中文核心期刊

SCOPUS 数据库收录期刊

中国科技核心期刊

美国《化学文摘》来源期刊

中国优秀冶金期刊

美国EBSCO数据库收录期刊

RCCSE中国核心学术期刊

美国《剑桥科学文摘》来源期刊

中国应用核心期刊(CACJ)

美国《乌利希期刊指南》收录期刊

中国学术期刊综合评价统计源刊

俄罗斯《文摘杂志》来源期刊

优秀中文科技期刊(西牛计划)

日本《科学技术文献数据库》(JST)收录刊

留言板

尊敬的读者、作者、审稿人, 关于本刊的投稿、审稿、编辑和出版的任何问题, 您可以本页添加留言。我们将尽快给您答复。谢谢您的支持!

姓名
邮箱
手机号码
标题
留言内容
验证码

锰含量对中碳低硅贝氏体钢显微组织及力学性能的影响

于金瑞 于鑫泓 张禹 冯以盛 赵而团

于金瑞, 于鑫泓, 张禹, 冯以盛, 赵而团. 锰含量对中碳低硅贝氏体钢显微组织及力学性能的影响[J]. 钢铁钒钛, 2024, 45(3): 147-154. doi: 10.7513/j.issn.1004-7638.2024.03.020
引用本文: 于金瑞, 于鑫泓, 张禹, 冯以盛, 赵而团. 锰含量对中碳低硅贝氏体钢显微组织及力学性能的影响[J]. 钢铁钒钛, 2024, 45(3): 147-154. doi: 10.7513/j.issn.1004-7638.2024.03.020
Yu Jinrui, Yu Xinhong, Zhang Yu, Feng Yisheng, Zhao Ertuan. Effect of Mn content on microstructure and mechanical properties of medium carbon low Si bainitic steel[J]. IRON STEEL VANADIUM TITANIUM, 2024, 45(3): 147-154. doi: 10.7513/j.issn.1004-7638.2024.03.020
Citation: Yu Jinrui, Yu Xinhong, Zhang Yu, Feng Yisheng, Zhao Ertuan. Effect of Mn content on microstructure and mechanical properties of medium carbon low Si bainitic steel[J]. IRON STEEL VANADIUM TITANIUM, 2024, 45(3): 147-154. doi: 10.7513/j.issn.1004-7638.2024.03.020

锰含量对中碳低硅贝氏体钢显微组织及力学性能的影响

doi: 10.7513/j.issn.1004-7638.2024.03.020
基金项目: 山东省自然科学基金资助项目(编号:ZR2022ME210);山东省精密制造与特种加工重点实验室基金项目(编号:9001/5322009)。
详细信息
    作者简介:

    于金瑞,1998年出生,男,山东东营人,硕士研究生,研究方向:贝氏体钢,E-mail:15154629906@163.com

    通讯作者:

    赵而团,1976年出生,男,山东临沂人,副教授,研究方向:高性能贝氏体钢的研发及产业化,E-mail:etzhao@sdut.edu.cn

  • 中图分类号: TF76,TG142.12

Effect of Mn content on microstructure and mechanical properties of medium carbon low Si bainitic steel

  • 摘要: 设计并熔炼了四种锰含量(质量分数分别为0.76%、1.29%、1.53%、1.85%)的中碳低硅贝氏体钢,利用OM、SEM、XRD仪器和拉伸、冲击试验机等研究了锰含量的添加对试验钢显微组织和力学性能的影响。结果表明,锰元素抑制了铁素体与珠光体相变;锰元素的添加降低了贝氏体的形核驱动力,减少了贝氏体最大转变量,使得贝氏体转变停滞后剩余的过冷奥氏体尺寸增大,含量增加;这些奥氏体在后续等温过程中大部分分解为粗大碳化物和铁素体混合组织,并围绕在贝氏体板条周围,形成了局部粗化组织,少部分保存至室温形成残余奥氏体;随着锰含量的增加,试验钢的屈服强度和冲击韧性逐步下降,抗拉强度由于合金化和组织粗化两因素的相互竞争先升高后降低;综合考虑贝氏体钢热处理难度与力学性能,锰含量为1.29% 时最适合作为弹簧用钢。
  • 图  1  锰含量对正火状态试验钢显微组织的影响

