中文核心期刊

SCOPUS 数据库收录期刊

中国科技核心期刊

美国《化学文摘》来源期刊

中国优秀冶金期刊

美国EBSCO数据库收录期刊

RCCSE中国核心学术期刊

美国《剑桥科学文摘》来源期刊

中国应用核心期刊(CACJ)

美国《乌利希期刊指南》收录期刊

中国学术期刊综合评价统计源刊

俄罗斯《文摘杂志》来源期刊

优秀中文科技期刊(西牛计划)

日本《科学技术文献数据库》(JST)收录刊

留言板

尊敬的读者、作者、审稿人, 关于本刊的投稿、审稿、编辑和出版的任何问题, 您可以本页添加留言。我们将尽快给您答复。谢谢您的支持!

姓名
邮箱
手机号码
标题
留言内容
验证码

钛石膏土壤化利用的安全风险及前景分析

云易 王港 苏海锋

云易, 王港, 苏海锋. 钛石膏土壤化利用的安全风险及前景分析[J]. 钢铁钒钛, 2024, 45(3): 92-100. doi: 10.7513/j.issn.1004-7638.2024.03.013
引用本文: 云易, 王港, 苏海锋. 钛石膏土壤化利用的安全风险及前景分析[J]. 钢铁钒钛, 2024, 45(3): 92-100. doi: 10.7513/j.issn.1004-7638.2024.03.013
Yun Yi, Wang Gang, Su Haifeng. Safety risk and prospect analysis of titanium gypsum on soil utilization[J]. IRON STEEL VANADIUM TITANIUM, 2024, 45(3): 92-100. doi: 10.7513/j.issn.1004-7638.2024.03.013
Citation: Yun Yi, Wang Gang, Su Haifeng. Safety risk and prospect analysis of titanium gypsum on soil utilization[J]. IRON STEEL VANADIUM TITANIUM, 2024, 45(3): 92-100. doi: 10.7513/j.issn.1004-7638.2024.03.013

钛石膏土壤化利用的安全风险及前景分析

doi: 10.7513/j.issn.1004-7638.2024.03.013
基金项目: 国土资源部自然资源部退化及未利用土地整治工程项目(SXDJ-202425)。
详细信息
    作者简介:

    云易,1997年出生,河南郑州人,硕士研究生,研究方向:土壤与固废利用,E-mail: yunyi20@mails.ucas.ac.cn

    通讯作者:

    苏海锋,博士,硕导,主要研究方向:土壤修复,固废利用,E-mail:suhaifeng@cigit.ac.cn

  • 中图分类号: X788,S156

Safety risk and prospect analysis of titanium gypsum on soil utilization

  • 摘要: 目前,钛石膏的资源化利用率不足10%,缺乏可大规模消纳的应用领域,而土壤化可能是一个重要的方向。提出将钛石膏作为土壤化的资源利用途径,分析其作为土壤资源化利用时面临的安全性问题,探究其用作土壤的基本性质及安全风险。通过浸出毒性对钛石膏进行安全风险评价,分析其理化性质及在土壤利用方面的可行性,以及通过内梅罗指数(P)等方法探究其土壤风险与营养性。研究结果表明,钛石膏的理化性质适宜将其作为土壤母质进一步资源化利用,在国家农用土与绿化土标准规定的8种重金属限制范围内没有严重的环境风险,但钒等部分重金属含量超出了绿化用有机基质的标准,可能成为新的污染物。鉴于以上结果,可以考虑在经过营养性等改良、排除重金属污染风险后,作为土壤化进行资源化利用。为钛石膏资源化利用作土壤资源,进而实现大规模消纳提供了参考。
  • 图  1  钛石膏样品

    (a)干样; (b) 湿样  

    Figure  1.  Titanium gypsum samples

    图  3  钛石膏重金属含量与《农用地土壤污染风险管控标准》管控值对照

    左侧纵坐标指Pb、Cr、Ni、Cu、Zn含量;右侧纵坐标指Cd 、Hg 、As含量

    Figure  3.  Comparision of the heavy metal content of titanium gypsum with the control value of “Agricultural land soil pollution risk control standard”

