中文核心期刊

SCOPUS 数据库收录期刊

中国科技核心期刊

美国《化学文摘》来源期刊

中国优秀冶金期刊

美国EBSCO数据库收录期刊

RCCSE中国核心学术期刊

美国《剑桥科学文摘》来源期刊

中国应用核心期刊(CACJ)

美国《乌利希期刊指南》收录期刊

中国学术期刊综合评价统计源刊

俄罗斯《文摘杂志》来源期刊

优秀中文科技期刊(西牛计划)

日本《科学技术文献数据库》(JST)收录刊

留言板

尊敬的读者、作者、审稿人, 关于本刊的投稿、审稿、编辑和出版的任何问题, 您可以本页添加留言。我们将尽快给您答复。谢谢您的支持!

姓名
邮箱
手机号码
标题
留言内容
验证码

2024年  第45卷  第3期

钒钛分离与提取
2023年中国钛工业发展报告
安仲生, 陈岩, 赵巍, 淮金
2024, 45(3): 1-8. doi: 10.7513/j.issn.1004-7638.2024.03.001
摘要(4161) HTML (841) PDF(883)
摘要:
以2023年中国钛精矿、海绵钛、钛锭、钛材等钛产品的产能、产量、应用和进出口等数据为依据,分析了中国钛工业的整体情况,并对目前钛行业存在的问题提出了相应的建议。
全钒液流电池废旧电解液的恢复再生利用
彭海泉, 徐家彬, 游润晨, 赵丽娜, 胡显龙
2024, 45(3): 9-15. doi: 10.7513/j.issn.1004-7638.2024.03.002
摘要(803) HTML (300) PDF(72)
摘要:
全钒氧化还原液流电池是一种电化学储能装置,由于将能量存储于电解液中,功率和容量相互独立,在大规模储能领域具有突出优势,但电池废旧电解液的回收处理是一个难题。电化学测试和电解液成分分析表明:废旧电解液的活性并未明显下降,恢复的着眼点应是电解液价态的综合调节。提出四种电解液恢复方法,最佳比例恢复法、直接电解法、硫酸电解法和不对称电极法分别将电解液容量恢复至初始状态的75%、92%、93%、92%,并且电池库伦效率保持在95%~98%,表现出良好的充放电性能。该研究有利于促进钒资源的综合利用,并对全钒液流电池的应用和运行维护具有重要指导意义。
钙、锰钒酸盐体系酸浸过程钒的浸出行为研究
李菲菲, 温婧, 姜涛, 李常青, 肖浩
2024, 45(3): 16-24. doi: 10.7513/j.issn.1004-7638.2024.03.003
摘要(572) HTML (282) PDF(31)
摘要:
钒酸钙和钒酸锰是钒渣钙化焙烧过程中重要的焙烧产物,其在硫酸中的溶解浸出行为对提钒过程钒收率有重要影响。采用单因素试验递进式研究了浸出pH值、时间及温度对合成钒酸钙(锰)以及钒渣钙化(锰化)、钙锰复合焙烧熟料中钒组元浸出行为的影响。结果表明,合成CaV2O6、Ca2V2O7、Ca3V2O8及Mn2V2O7在pH值分别为3.0、3.0、5.0、2.2的硫酸溶液中于60 ℃下浸出60 min时,钒的浸出率达到最大值,分别为43.62%、98.79%、97.98%、98.06%。pH值为1.0~2.0时,四种钒酸盐钒的浸出率均出现一个低谷,这是由钒的水解引起的。钒渣常规钙化和锰化焙烧过程中主要生成Ca2V2O7和Mn2V2O7两种钒酸盐,浸出pH值为2.5时,钒的浸出率分别为85.24%、87.07%;钒渣钙锰复合焙烧过程中生成的焦钒酸钙、焦钒酸锰共生复盐,熟料于pH值为2.5的硫酸溶液中浸出后钒的浸出率最大为90.09%,较常规钙化、锰化体系钒的浸出率高约四个百分点,表明钙、锰协同提钒与单一添加剂提钒相比有一定的强化作用。
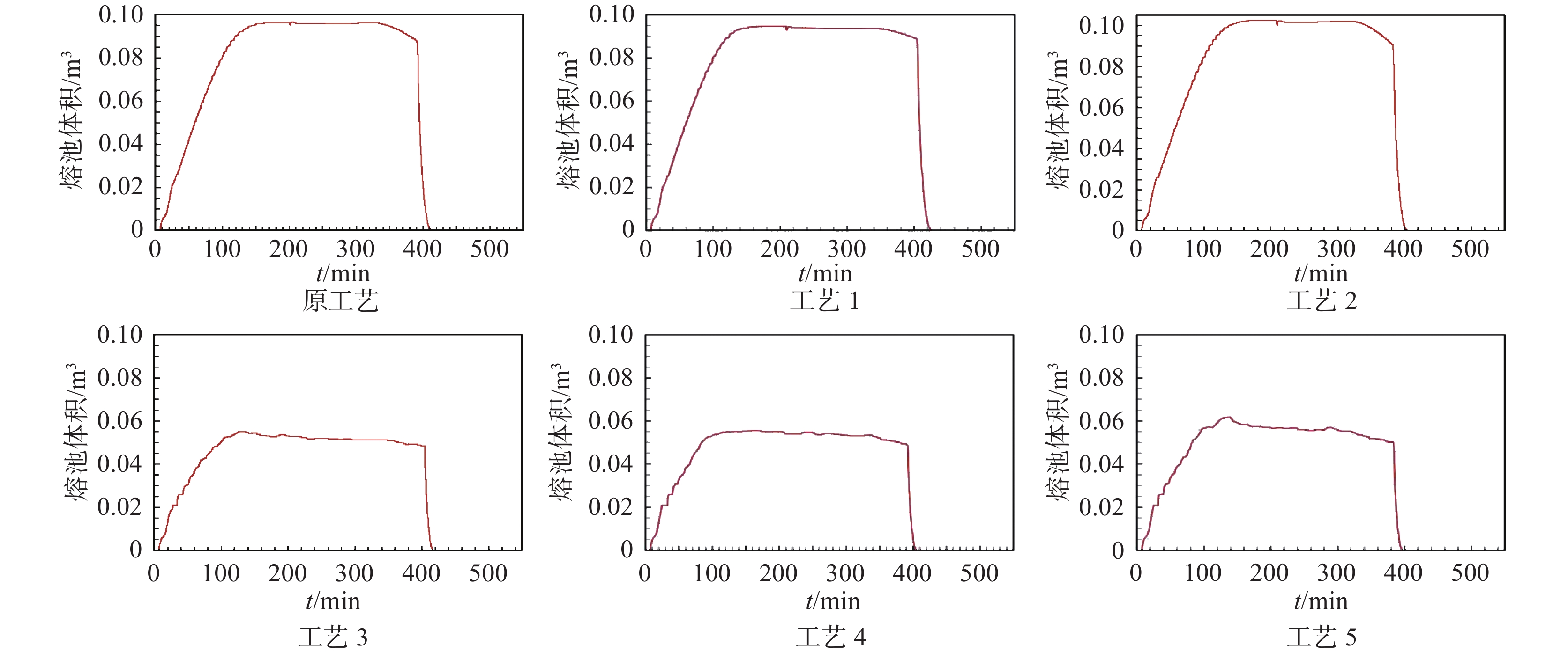
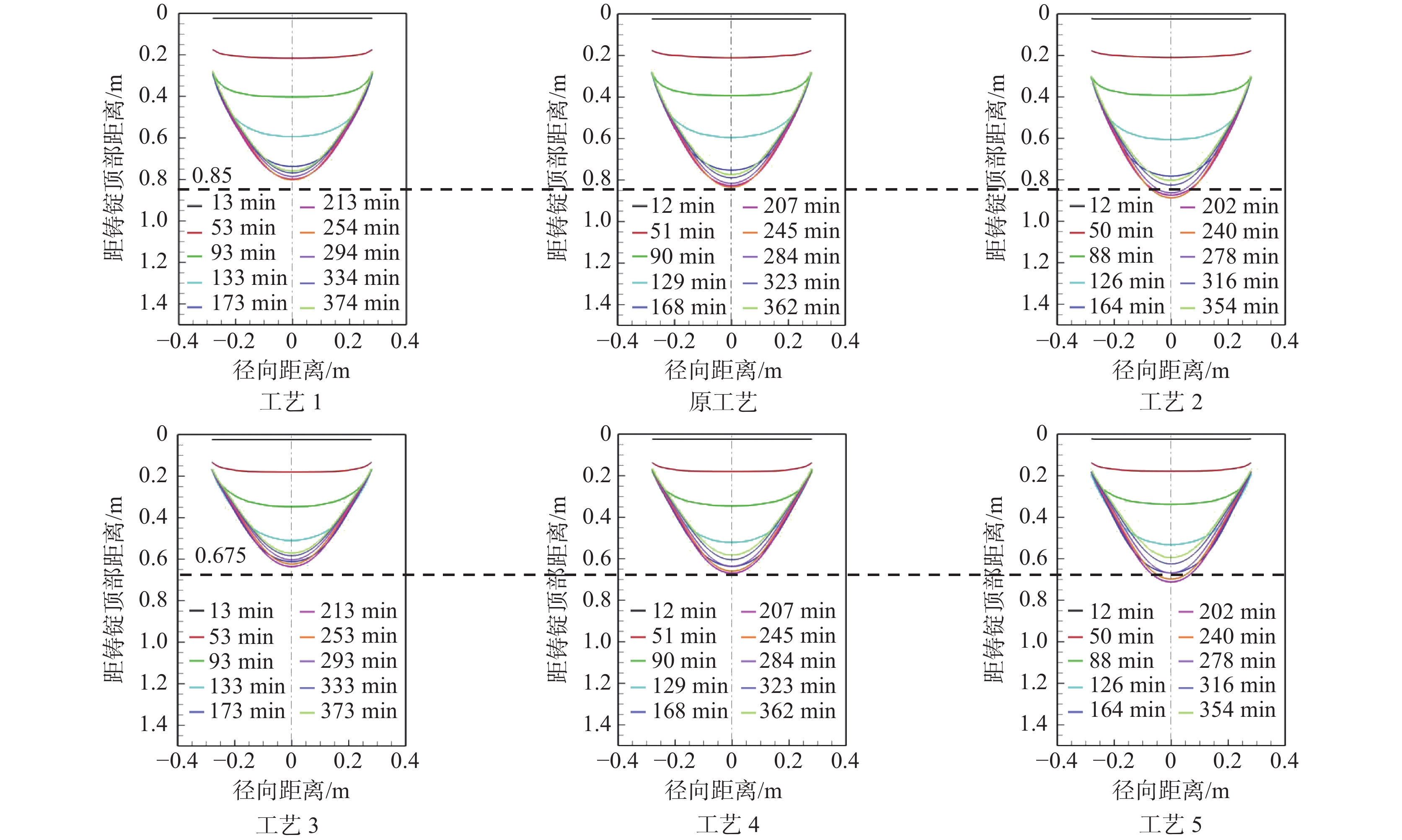
基于数值模拟的TB9钛合金VAR熔炼工艺优化
罗坤, 耿乃涛, 游彦军, 彭力, 王莹, 董恩涛