    Figure  1.  Effect of manganese content on microstructure of normalizing test steel

    (a) 0.76%Mn; (b) 1.29%Mn; (c) 1.53%Mn; (d) 1.85%Mn

    图  2  锰含量对试验钢空冷+等温后显微组织的影响

    Figure  2.  Effect of Mn content on microstructure of test steel after isotherm

    (a) 0.76%Mn; (b) 1.29%Mn; (c) 1.53%Mn; (d) 1.85%Mn

    图  3  试验钢的XRD谱

    Figure  3.  XRD curve of the experimental steels

    图  4  粗大碳化物的SEM形貌及分布

    (a) 线型分布碳化物; (b) 粗大碳化物与铁素体混合组织

    Figure  4.  SEM morphology and distribution of coarse carbides (a) Linear distribution of carbides (b) Coarse carbide and ferrite mixed structure

    图  5  等温热处理过程中低硅贝氏体钢中碳化物析出示意

    Figure  5.  Schematic diagram of carbide precipitation in low silicon bainite steel during isothermal heat treatment

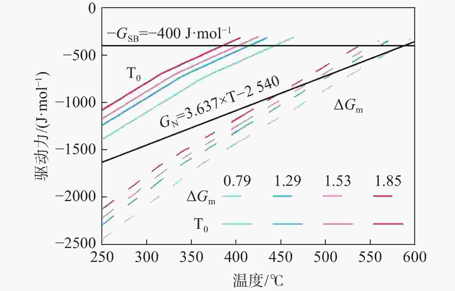
    图  6  不同锰含量试验钢贝氏体形核及长大驱动力与温度的关系

    Figure  6.  The relationship between temperature and driving force of Bainite core and growth of steel with different Mn content

    图  7  不同锰含量试验钢等温过程中残余奥氏体中碳质量分数变化与${\rm{T}}'_0 $曲线拟合

    Figure  7.  The variation of C mass fraction in residual austenite during isothermal process is fitted with ${\rm{T}}'_0 $ lines

    图  8  0.79%Mn试验钢的相变热力学曲线${\rm{T}}_0、{\rm{T}}'_0$、${\rm{A}}'_{{\rm{e}}3}、{\rm{A}}'_{{\rm{e}}3}$

    Figure  8.  Thermodynamic curve of phase transformation of 0.79%Mn test steel ${\rm{T}}_0,{\rm{T}}'_0 $, ${\rm{A}}_{{\rm{e}}3},{\rm{A}}'_{{\rm{e}}3}$

    图  9  不同锰含量试验钢的冲击断口形貌

    Figure  9.  Impact fracture morphology of steel tested with different manganese content

    (a) 0.76%Mn; (b) 1.29%Mn; (c) 1.53%Mn; (d) 1.85%Mn

    表  1  试验钢的化学成分

    Table  1.   Chemical compositions of experimental steels %

    No.CMnCr+Mo+VSiPSFe
    M10.540.761.450.310.0130.003Bal.
    M20.551.291.440.240.0130.005Bal.
    M30.541.531.460.420.0130.003Bal.
    M40.561.851.530.370.0170.004Bal.
    下载: 导出CSV

    表  2  不同锰含量试验钢的力学性能

    Table  2.   Mechanical properties of steel tested with different manganese content

    No.抗拉强度/MPa屈服强度/MPa伸长率/%强塑积/(GPa·%)冲击功/J
    M11203±3903±611.5±0.413.5627.9±2
    M21592±21290±238.8±0.313.9926.7±5
    M31629±71239±179.5±0.215.5424.1±6
    M41565±181136±319.4±0.414.5421.7±3
    下载: 导出CSV
  • [1] Liu C, Chen Y, Zhang C, et al. Enhanced strength and plasticity in a novel 55Si2MnMoV spring steel via austempering[J]. Materials Science and Engineering:A, 2021,825:141887. doi: 10.1016/j.msea.2021.141887
    [2] Yang Lin, Yu Chibin, Bao Siqian, et al. Analysis on decarburization of 50CrV4 steel and its effect on hardenability[J]. Iron Steel Vanadium Titanium, 2013,34(2):88−92. (杨林, 余驰斌, 鲍思前, 等. 50CrV4脱碳分析及其对淬硬性的影响[J]. 钢铁钒钛, 2013,34(2):88−92.