    图  4  钛石膏重金属含量与《绿化种植土壤》Ⅰ、Ⅱ级技术要求值对照

    左侧纵坐标指Pb、Cr、As、Ni、Cu、Zn含量;右侧纵坐标指Cd、Hg含量

    Figure  4.  Comparision of the heavy metal content of titanium gypsum with the technical requirements of grade I and II of “Greening Planting Soil”

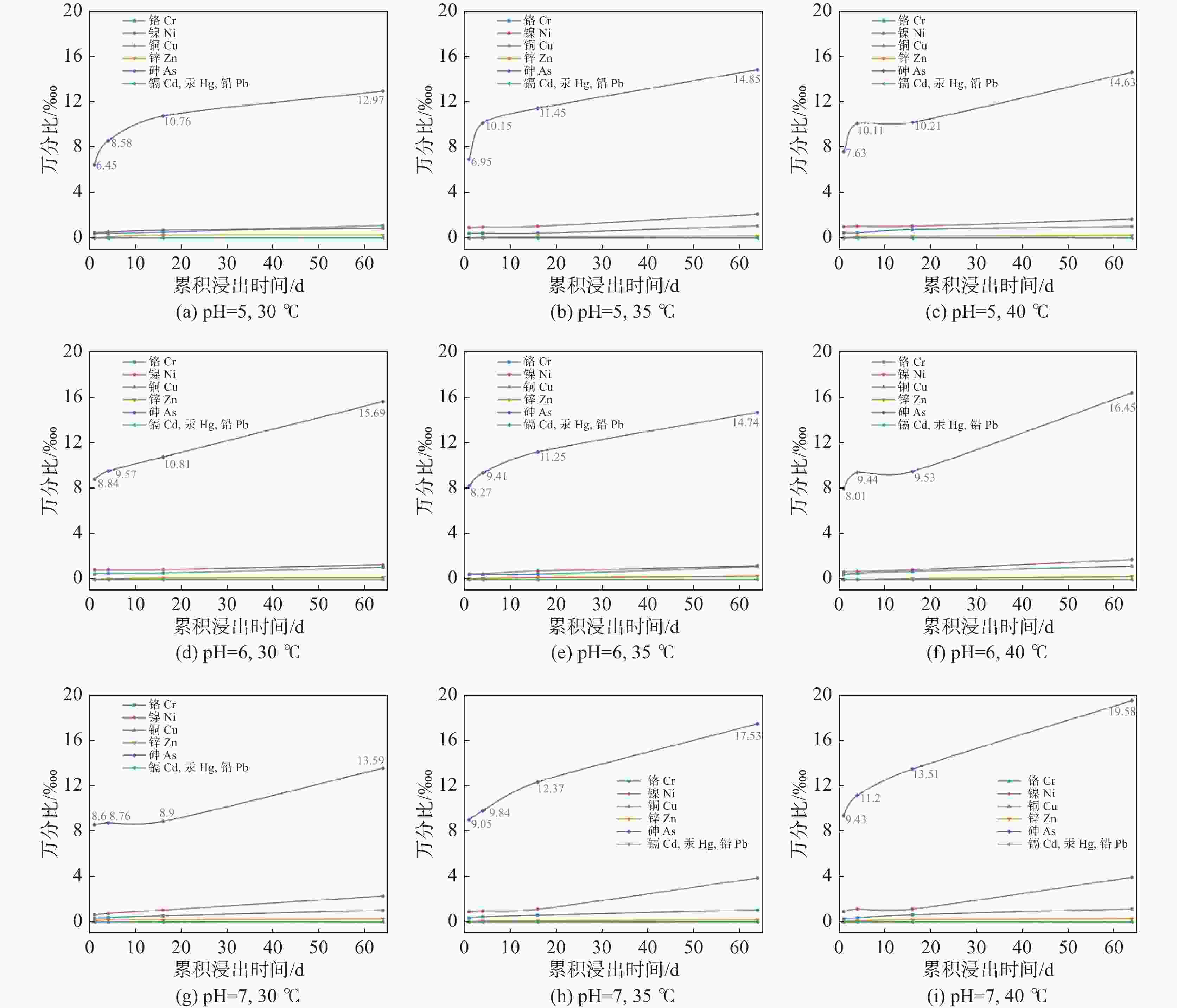
    图  2  钛石膏雨水连续静态浸出毒性占危险废物鉴别标准限值的比例

    注: 经检测,Cd、Hg、Pb的浸出毒性含量均低于检出限,图中均用0表示其含量。

    Figure  2.  The proportion of continuous static leaching toxicity of titanium gypsum by rainwater to the standard limit for identification of hazardous waste

    图  5  钛石膏的重金属污染单因子指数、内梅罗指数与《土壤环境监测技术规范》中的土壤质量评价等级对照

    Figure  5.  Comparison of single factor index and Nemerow index of heavy metal pollution of titanium gypsum with soil quality evaluation grade in “Technical specification for soil environmental monitoring”

    图  6  钛石膏与全国第二次土壤普查养分分级标准的养分对照

    Figure  6.  Nutrient comparison between titanium gypsum and nutrient classification standard of the second national soil survey

    表  1  雨水连续静态浸出安全性试验的试验组设置

    Table  1.   Experimental group setting for continuous static leaching safety test of rainwater

    编号浸提剂pH温度/ ℃
    1530
    2535
    3540
    45较高的非恒温室温
    5630
    6635
    7640