2024, 45(3): 25-32. doi: 10.7513/j.issn.1004-7638.2024.03.004
摘要(549) HTML (178) PDF(43)
摘要:
采用真空自耗电弧熔炼(VAR)法熔炼TB9钛合金会产生偏析和夹杂等冶金缺陷。采用MeltFlow-VAR仿真软件对某厂TB9钛合金VAR一次熔炼过程进行模拟,考察熔炼电流大小、稳弧类型对熔炼过程的影响,通过分析不同工艺条件下铸锭的元素分布、熔池深度、抛杂路径等,获得了最佳一次熔炼工艺,分别采用该厂原工艺和优化后的工艺参数,对TB9钛合金三次VAR熔炼过程进行全流程模拟,获得了三次锭的元素分布情况。结果表明,宏观偏析在多次熔炼过程中存在“遗传”现象,对该厂一次熔炼原工艺进行优化后,可以显著提高三次成品锭的成分均匀性。
影响钛白粉在涂料中光泽度的因素分析
邹勇, 李纲, 李礼, 柯良辉, 陈新红
2024, 45(3): 33-38. doi: 10.7513/j.issn.1004-7638.2024.03.005
摘要(493) HTML (188) PDF(18)
摘要:
针对国内外钛白粉在应用性能上的差异,采用SEM、TEM、EDS、XPS和FTIR等分析手段对不同钛白粉产品GT1,GT2和MT的微观结构进行表征,研究钛白粉在涂料中光泽度的影响因素。结果表明,MT粒径集中分布在0.1~0.5 μm,平均粒径为0.249 μm;表面包膜完整度高,包膜层厚度为1.2~4.5 nm;表面羟基含量较高,吸油量和比表面积低,在涂料中的分散性较好。正是因为国外钛白粉MT的表面结构优于GT1和GT2,从而使得MT在涂料中的光泽度高于国内钛白粉产品GT1和GT2。
锌系和铝系钛白初品的分散性能对比研究
刘婵, 殷鸿尧, 杨芳, 路瑞芳
2024, 45(3): 39-45. doi: 10.7513/j.issn.1004-7638.2024.03.006
摘要(473) HTML (180) PDF(14)
摘要:
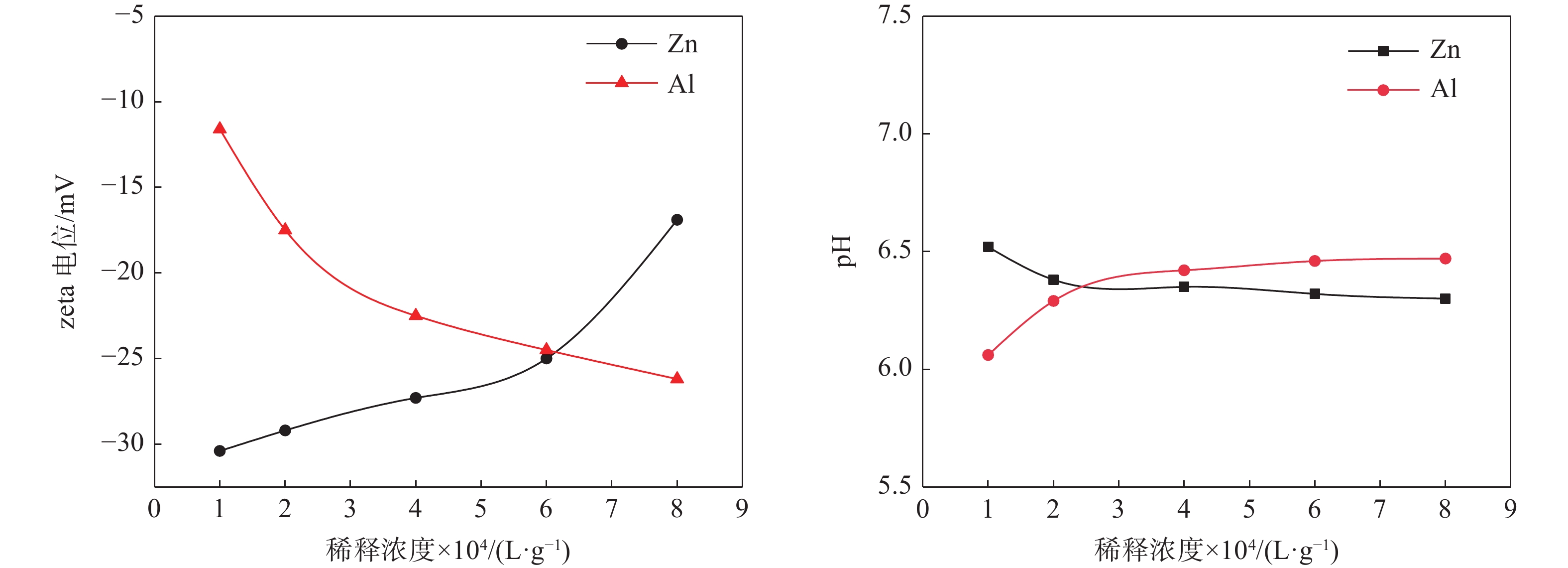
选取某硫酸法钛白厂生产的锌系和铝系盐处理金红石初品作为试验原料,系统研究TiO2浓度、分散体系pH和表面吸附的化学成分等因素的变化对锌、铝两系初品悬浊液zeta电位的影响规律,对比分析了锌系和铝系初品分散稳定性的差异。结果表明,随着稀释浓度增高,铝系初品分散越来越稳定,而锌系则逐渐失稳;分散液pH从4.0升至10.0,铝系初品zeta电位较锌系更为显著,即铝系初品更易分散稳定;初品表面脱硫和脱羟基后,铝、锌两系初品的zeta电位随pH的变化规律没有改变,证明了表面吸附的化学成分并非构成两系初品分散差异性的原因。通过实验室单一盐处理-煅烧试验,进一步证明了Zn2+和Al3+掺杂是导致初品分散稳定性差异的根本原因,煅烧温度对初品表面电荷的变化有显著影响,对铝系初品的影响更显著。
钒钛材料与应用
TC4合金变截面构件熔模铸造工艺优化及缺陷控制
贺同正, 陈玉勇, 吴敬玺, 罗国军, 沈选金, 唐丽英
2024, 45(3): 46-54. doi: 10.7513/j.issn.1004-7638.2024.03.007
摘要(547) HTML (251) PDF(29)
摘要:
以TC4合金变截面构件为研究对象,基于正交试验设计,采用ProCAST软件对铸件的离心熔模铸造工艺进行了优化。同时,对铸件的充型与凝固行为进行了数值分析,并对铸件质量及力学性能进行了表征。结果表明,缩松缩孔集中分布在铸件顶部,少量缩松缩孔离散分布在铸件中部或底部,孤立液相区是导致缩松缩孔形成的主要原因,熔体流动停止表现出窄结晶温度范围合金特征;应力集中主要发生在内浇道与铸件连接处,较大的结构变化是诱使应力集中产生的主要原因。对铸件内部质量及尺寸进行表征分析,发现铸件内部无缩松缩孔存在,铸件尺寸可以较好地满足设计要求,未发生明显变形。热等静压态铸件的室温抗拉强度为953.5 MPa、屈服强度为835.0 MPa、断后伸长率为10.0%,可以较好地满足实际服役要求。