    Yang Lin, Yu Chibin, Bao Siqian, et al. Analysis on Decarburization of 50 CrV4 Steel and Its Effect on Hardenability[J]. Iron Steel Vanadium Titanium. 2013, 34(02): 88-92.
    [3] Meng Jian. Study on microalloying and heat treatment process of spring steel 55SiCrV[J]. Iron Steel Vanadium Titanium, 2021,42(3):187−192. (蒙坚. 弹簧钢55SiCrV的微合金化及热处理工艺研究[J]. 钢铁钒钛, 2021,42(3):187−192. doi: 10.7513/j.issn.1004-7638.2021.03.028

    Meng Jian. Study on microalloying and heat treatment process of spring steel 55 SiCrV[J]. Iron Steel Vanadium Titanium. 2021, 42(3): 187-192. doi: 10.7513/j.issn.1004-7638.2021.03.028
    [4] Bajželj A, Burja J. Influence of austenitisation temperature and time on martensitic and isothermal bainite phase transformation of spring steel[J]. Metals, 2022,12(8):1373. doi: 10.3390/met12081373
    [5] Huang Jingxin, Bai Bingzhe, Yu Guichun, et al. Properties of a new type bainitic steel for autombile leaf spring[J]. Heat Treatment of Metals, 2004,(11):1−5. (黄敬新, 白秉哲, 余贵春, 等. 新型贝氏体钢汽车板簧材料的性能研究[J]. 金属热处理, 2004,(11):1−5. doi: 10.3969/j.issn.0254-6051.2004.11.001

    Huang Jingxin, Bai Bingzhe, Yu Guichun, et al. Properties of a new type bainitic steel for autombile leaf spring[J]. Heat Treatment of Metals. 2004(11): 1-5. doi: 10.3969/j.issn.0254-6051.2004.11.001
    [6] Yang Zhongrun, Wang Xinyi, Chen Daming, et al. Heat treatment of medium carbon bainitic spring steel[J]. Materials for Mechanical Engineering, 1992,(3):55−57. (杨忠润, 王新祎, 陈大明, 等. 中碳贝氏体弹簧钢的热处理[J]. 机械工程材料, 1992,(3):55−57.

    Yang Zhongrun, Wang Xinwei, Chen Daming, et al. Heat treatment of medium carbon bainitic spring steel[J]. Materials for Mechanical Engineering. 1992(03): 55-57.
    [7] Xu Guang, Yang Jing, Zou Hang, et al. Research on microstructure and property of V-alloyed superbainite steel[J]. Iron Steel Vanadium Titanium, 2011,32(4):26−30. (徐光, 杨静, 邹航, 等. 含钒超级贝氏体钢组织和性能研究[J]. 钢铁钒钛, 2011,32(4):26−30.

    Xu Guang, Yang Jing, Zou Hang, et al. Research on Microstructure and Property of V-alloyed Superbainite Steel[J]. Iron Steel Vanadium Titanium. 2011, 32(4): 26-30.
    [8] 安佰锋, 高古辉, 白秉哲, 等. Mn系贝氏体钢的研究与新进展[C]//第十一届全国热处理大会论文集. 太原: 中国机械工程学会热处理分会, 2015.