    86较高的非恒温室温
    9730
    10735
    11740
    127较高的非恒温室温
    下载: 导出CSV

    表  2  钛石膏的浸出毒性与相关标准限值对照

    Table  2.   Comparision of leaching toxicity of titanium gypsum with the relevant standard limits

    硫酸硝酸法水平振荡法
    危害成分浸出液中危害
    成分含量/(mg·L−1)
    危险废物判定标准
    浓度限值/(mg·L−1)
    占比/%危害成分浸出液中危害
    成分含量/(mg·L−1)
    第I类一般工业固体
    废物判定标准浓度
    限值/(mg·L−1)
    占比/%
    总Cu*2.5×10−31000.00总Cu1.06×10−310.11
    总Pb*4.2×10−350.00总Pb1.04×10−310.10
    总Zn0.1811000.18总Zn4.79×10−250.96
    总Cd*1.2×10−310.00总Cd1.2×10−40.10.12
    总Ni8.6×10−350.17总Ni2.05×10−310.21
    总As1.66×10−350.03总As1.0×10−30.50.20
    总Cr5.6×10−3150.04总Cr1.83×10−31.50.12
    Cr(Ⅵ)*4×10−350.00Cr(Ⅵ)*4×10−30.50.02
    总Se8.0×10−410.08总Se*4.0×10−40.20.00
    总Hg4.0×10−40.10.40总Hg4.2×10−40.050.84
    总Be*7.0×10−40.020.00总Be*4.0×10−50.0050.00
    总Ag*2.9×10−350.00总Ag8×10−50.50.02
    F2.361002.36F2.361002.36
    总Ba2.10×10−21000.02总Mn0.398219.90
    pH8.1112.5pH8.16~9
    注:“*”表示检测结果低于检出限,数值为该项目方法检出限;F指不包括氟化钙的无机氟化物含量;占比指钛石膏浸出液中危害成分浓度与危险废物标准限值的比值。
    下载: 导出CSV

    表  3  雨水连续静态浸出安全性试验的变温组浸出毒性

    Table  3.   Leaching toxicity of variable temperature group in continuous static leaching safety test of rainwater