后处理对退火态TC4 ELI合金显微组织与性能的影响
尹艳超, 孙志杰, 薛达, 锁永永, 刘海彬
2024, 45(3): 55-64. doi: 10.7513/j.issn.1004-7638.2024.03.008
摘要(687) HTML (203) PDF(23)
摘要:
采用光学金相显微镜(OM)、透射电子显微镜(TEM)、扫描电子显微镜(SEM)、室温拉伸、夏比冲击试验研究了后处理工艺对退火态TC4 ELI合金显微组织和力学性能的影响。结果表明,退火态TC4 ELI合金经520~720 ℃时效处理后发生“双态→等轴”的逆转变现象,强度呈现先升高后降低的趋势;冲击功在560 ℃降至最低后随温度升高稍有提高;时效α相的出现是冲击韧性劣化的主要原因,α2相析出的影响则较小。620 ℃时效态TC4 ELI合金经高温处理后,强度略微升高;温度升至β相区时,组织粗化造成屈服强度突降,晶界α相的出现引起塑性突降;高温处理后,时效α相消失,冲击功得到较大程度的恢复。
SDBS添加量对钒酸铋黄色颜料粉体性能的影响
尹翔鹭, 曾泽华, 张东彬, 代宇, 袁欣然, 刘天豪, 杨亚东, 雍玲玲
2024, 45(3): 65-70, 85. doi: 10.7513/j.issn.1004-7638.2024.03.009
摘要(419) HTML (155) PDF(15)
摘要:
以十二烷基苯磺酸钠(SDBS)作为结构导向剂,液相法制备钒酸铋黄色颜料纳米粉体,探究了SDBS对钒酸铋颜料形貌结构、物相以及色度值的影响。结果表明,SDBS可以在钒酸铋制备过程中促进钒酸铋(121)晶面的生长,同时,有效地降低钒酸铋颗粒尺寸,提高钒酸铋颗粒的分散稳定性,实现对钒酸铋色调的调控。SDBS添加量为1.0 mmol时,制备的钒酸铋为单斜晶系白钨矿结构,颗粒无明显团聚,平均尺寸为115.21 nm,且分布集中,89%的颗粒尺寸在50~150 nm。实现了钒酸铋由红色调黄到绿色调黄的转变,同时提高了钒酸铋的亮度L*。粉体色度参数L*=89.10,a*=−2.54,b*=71.82。
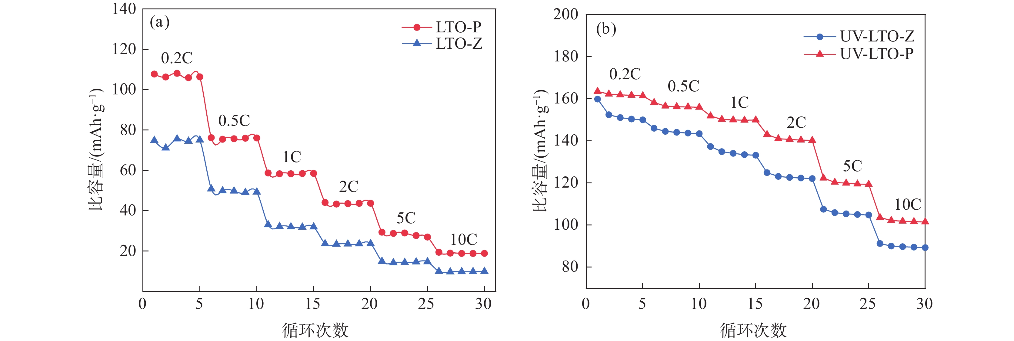
钛酸锂的碳包覆、紫外辐照改性及电化学性能研究
李云凤, 武传宝, 王允威, 冉思宇, 郑宇茜
2024, 45(3): 71-78. doi: 10.7513/j.issn.1004-7638.2024.03.010
摘要(413) HTML (171) PDF(14)
摘要:
钛酸锂(LTO)因其结构的“零应变”特性,成为重要的锂离子电池负极材料。然而,钛酸锂较低的电子电导率限制了其高倍率性能。提出一种光辅助的溶胶-凝胶法,制备了LTO/C负极材料,研究了不同碳源比例和光辐照对LTO/C显微结构和电化学性能的影响。与蔗糖为碳源包覆结果相比,葡萄糖为碳源时由于LTO表面包覆的碳石墨化程度更高,其倍率性能更优。在紫外辐照条件下,由于LTO/C粒径的减小,使得紫外辐照后的LTO/C在不同倍率下的放电比容量均高于无紫外辐照的LTO/C放电比容量。在10 C放电倍率下,20%葡萄糖为碳源辅以紫外照射工艺制备的LTO/C样品放电比容量达到101.5 mAh/g。
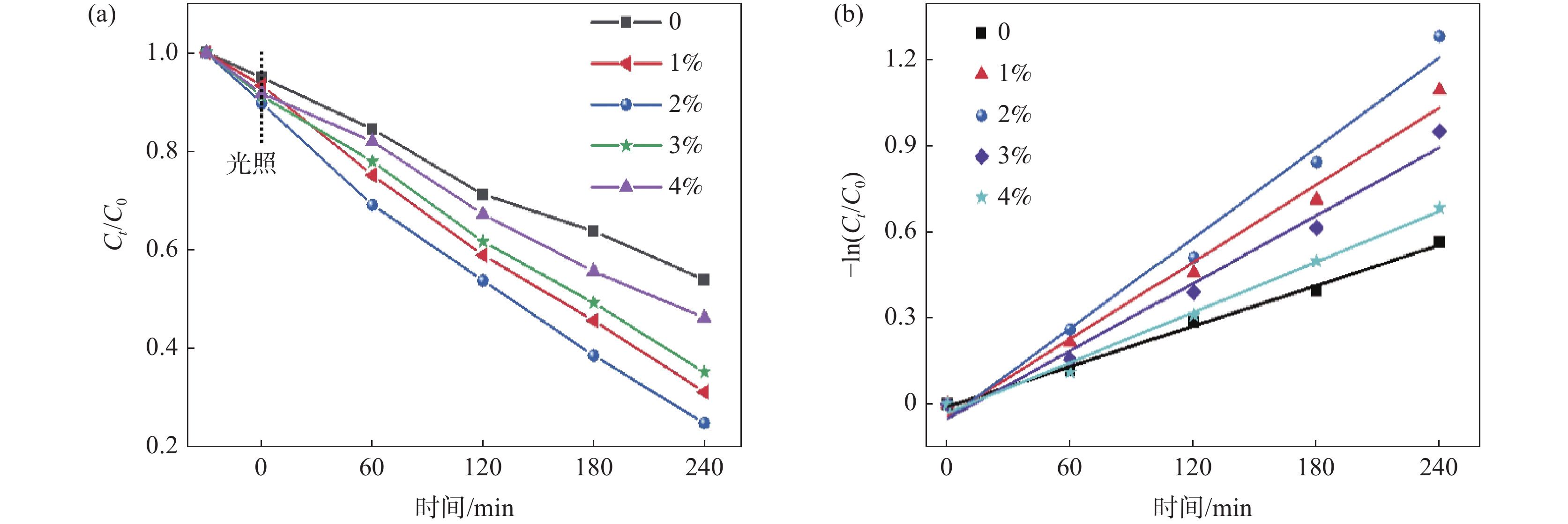
薄荷碳点/TiO2复合光催化剂的制备及其性能研究
张英, 任旺, 郑兴文, 周慧眠, 瞿香, 李敏娇
2024, 45(3): 79-85. doi: 10.7513/j.issn.1004-7638.2024.03.011
摘要(613) HTML (298) PDF(16)
摘要:
以薄荷粉为生物碳源,采用一步水热法成功制备出薄荷碳点/TiO2复合光催化剂。利用X射线衍射仪(XRD)、扫描电镜(SEM)、红外光谱(FT-IR)、孔隙比表面分析仪(BET)、表面光电压(SPS)对薄荷碳点/TiO2复合光催化剂的结构、形貌、比表面积及光生电荷分离特性进行了表征;考察了薄荷碳点/TiO2复合光催化剂对模拟污染物罗丹明B(RhB)的催化降解性能。结果表明,薄荷碳点改善了TiO2的光催化性能,超氧自由基•O2是薄荷碳点/TiO2复合催化剂光催化降解反应中的主要活性自由基。与纯TiO2样品相比,2%薄荷碳点/TiO2的复合光催化剂的光生电子-空穴分离速率最高,对RhB表现出最好的脱色性能,光催化活性提高了2.24倍。
激光熔化沉积TiAl合金微观组织和磨损性能研究
王海江, 刘占起, 梁健慧, 尹桂丽, 朱晓欧
2024, 45(3): 86-91. doi: 10.7513/j.issn.1004-7638.2024.03.012
摘要(376) HTML (154) PDF(9)
摘要:
采用激光同轴送粉沉积制造工艺在TC4基板上分别制备了一层、三层和五层的Ti-48Al-2Cr-2Nb合金样品。利用光学显微镜(OM)、扫描电子显微镜(SEM)、能谱仪(EDS)、X射线衍射(XRD)分析了沉积层的显微组织、裂纹形貌、磨损面形貌、相组成。试验结果表明,沉积一层的样品表面裂纹数量较少,沉积三层和五层的样品表面裂纹较多且裂纹数量相差不大。随着沉积层数的增加,沉积层中的显微组织结构由网篮组织向片层组织过渡,组织中相的变化是由单相α2→α2+γ双相转变。随着α2相含量的降低,耐磨性能随之降低,平均摩擦系数由0.34增加到0.55。
资源环境与节能
钛石膏土壤化利用的安全风险及前景分析
云易, 王港, 苏海锋
2024, 45(3): 92-100. doi: 10.7513/j.issn.1004-7638.2024.03.013
摘要(695) HTML (310) PDF(26)
摘要:
目前,钛石膏的资源化利用率不足10%,缺乏可大规模消纳的应用领域,而土壤化可能是一个重要的方向。提出将钛石膏作为土壤化的资源利用途径,分析其作为土壤资源化利用时面临的安全性问题,探究其用作土壤的基本性质及安全风险。通过浸出毒性对钛石膏进行安全风险评价,分析其理化性质及在土壤利用方面的可行性,以及通过内梅罗指数(P)等方法探究其土壤风险与营养性。研究结果表明,钛石膏的理化性质适宜将其作为土壤母质进一步资源化利用,在国家农用土与绿化土标准规定的8种重金属限制范围内没有严重的环境风险,但钒等部分重金属含量超出了绿化用有机基质的标准,可能成为新的污染物。鉴于以上结果,可以考虑在经过营养性等改良、排除重金属污染风险后,作为土壤化进行资源化利用。为钛石膏资源化利用作土壤资源,进而实现大规模消纳提供了参考。
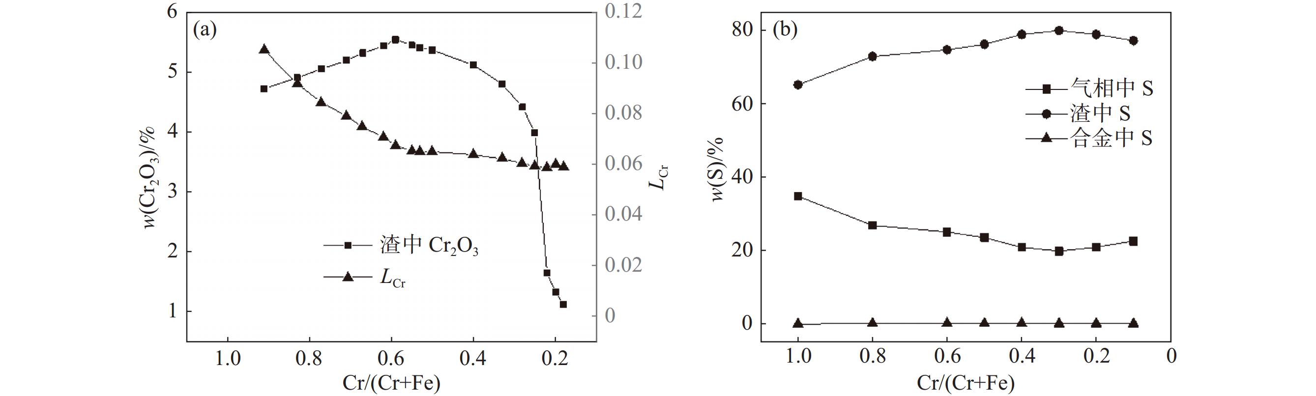
提钒尾渣与赤泥共处置过程中铬硫元素的分配行为
王春会, 郁健, 冯晓明, 张延玲, 张帅
2024, 45(3): 101-106. doi: 10.7513/j.issn.1004-7638.2024.03.014
摘要(354) HTML (171) PDF(14)
摘要:
钒渣钠化焙烧-水浸提钒过程会产生含有30%~40%Cr2O3的提钒尾渣,形成年堆积百万吨固废。通过加入高铁赤泥协同还原提钒尾渣,赤泥中的Fe2O3在低于铬氧化物初始还原温度下已经被C还原,促使铬还原反应快速进行,从而提升Cr的回收效率。使用FactSage热力学软件对整个反应体系进行模拟,计算了原料铬铁比、炉渣碱度和配C/Si量对铬、硫元素分配行为的影响,得到原料适宜的铬铁比是0.18,炉渣碱度是1.8,配C量nC/O=1.1,配Si量nSi/O=0.2。该研究为含铬提钒尾渣和高铁赤泥的资源化处理和增值化应用提供了一种新的可行性方案。
响应面法优化钛白废酸还原浸出硫酸烧渣的条件研究
王青鸿, 田从学, 吴秀坤
2024, 45(3): 107-113. doi: 10.7513/j.issn.1004-7638.2024.03.015