    An Baifeng, Gao Guhui, Bai Bingzhe, et al. Latest developments of Mn series bainitic steels[C]//Proceedings of the 11th National Heat Treatment Conference. Taiyuan: Heat Treatment Branch of China Society of Mechanical Engineering, 2015.
    [9] Ji Fangfang, Hui Weijun, Wu Yongsheng, et al. Microstructure and mechanical properties of cold hardening microalloyed steel with different manganese contents[J]. Heat Treatment of Metals, 2010,35(10):33−36. (计芳芳, 惠卫军, 吴勇生, 等. 不同锰含量冷作强化非调质钢的微观组织和力学性能[J]. 金属热处理, 2010,35(10):33−36. doi: 10.13251/j.issn.0254-6051.2010.10.008

    J. I. Fang-Fang, Hui Wei-Jun, W. U. Yong-Sheng, et al. Microstructure and mechanical properties of cold hardening microalloyed steel with different manganese contents[J]. Heat Treatment of Metals. 2010, 35(10): 33-36. doi: 10.13251/j.issn.0254-6051.2010.10.008
    [10] 张绍龙, 周雯, 胡锋, 等. 锰对贝氏体钢中残余奥氏体回火稳定性的影响[J]. 钢铁, 2023(2): 113−125.

    Zhang Shaolong, Zhou Wen, Hu Feng, et al. Effect of Mn on tempering stability of retained austenite in bainite steel[J]. Iron and Steel, 2023(2): 113−125.
    [11] Zhu Jiaqi, Tan Zhunli, Gao Bo, et al. Effect of Mn content on microstructure and mechanical properties of bainite wheel steel[J]. China Railway Science, 2020,41(4):91−98. (祝家祺, 谭谆礼, 高博, 等. 锰对贝氏体车轮钢组织和力学性能的影响[J]. 中国铁道科学, 2020,41(4):91−98. doi: 10.3969/j.issn.1001-4632.2020.04.11

    Zhu Jiaqi, Tan Zhunli, Gao Bo, et al. Effect of Mn content on microstructure and mechanical properties of bainite wheel steel[J]. China Railway Science. 2020, 41(04): 91-98. doi: 10.3969/j.issn.1001-4632.2020.04.11
    [12] Long X Y, Zhang F C, Zhang C Y. Effect of Mn content on low-cycle fatigue behaviors of low-carbon bainitic steel[J]. Materials Science and Engineering. A, Structural Materials:Properties, Microstructure and Processing, 2017,697:111−118. doi: 10.1016/j.msea.2017.04.089
    [13] Liu Shikai, Yang Liu, Zhang Jun, et al. Influence of Si and Mn on morphology of bainitic ferrite and kinetics of bainite transformation in Fe-C alloy[J]. Acta Metallurgica Sinica, 1992,(12):1−8. (刘世楷, 杨柳, 张筠, 等. Si和Mn对钢中贝氏体形态和转变动力学的影响[J]. 金属学报, 1992,(12):1−8.

    Liu Shikai, Yang Liu, Zhang Jun, et al. Influence of Si and Mn on morphology of bainitic ferrite and kinetics of bainite transformation in Fe-C alloy[J]. Acta Metallurgica Sinica. 1992(12): 1-8.
    [14] Zheng Hua, Hu Feng, Ke Rui, et al. Effect of Si on microstructure and mechanical properties of low temperature bainitic steel with medium carbon[J]. Heat Treatment of Metals, 2020,45(9):203−209. (郑花, 胡锋, 柯睿, 等. 硅对中碳低温贝氏体钢组织与性能的影响[J]. 金属热处理, 2020,45(9):203−209. doi: 10.13251/j.issn.0254-6051.2020.09.037

    Zheng Hua, Hu Feng, Ke Rui, et al. Effect of Si on microstructure and mechanical properties of low temperature bainitic steel with medium carbon[J]. Heat Treatment of Metals. 2020, 45(09): 203-209. doi: 10.13251/j.issn.0254-6051.2020.09.037
    [15] Qin Xiaofeng, Li Hui, Chen Rushu, et al. Effect of surface condition on fatigue performanoe of 60 S2 CrVAT spring steel[J]. Journal of Dalian Jiaotong University, 2008,(2):74−78. (秦晓锋, 李辉, 陈汝淑, 等. 表面状态对60Si2CrVAT弹簧钢疲劳性能的影响[J]. 大连交通大学学报, 2008,(2):74−78. doi: 10.3969/j.issn.1673-9590.2008.02.019