    测定条件含量/(μg·L−1)
    温度范围/ ℃pH浸出时间/dCrNiCuZnAsCdHgPb
    测定值30~455641.401.360.182.479.45*0.05*0.07*0.09
    危险废物鉴别
    标准限值
    30~455641.5×1045×1031×1051×1055×1031×1031×1025×103
    注:“*”表示检测结果低于检出限,数值为该项目方法检出限。
    下载: 导出CSV

    表  4  国内各地区关于土壤氟的现存标准及限值

    Table  4.   Existing standards and limits of soil fluorine in various regions of China

    地区 标准名称及编号 指标 最低限值/(mg·kg−1)
    北京市 场地土壤环境风险评价筛选值 DB11 /T 811—2011 氟化物 (住宅用地)650
    广东省 土壤重金属风险评价筛选值 珠江三角洲DB44 /T 1415—2014 氟化物 (居住用地)1000
    重庆市 场地土壤环境风险评估筛选值 DB50 /T 723—2016 可溶性氟化物 (居住用地)950
    河北省 建设用地土壤污染风险筛选值 DB13 /T 5216—2020 可溶性氟化物 (敏感用地)1950
    广东省深圳市 建设用地土壤污染风险筛选值和管制值(DB4403 /T 67—2020) 总氟化物 (第一类用地)1960
    下载: 导出CSV

    表  5  钛石膏的重金属污染单因子指数和内梅罗指数

    Table  5.   Single factor index and Nemerow index of heavy metals of titanium gypsum

    项目 单因子污染指数($ {p}_{i} $)
    平均值 变异系数/% 范围
    干样 湿样 干样 湿样 干样 湿样
    Cd 1.00 0.52 5.00 5.59 0.95~1.05 0.50~0.55
    Hg 0.18 0.13 7.81 7.77 0.17~0.19 0.12~0.14
    Pb 0.43 0.10 6.67 15.75 0.40~0.46 0.09~0.11
    Cr 1.05 0.55 0.92 7.12 1.04~1.06 0.51~0.59
    As 0.59 1.10 1.95 5.19 0.59~0.61 1.05~1.16
    Ni 0.84 0.51 1.71 7.51 0.83~0.85 0.48~0.55
    Cu 1.00 0.61 0.70 7.16 1.00~1.01 0.57~0.66
    Zn 1.70 1.69 2.81 2.64 1.65~1.75 1.64~1.72
    $ P_{i\mathrm{\ a}\mathrm{v}\mathrm{e}} $ 0.85 0.65 3.45 7.34
    $ P_{i\mathrm{\ m}\mathrm{a}\mathrm{x}} $ 1.75 1.72
    内梅罗指数($ P $) 1.37 1.30
    下载: 导出CSV

    表  6  干、湿样钛石膏的土壤特性

    Table  6.   Soil properties of dry and wet titanium gypsum

    试样 pH
    (酸碱度)
    全盐(可溶性盐)/
    (g·kg−1)
    有机质(总有机
    碳)/(g·kg−1)
    速效氮(碱解氮)/
    (mg·kg−1)
    速效磷(碱性
    有效磷)/(mg·kg−1)
    速效钾/
    (mg·kg−1)
    全氮/
    (g·kg−1)
    全磷/
    (g·kg−1)
    全钾/
    (g·kg−1)
    干样钛石膏 ±8.14 ±17.21 ±3.97 ±8.00 ±0.50 ±181.67 ±0.23 ±0.04 ±2.62
    湿样钛石膏 ±8.36 ±17.73 ±2.63 ±7.00 ±0.80 ±75.67 ±0.23 ±0.04 ±2.53
    下载: 导出CSV

    表  7  以土壤含盐量划分的盐渍土类型与植物生长的关系

    Table  7.   Relationship between saline soil type and plant growth by soil salt content