摘要(315) HTML (159) PDF(11)
摘要:
采用Box-Behnken设计的响应面法,选取铁粉用量、还原时间和浸出温度三个变量,研究并优化了钛白废酸还原浸出硫酸烧渣的浸出条件。建立了拟合效果较好的浸出条件的预测模型,以预测浸出率或优化浸出变量值。回归方程模型显著可靠,相关系数R2为0.9961。浸出条件对反应平衡、浸出物溶解度及反应体系性质等有重要影响,其中铁粉用量与浸出温度的协同交互作用影响最大。验证试验表明,在铁粉用量10.347 g、还原时间2 h、浸出温度88 ℃的最佳条件下,浸出率可达83.63%以上。
攀西某微细粒钛磁铁矿强化分散—磁选试验
刘才鹏, 王维清, 孙晋睿, 熊惠明, 刘柳
2024, 45(3): 114-120. doi: 10.7513/j.issn.1004-7638.2024.03.016
摘要(337) HTML (153) PDF(17)
摘要:
攀西某微细粒钛磁铁矿混合粗精矿因微细粒脉石矿物与钛磁铁矿异相凝聚,常规弱磁选提铁降杂指标较差,采用强化分散—磁选可有效改善选别效果、提高分选指标。为了强化分选矿样中的微细粒铁矿物,对强化分散—磁选工艺条件开展试验研究,考察了分散剂种类、分散剂用量、矿浆pH值、磁场强度等因素对分选效果的影响。试验结果表明:在矿浆浓度20%、机械搅拌速度1 992 r/min、搅拌时间3 min、六偏磷酸钠用量1 000 g/t、矿浆pH值10、磁场强度300 kA/m的条件下,获得了精矿铁品位57.69%,铁回收率98.10%的良好指标。与直接磁选结果相比,铁品位提高了1.26个百分点。DLVO理论分析表明,六偏磷酸钠通过降低钛磁铁矿和钛辉石表面电位,增大了二者异相之间的静电斥力,从而削弱微细粒脉石矿物与钛磁铁矿异相凝聚。
钢铁冶金与材料
冶炼钒钛矿高炉操作炉型计算模拟研究
董晓森, 饶家庭, 郑魁
2024, 45(3): 121-130, 154. doi: 10.7513/j.issn.1004-7638.2024.03.017
摘要(511) HTML (212) PDF(22)
摘要:
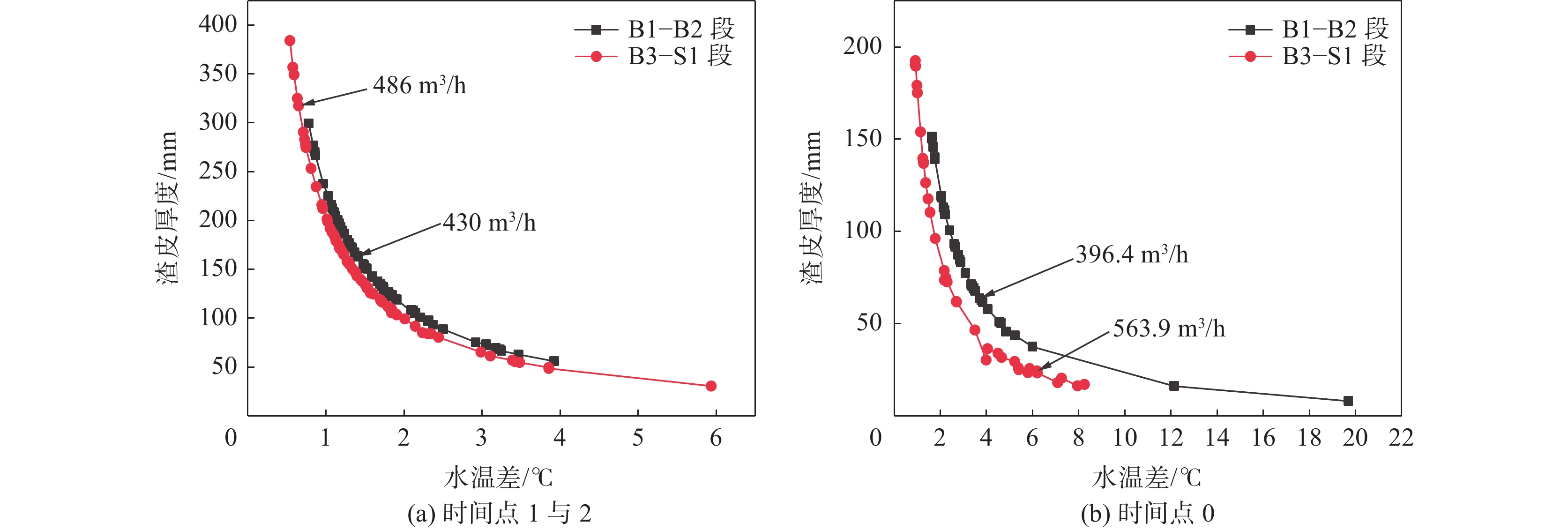
根据某钒钛磁铁矿冶炼高炉炉型设计参数和生产工况数据,通过MATLAB计算软件建立该高炉操作炉型计算模型,研究高炉运行中高温区域炉墙挂渣情况。计算结果表明:受高炉边缘气流控制较弱影响,高温区域炉墙的热负荷大多在12 kW/(m2·s)以下,冷却壁壁体温度接近炉壳温度,冷却壁热面的渣皮厚度普遍高于100 mm,且渣皮厚度分布不均匀,个别方向达到200 mm以上;对比普通高炉,冶炼钒钛磁铁矿高炉在同等热负荷下,高温区域挂渣能力更强,从安全性与渣皮稳定性考虑,高炉冷却壁热负荷应控制在10.50~34.50 kW/(m2·s)。
异钢种连浇研究进展及发展方向
宋思程, 孙彦辉, 吴华杰, 安航航
2024, 45(3): 131-140. doi: 10.7513/j.issn.1004-7638.2024.03.018
摘要(411) HTML (250) PDF(17)
摘要:
针对高附加值钢种的需求量较小,一个浇次需要生产不只一个钢种的现状,梳理了国内企业进行的异钢种连浇工业试验,描述了水模型试验和数值模拟在异钢种连浇过程的应用,主要总结了中间包液位高度、非等温浇注、中间包内腔结构、结晶器流体域结构、连铸机拉速和电磁制动等因素对交接坯长度的影响。评价了目前主流的四种交接坯判定模型,最终提出了制定异钢种连浇过程规范和研究异钢种连浇过程新模型的思路。结果表明,异钢种连浇实现了新钢种的高效生产,降低了企业生产成本,同时将人工智能学科与冶金学科结合了起来,为异钢种连浇过程提供了一个新的发展方向。
Ca3TiFe2O8的高温热容和冶金性能研究
曾俊杰, 李刚, 陈炼, 薛钰霄, 吕学伟