    Qin Xiaofeng, Li Hui, Chen Rushu, et al. Effect of surface condition on fatigue performanoe of 60 S2 CrVAT spring steel[J]. Journal of Dalian Jiaotong University. 2008(02): 74-78. doi: 10.3969/j.issn.1673-9590.2008.02.019
    [16] Fang Hongsheng, Feng Chun, Zheng Yankang, et al. Precipitation of the carbides in lower bainite[J]. Acta Metallurgiga Sinica, 2007,(6):583−588. (方鸿生, 冯春, 郑燕康, 等. 下贝氏体中碳化物的析出[J]. 金属学报, 2007,(6):583−588. doi: 10.3321/j.issn:0412-1961.2007.06.006

    Fang Hongsheng, Feng Chun, Zheng Yankang, et al. Precipitation of the carbides in lower bainite[J]. Acta Metallurgiga Sinica. 2007(06): 583-588. doi: 10.3321/j.issn:0412-1961.2007.06.006
    [17] Huang Weigang, Fang Hongsheng, Zheng Yankang. Effect of silicon content on the microstructure and properties in Mn-B air-cooled bainitic steel[J]. Transactions of Metal Heat Treatment, 1997,(1):10−15. (黄维刚, 方鸿生, 郑燕康. 硅对MN-B系空冷贝氏体钢组织与性能的影响[J]. 金属热处理学报, 1997,(1):10−15.

    Wei Gang Huang, Hong Sheng Fang, Yan Kang Zheng. Effect of silicon content on the microstructure and properties in Mn-B air-cooled bainitic steel [J]. Transactions of Metal Heat Treatment. 1997(1): 10-15.
    [18] Ruijie Z, Zheng C, Bo L, et al. In-situ investigation of composition segregation and deformation streamline in bainitic steel on mechanical properties[J]. Materials Science and Engineering:A, 2022,855:143949. doi: 10.1016/j.msea.2022.143949
    [19] Goulas C, Mecozzi M G, Sietsma J. Bainite formation in medium-carbon low-silicon spring steels accounting for chemical segregation[J]. Metallurgical and Materials Transactions A, Physical Metallurgy and Materials Science, 2016,47(6):3077−3087. doi: 10.1007/s11661-016-3418-6
    [20] Liu Zongchang, Wang Haiyan, Wang Yufeng, et al. Morphology and formation mechanism of bainitic carbide[J]. Transactions of Materials and Heat Treatmen, 2008,(1):32−37. (刘宗昌, 王海燕, 王玉峰, 等. 贝氏体碳化物的形貌及形成机制[J]. 材料热处理学报, 2008,(1):32−37.

    Liu Zongchang, Wang Haiyan, Wang Yufeng, et al. Morphology and formation mechanism of bainitic carbide[J]. Transactions of Materials and Heat Treatmen. 2008(01): 32-37.
    [21] Tan X, Xu Y, Yang X, et al. Austenite stabilization and high strength-elongation product of a low silicon aluminum-free hot-rolled directly quenched and dynamically partitioned steel[J]. Materials Characterization, 2015,104:23−30. doi: 10.1016/j.matchar.2015.03.022
    [22] Bhadeshia H K D H. 钢中贝氏体[M]. 秦皇岛: 燕山大学出版社, 2020.

    Bhadeshia H K D H. Bainite in steels[M]. Qinhuangdao: Yanshan University Press, 2020.
    [23] Królicka A, Janik A, Ak A, et al. The qualitative-quantitative approach to microstructural characterization of nanostructured bainitic steels using electron microscopy methods[J]. Materials Science-Poland, 2021,39(2):188−199. doi: 10.2478/msp-2021-0017
    [24] Cornide J, Garcia-Mateo C, Capdevila C, et al. An assessment of the contributing factors to the nanoscale structural refinement of advanced bainitic steels[J]. Journal of Alloys and Compounds, 2013,577:S43−S47. doi: 10.1016/j.jallcom.2011.11.066
  • 加载中
图(9) / 表(2)
计量
  • 文章访问数:  450
  • HTML全文浏览量:  206
  • PDF下载量:  23
  • 被引次数: 0
出版历程
  • 收稿日期:  2023-06-14
  • 刊出日期:  2024-07-02

目录

    /

    返回文章
    返回