    盐分/(g·kg−1) 盐渍化程度 植物生长状况
    <0.1 非盐渍化土壤 对作物不产生盐害
    1.0~3.0 盐渍化土 对盐分极敏感的作物产量可能受到影响
    3.0~5.0 中度盐土 对盐分敏感作物产量受到影响,但对耐盐作物(苜蓿、棉花、甜菜、高粱、谷子)无多大影响
    5.0~10.0 重盐土 只有耐盐作物有收成,但影响种子发芽,而且出现缺苗,严重影响产量
    >10.0 极重盐土 只有极少数耐盐植物能生长,如耐盐的牧草、灌木、树木等
    下载: 导出CSV
  • [1] Wang Jianwei, Ren Xiulian, Wei Qifeng, et al. Current research situation and prospect for comprehensive utilization of waste acid from titanium dioxide production[J]. Inorganic Chemicals Industry, 2009,41(9):4−7. (王建伟, 任秀莲, 魏琦峰, 等. 钛白废酸的综合利用研究现状及展望[J]. 无机盐工业, 2009,41(9):4−7. doi: 10.3969/j.issn.1006-4990.2009.09.002

    Wang Jianwei, Ren Xiulian, Wei Qifeng, et al. Current research situation and prospect for comprehensive utilization of waste acid from titanium dioxide production[J]. Inorganic Chemicals Industry, 2009, 41(9): 4−7. doi: 10.3969/j.issn.1006-4990.2009.09.002
    [2] Ji Luojun, Zhao Honglin. Resource utilization of industrial by-product gypsum from the perspective of circular economy[J]. Sulphuric Acid Industry, 2021(9):1−8. (纪罗军, 赵红林. 从循环经济角度看工业副产石膏的资源化利用[J]. 硫酸工业, 2021(9):1−8.

    Ji Luojun, Zhao Honglin. Resource utilization of industrial by-product gypsum from the perspective of circular economy[J]. Sulphuric Acid Industry, 2021(9): 1−8.
    [3] Hu Shugang, Ma Shuwen, Wang Zhijing, et al. Application research on titanium dioxide waste acid and acid waste water treatment and the byproduct-gypsum[J]. China Resources Comprehensive Utilization, 2003(9):2−8. (胡术刚, 马术文, 王之静, 等. 钛白废酸废水治理及副产石膏应用探讨[J]. 中国资源综合利用, 2003(9):2−8. doi: 10.3969/j.issn.1008-9500.2003.09.002

    Hu Shugang, Ma Shuwen, Wang Zhijing, et al. Application research on titanium dioxide waste acid and acid waste water treatment and the byproduct-gypsum[J]. China Resources Comprehensive Utilization, 2003(9): 2−8. doi: 10.3969/j.issn.1008-9500.2003.09.002
    [4] Han Ping, Wang Jihua, Pan Ligang, et al. Evaluation of soil quality in suburb of Beijing under field scale[J]. Transactions of the Chinese Society of Agricultural Engineering, 2009,25(S2):228−234. (韩平, 王纪华, 潘立刚, 等. 北京郊区田块尺度土壤质量评价[J]. 农业工程学报, 2009,25(S2):228−234.

    Han Ping, Wang Jihua, Pan Ligang, et al. Evaluation of soil quality in suburb of Beijing under field scale[J]. Transactions of the Chinese Society of Agricultural Engineering, 2009, 25(S2): 228−234.
    [5] Hua Shaoguang, Xu Qingrong, Li Bo, et al. Study on solid waste discrimination of titanium gypsum in a storage yard[J]. Modern Mining, 2021,37(12):41−43. (华绍广, 徐庆荣, 李波, 等. 某堆场钛石膏固废属性判别研究[J]. 现代矿业, 2021,37(12):41−43. doi: 10.3969/j.issn.1674-6082.2021.12.014