2024, 45(3): 141-146. doi: 10.7513/j.issn.1004-7638.2024.03.019
摘要(359) HTML (163) PDF(9)
摘要:
烧结矿的质量很大程度上取决于其粘结相的特性。为促进钒钛磁铁矿资源在烧结领域的高效利用,对含TiO2的钙铁氧体体系进行了研究。在含钛铁矿烧结矿中发现了Ca3TiFe2O8(CTF)的存在,后经由固态反应成功制备出了CTF,并通过Drop法测定了CTF的高温热容,得到了其高温热容量的拟合函数。同时,还对其冶金性能(熔化性能和还原行为)进行了检测分析。结果表明,CTF的软化温度、熔化温度和流动温度分别为1418、1461 ℃和1480 ℃。非等温还原结果表明,CTF被一步还原成Fe、CaO和CaO·TiO2,当温度达到1150 ℃时,CTF还原完成。
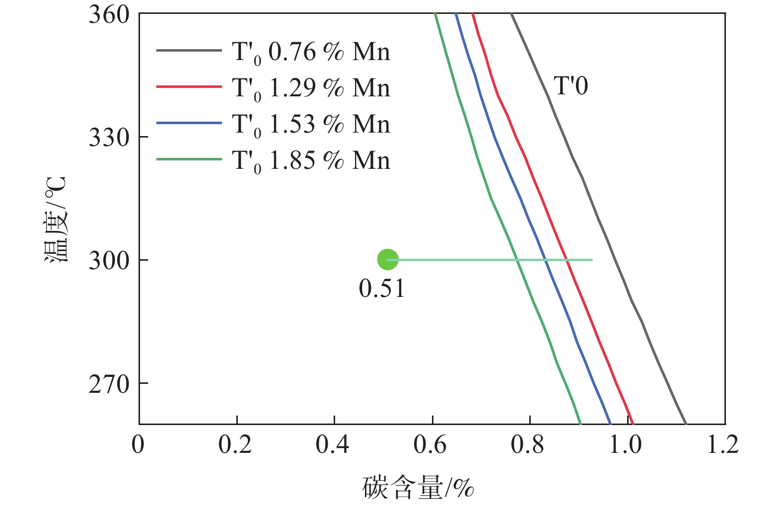
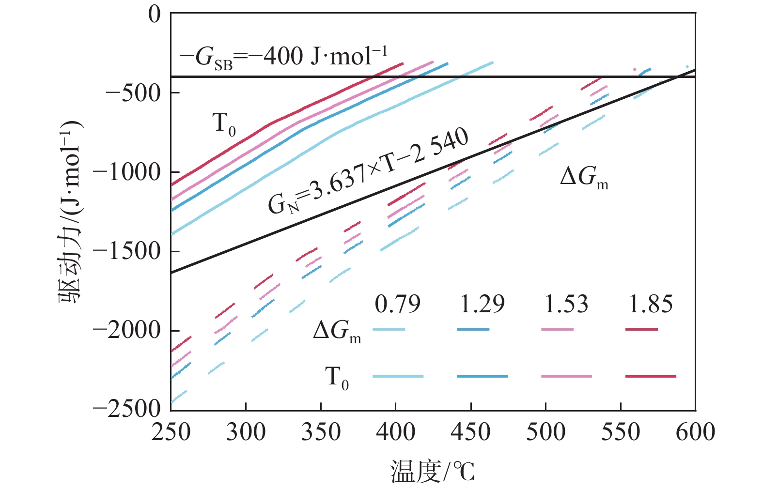
锰含量对中碳低硅贝氏体钢显微组织及力学性能的影响
于金瑞, 于鑫泓, 张禹, 冯以盛, 赵而团
2024, 45(3): 147-154. doi: 10.7513/j.issn.1004-7638.2024.03.020
摘要(472) HTML (218) PDF(24)
摘要:
设计并熔炼了四种锰含量(质量分数分别为0.76%、1.29%、1.53%、1.85%)的中碳低硅贝氏体钢,利用OM、SEM、XRD仪器和拉伸、冲击试验机等研究了锰含量的添加对试验钢显微组织和力学性能的影响。结果表明,锰元素抑制了铁素体与珠光体相变;锰元素的添加降低了贝氏体的形核驱动力,减少了贝氏体最大转变量,使得贝氏体转变停滞后剩余的过冷奥氏体尺寸增大,含量增加;这些奥氏体在后续等温过程中大部分分解为粗大碳化物和铁素体混合组织,并围绕在贝氏体板条周围,形成了局部粗化组织,少部分保存至室温形成残余奥氏体;随着锰含量的增加,试验钢的屈服强度和冲击韧性逐步下降,抗拉强度由于合金化和组织粗化两因素的相互竞争先升高后降低;综合考虑贝氏体钢热处理难度与力学性能,锰含量为1.29% 时最适合作为弹簧用钢。
20CrMnTiH齿轮钢中非金属夹杂物演变行为
王章印, 陈亮, 陈雄, 李平凡
2024, 45(3): 155-161. doi: 10.7513/j.issn.1004-7638.2024.03.021
摘要(336) HTML (130) PDF(9)
摘要:
通过工业试验分析了20CrMnTiH在精炼过程中非金属夹杂物的演变行为,并采用FactSage8.0热力学软件计算了20CrMnTiH在钙处理、二次氧化和冷却凝固过程中夹杂物的转变趋势。结果表明,LF精炼过程中夹杂物由Al2O3向MgO-Al2O3和CaO-MgO-Al2O3转变,经过钙处理后,夹杂物改性为CaO-MgO-Al2O3和CaO-Al2O3-CaS,随后经过RH真空精炼,在真空精炼结束时进行第二次钙处理,夹杂物转变为高CaS含量的CaO-Al2O3-CaS和CaO-MgO-Al2O3,连铸过程中钢液发生再氧化,夹杂物中CaS含量进一步升高。热力学计算表明,在钢液中加入0.003%~0.0005%的[Ca]时,钢液中会生成高熔点的MgO-Al2O3,当[Ca]的加入量在0.0005%~0.0007%时,夹杂物主要为液态夹杂物,当[Ca]含量大于0.0007%时,钢液中开始有CaS生成。此外,二次氧化的发生会使得钢液中的液态夹杂物更多地转变为固态夹杂物。随着温度的降低,夹杂物中CaO、CaS含量在逐渐降低,而MgO、Al2O3含量逐渐增加,最终形成高CaS含量的CaS-CaO-MgO-Al2O3
不同工艺参数对电子束熔丝沉积304不锈钢力学性能及显微组织研究
黄星光, 孙宝福
2024, 45(3): 162-168. doi: 10.7513/j.issn.1004-7638.2024.03.022
