamics simulation of effect of temperature on oid nucleation and growth of single crystal ron at a high strain rate[J]. Acta Phys. Sin. 2019, 68(24): 246102 doi: 10.7498/aps.68.20190920
    [7] Aidan P Thompson, H Metin Aktulga, Richard Berger, et al. LAMMPS - a flexible simulation tool for particle-based materials odeling at the atomic, meso, and continuum scales[J]. Computer Physics Communications, 2022,271:108171. doi: 10.1016/j.cpc.2021.108171
    [8] Zhang Chuntao, Zhu Hongjie, Zhu Li. Effect of interaction between corrosion and high temperature on mechanical properties of Q355 structural steel[J]. Construction and Building Materials, 2021,271:121605. doi: 10.1016/j.conbuildmat.2020.121605
    [9] Derek J Hepburn, Graeme J Ackland. Metallic-covalent interatomic potential for carbon in iron[J]. Physical Review B, 78(16), 165115.
    [10] Zhu Lhshan, Zhao Shijin. Influence of Ni on Cu precipitation in Fe-Cu-Ni ternary alloy by an atomic study[J]. Chinese Physics B, 2014,23(6):193-198.
  • 加载中
图(6) / 表(3)
计量
  • 文章访问数:  235
  • HTML全文浏览量:  70
  • PDF下载量:  25
  • 被引次数: 0
出版历程
  • 收稿日期:  2023-06-29
  • 刊出日期:  2024-08-30

目录

    /

    返回文章
    返回