    Hua Shaoguang, Xu Qingrong, Li Bo, et al. Study on solid waste discrimination of titanium gypsum in a storage yard[J]. Modern Mining, 2021, 37(12): 41−43. doi: 10.3969/j.issn.1674-6082.2021.12.014
    [6] Wei Fusheng, Chen Jingsheng, Wu Yanyu, et al. Study on the background contents on 61 elements of soils in China.[J]. Environmental Science, 1991(4):12−19, 94. (魏复盛, 陈静生, 吴燕玉, 等. 中国土壤环境背景值研究[J]. 环境科学, 1991(4):12−19, 94. doi: 10.3321/j.issn:0250-3301.1991.04.015

    Wei Fusheng, Chen Jingsheng, Wu Yanyu, et al. Study on the background contents on 61 elements of soils in China.[J]. Environmental Science, 1991(4): 12−19, 94. doi: 10.3321/j.issn:0250-3301.1991.04.015
    [7] Liu Danqing, Zhu Mengjie, Tang Lin. Discussion on risk control limits of soil fluorine content in Shanghai[J]. Environmental Monitoring in China, 2021,37(4):128−134. (刘丹青, 朱梦杰, 汤琳. 上海市土壤氟含量风险管控限值探讨[J]. 中国环境监测, 2021,37(4):128−134.

    Liu Danqing, Zhu Mengjie, Tang Lin. Discussion on risk control limits of soil fluorine content in Shanghai[J]. Environmental Monitoring in China, 2021, 37(4): 128−134.
    [8] Liu Qing, Du Zhiyong, Shi Yanxi, et al. Evaluation on environmental quality of heavy metals in Shouguang city, Shandong province[J]. Acta Agriculturae Universitatis Jiangxiensis, 2009,31(1):144−148. (刘庆, 杜志勇, 史衍玺, 等. 山东省寿光市土壤重金属环境质量评价[J]. 江西农业大学学报, 2009,31(1):144−148.

    Liu Qing, Du Zhiyong, Shi Yanxi, et al. Evaluation on environmental quality of heavy metals in Shouguang city, Shandong province[J]. Acta Agriculturae Universitatis Jiangxiensis, 2009, 31(1): 144−148.
    [9] Gong Zitong, Zhang Ganlin, Chen Zhicheng, et al. Soil reference on the bases of Chinese soil taxonomy[J]. Chinese Journal of Soil Science, 2002(1):1−5. (龚子同, 张甘霖, 陈志诚, 等. 以中国土壤系统分类为基础的土壤参比[J]. 土壤通报, 2002(1):1−5.

    Gong Zitong, Zhang Ganlin, Chen Zhicheng, et al. Soil reference on the bases of Chinese soil taxonomy[J]. Chinese Journal of Soil Science, 2002(1): 1−5.
    [10] Bao Shidan. Soil analysis in agricultural chemistry[M]. Beijing: China Agriculture Press, 2000. (鲍士旦. 土壤农化分析[M]. 北京: 中国农业出版社, 2000.

    Bao Shidan. Soil analysis in agricultural chemistry[M]. Beijing: China Agriculture Press, 2000.
    [11] Huang Xianfei, Wang Lixia, Gong Ning, et al. Soil fertility characteristics and evaluation of paddy field and dry land in Jianhe county[J]. Southwest China Journal of Agricultural Sciences, 2020,33(7):1510−1516. (黄先飞, 王莉霞, 龚宁, 等. 剑河县水田及旱地的土壤肥力特征与评价[J]. 西南农业学报, 2020,33(7):1510−1516.

    Huang Xianfei, Wang Lixia, Gong Ning, et al. Soil fertility characteristics and evaluation of paddy field and dry land in Jianhe county[J]. Southwest China Journal of Agricultural Sciences, 2020, 33(7): 1510−1516.
  • 加载中
图(6) / 表(7)
计量
  • 文章访问数:  647
  • HTML全文浏览量:  280
  • PDF下载量:  26
  • 被引次数: 0
出版历程
  • 收稿日期:  2024-03-06
  • 刊出日期:  2024-07-02

目录

    /

    返回文章
    返回