摘要(403) HTML (153) PDF(10)
摘要:
采用直径为1 mm的304不锈钢丝材为材料,以电子束熔丝沉积技术(EBF3)制备304不锈钢试样,并进行力学性能及显微组织分析。设计了9组试验方案进行单因素试验,分别改变束流强度、送丝速度以及基板进给速度三个参数进行打印。结果表明,9组试件的抗拉强度和屈服强度均表现优异,但断后伸长率表现一般,其中当束流为26 mA、送丝速度为1400 mm/min、进给速度为400 mm/min时,试件各项特征表现最好,拉伸强度为1328.92 MPa,屈服强度为711.60 MPa,断后伸长率为34.45%。通过综合分析可知,改变送丝速度对试件的塑性影响最大,改变进给速度对试件的强度影响最大。此外,改变束流与进给速度的试件内部金相组织基体由奥氏体组成,改变送丝速度的试件显微组织则多为奥氏体转变和过程析出的组织为组成部分;改变束流和送丝速度的试件中以组织的构成变化为主,改变进给速度的试件中组织则以晶粒度的变化为主,最终形成了不同拉伸件性能间的差异。在进行扫描电镜断口分析中可以发现,试件在拉伸试验中均发生脆性断裂。
钒微合金化对中锰热成形钢氢脆敏感性的影响
刘浩, 王贞, 张施琦, 葛锐, 贾涓, 刘静
2024, 45(3): 169-175. doi: 10.7513/j.issn.1004-7638.2024.03.023
摘要(387) HTML (162) PDF(19)
摘要:
利用慢应变速率拉伸、氢渗透以及氢显试验,结合SEM、TEM、EBSD分析,研究了0.12%钒对中锰热成形钢氢脆敏感性的影响。结果表明,钒微合金化对中锰热成形钢氢脆敏感性具有双重影响:一方面,钒不仅显著细化晶粒、析出了大量的纳米级含钒碳化物,使钢中的氢陷阱密度大幅增加,有效抑制了氢向铁素体/马氏体界面的富集,而且添加钒后长条状铁素体明显减少、小角度晶界占比增加,可进一步抑制裂纹的连续扩展,从而降低试验钢的氢脆敏感性;但另一方面,钒使钢中马氏体含量增加,会在一定程度上增加氢脆发生的风险。在常规的热成型工艺下,钒微合金化产生的有益作用更为显著,使含钒试验钢具备更优异的氢脆抗力。
Fe-5%Si多孔材料的制备及透气性研究
姬帅, 袁佳乐, 刘忠军
2024, 45(3): 176-181, 187. doi: 10.7513/j.issn.1004-7638.2024.03.024
摘要(379) HTML (186) PDF(14)
摘要:
将三组相同的Fe-5%Si混合粉末分别在1050、1100、1150 ℃的温度下高温烧结2 h,对各个试样进行金相(OM)及扫描(SEM)显微组织观察、XRD物相分析,并采用自组装多孔材料性能检测仪测试其透气性。结果表明,烧结温度越高,多孔材料的孔径尺寸越小,1150 ℃试样的截面上会形成膜层;Fe-5%Si多孔材料的截面由Fe和Si的氧化物组成,且烧结温度越高,氧化物种类越少,即1050 ℃下有SiO2、Fe2O3、FeO、Fe2O4四种物质,1100 ℃下有Fe3O4、FeO、SiO2,1150 ℃下有FeO、SiO2;1050 ℃下试样的气体流量随着通气压力的增大明显变大,当通气压力为140 kPa时,气体流量约为9200 mL/min;1100 ℃及1150 ℃下试样的气体流量随着通气压力的增大变化不大,当通气压力均为140 kPa时,二者的气体流量约为1000 mL/min。
CP800高强钢高速激光焊接接头组织与性能研究
姜彤, 王大锋, 邹升光, 曾浩林, 马冰, 陈东高
2024, 45(3): 182-187. doi: 10.7513/j.issn.1004-7638.2024.03.025
摘要(438) HTML (163) PDF(14)
摘要:
为了进一步提高激光焊接速度,改善高速焊接过程中焊缝凹陷的问题,对CP800高强钢进行了12 m/min的高速激光焊接,研究了激光入射角对焊缝成形的影响。在最优焊接工艺参数下,对焊缝成形、焊缝质量、焊接接头组织、硬度及力学性能进行了研究。结果表明:当激光入射角度为+10°时,焊缝表面基本无飞溅,凹陷最小。此外在激光功率为12500 W,焊接速度为12 m/min,激光入射角为+10°的最佳焊接参数下,焊缝表面及内部质量较好,焊缝熔宽约为1.15 mm,热影响区宽度约为0.35 mm。焊缝组织中,主要存在的是板条状马氏体和针状铁素体以及极少量的粒状贝氏体。焊缝的显微硬度(HV)值在402.5~408.5。焊接接头抗拉强度能够达到母材抗拉强度的96%,焊接接头室温冲击功能够达到母材室温冲击功的87.5%。
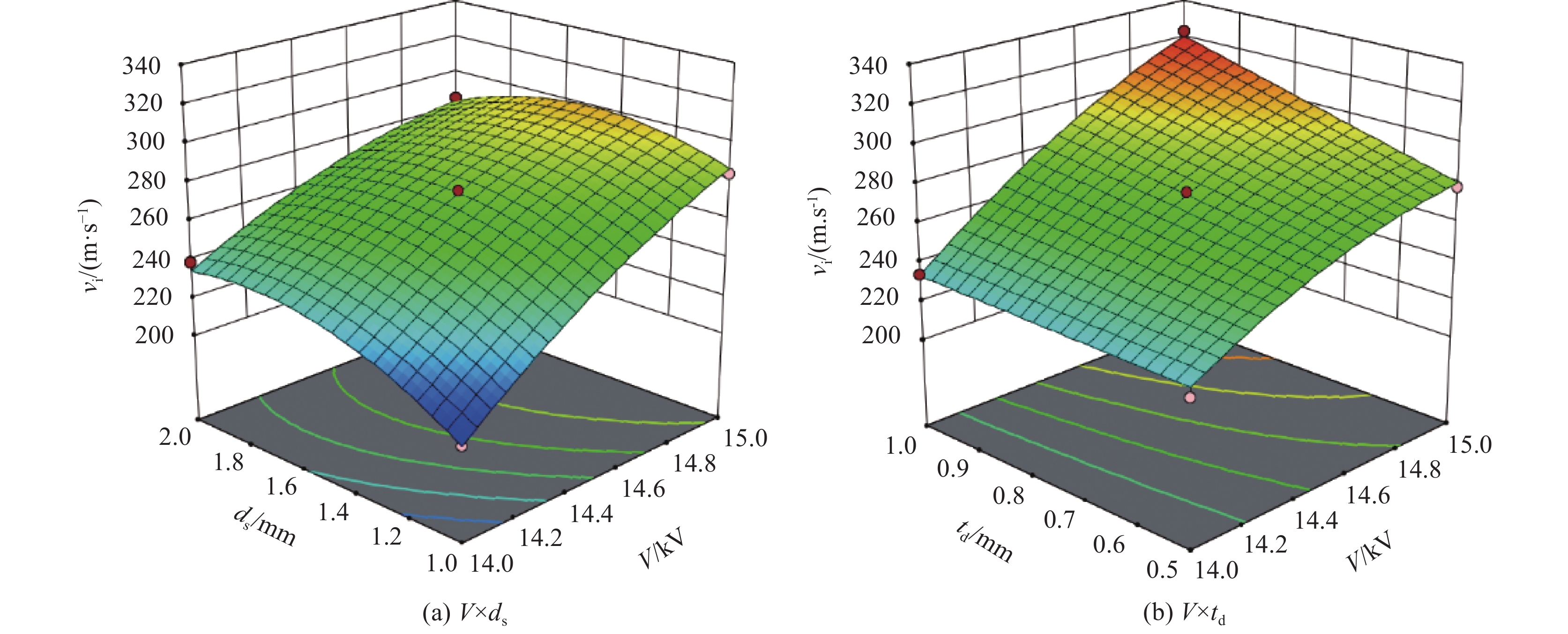
铝/钢异种金属磁力脉冲焊接多物理场耦合有限元分析
王艳, 熊志林, 宁朝阳, 陈金兰
2024, 45(3): 188-194. doi: 10.7513/j.issn.1004-7638.2024.03.026
摘要(399) HTML (195) PDF(15)
摘要:
铝/钢异种金属焊接接头易反应生成Fe-Al金属间化合物,恶化接头性能,使焊接成型困难。使用ABAQUS有限元软件模拟异种金属磁力脉冲焊(EMW)电磁-热-结构耦合过程,在最小能量下实现铝/不锈钢的高质量焊接。基于Box–Behnken响应曲面法设计试验,从电压(V)、间距(ds)和驱动板厚度(td)等工艺参数中提取重要参数。通过绘制Al/不锈钢焊接工艺窗口研究焊缝形成的可能性,并试验验证EMW仿真结果的有效性。通过分析最佳工艺参数下接头微观结构评估了接头成型质量。方差分析表明,在V =15 kV,ds =1.5 mm和td =1 mm下,可以获得用于高质量焊接的最大撞击速度。
镁对21-4N气阀钢中碳化物的影响
季灯平, 朱浩然, 刘贝贝, 孙晗, 徐翔宇, 付建勋
2024, 45(3): 195-199. doi: 10.7513/j.issn.1004-7638.2024.03.027
摘要(360) HTML (177) PDF(13)
摘要:
为了探究不同镁含量对21-4N气阀钢中液析碳化物的影响规律,采用实验室高温电阻炉冶炼了不同镁添加量的21-4N气阀钢,借助蔡司金相显微镜、扫描电子显微镜、电解腐蚀等方法开展研究。结果表明,随21-4N钢中Mg含量的增加,碳化物平均最大尺寸及面积占比均先减小后增大。添加微量的镁有助于改善钢中富Cr型液析碳化物的尺寸和分布,镁的质量分数为1.6×10−5时,液析碳化物平均最大尺寸为60.55 μm,面积占比10.43%,在钢中多呈颗粒状分布,连续性被破坏,其原因是镁元素在晶界处的偏聚,能够抑制C、Cr等合金元素的扩散,阻断碳化物连续生长,从而达到细化碳化物尺寸的效果。
理化检验
电感耦合等离子体质谱法测定钒钛磁铁矿中的稀土元素
刘淑君, 雷勇, 赵朝辉, 易建春, 王洪彬
2024, 45(3): 200-204. doi: 10.7513/j.issn.1004-7638.2024.03.028
摘要(424) HTML (185) PDF(20)
摘要:
准确、快速地测定钒钛磁铁矿中的稀土元素,对钒钛磁铁矿的高效利用有着重要的作用。针对目前国内外缺乏钒钛磁铁矿中稀土元素分析方法的问题,试验选取不同矿区具有代表性的5件钒钛磁铁矿作为试验样品,采用盐酸、氢氟酸、硝酸外加硫酸混合酸溶分解的方式,并结合电感耦合等离子体质谱仪检出限低、灵敏度高、干扰小的特点,对钒钛磁铁矿中稀土元素测定过程中的仪器条件、测定模式、内标元素、同位素选择及质谱干扰进行研究。结果表明,在最佳的仪器工作参数的条件下,采用STD模式,选择干扰小且丰度大的同位素,选择合适的内标元素Rh和Re,能够有效地降低基体效应引起的信号强度漂移。此外,通过精密度试验及加标回收试验发现,采用电感耦合等离子体质谱法测定钒钛磁铁矿中的稀土元素能获得良好的精密度与准确度,此方法准确有效。