中文核心期刊

SCOPUS 数据库收录期刊

中国科技核心期刊

美国《化学文摘》来源期刊

中国优秀冶金期刊

美国EBSCO数据库收录期刊

RCCSE中国核心学术期刊

美国《剑桥科学文摘》来源期刊

中国应用核心期刊(CACJ)

美国《乌利希期刊指南》收录期刊

中国学术期刊综合评价统计源刊

俄罗斯《文摘杂志》来源期刊

优秀中文科技期刊(西牛计划)

日本《科学技术文献数据库》(JST)收录刊

留言板

尊敬的读者、作者、审稿人, 关于本刊的投稿、审稿、编辑和出版的任何问题, 您可以本页添加留言。我们将尽快给您答复。谢谢您的支持!

姓名
邮箱
手机号码
标题
留言内容
验证码

薄荷碳点/TiO2复合光催化剂的制备及其性能研究

张英 任旺 郑兴文 周慧眠 瞿香 李敏娇

张英, 任旺, 郑兴文, 周慧眠, 瞿香, 李敏娇. 薄荷碳点/TiO2复合光催化剂的制备及其性能研究[J]. 钢铁钒钛, 2024, 45(3): 79-85. doi: 10.7513/j.issn.1004-7638.2024.03.011
引用本文: 张英, 任旺, 郑兴文, 周慧眠, 瞿香, 李敏娇. 薄荷碳点/TiO2复合光催化剂的制备及其性能研究[J]. 钢铁钒钛, 2024, 45(3): 79-85. doi: 10.7513/j.issn.1004-7638.2024.03.011
Zhang Ying, Ren Wang, Zheng Xingwen, Zhou Huimian, Qu Xiang, Li Minjiao. Study on preparation and photocatalytic performance of mint carbon dots/TiO2 composite photocatalyst[J]. IRON STEEL VANADIUM TITANIUM, 2024, 45(3): 79-85. doi: 10.7513/j.issn.1004-7638.2024.03.011
Citation: Zhang Ying, Ren Wang, Zheng Xingwen, Zhou Huimian, Qu Xiang, Li Minjiao. Study on preparation and photocatalytic performance of mint carbon dots/TiO2 composite photocatalyst[J]. IRON STEEL VANADIUM TITANIUM, 2024, 45(3): 79-85. doi: 10.7513/j.issn.1004-7638.2024.03.011

薄荷碳点/TiO2复合光催化剂的制备及其性能研究

doi: 10.7513/j.issn.1004-7638.2024.03.011
基金项目: 钒钛资源综合利用四川省重点实验室项目(2018FTSZ15, 2020FTSZ04);乡村低成本环境治理技术四川省高校重点实验室开放项目(XCH2022ZB-04);四川轻化工大学大学生创新基金项目(S20221062209)。
详细信息
    作者简介:

    张英,1980年出生,女,四川简阳人,副教授,主要从事光电分析及光电催化研究,E-mail:zhyrw@163.com

    通讯作者:

    李敏娇,1965年出生,女,江西泰和人,教授,主要从事光电催化研究,E-mail:lmj0621@126.com

  • 中图分类号: TF823,TQ426

Study on preparation and photocatalytic performance of mint carbon dots/TiO2 composite photocatalyst

  • 摘要: 以薄荷粉为生物碳源,采用一步水热法成功制备出薄荷碳点/TiO2复合光催化剂。利用X射线衍射仪(XRD)、扫描电镜(SEM)、红外光谱(FT-IR)、孔隙比表面分析仪(BET)、表面光电压(SPS)对薄荷碳点/TiO2复合光催化剂的结构、形貌、比表面积及光生电荷分离特性进行了表征;考察了薄荷碳点/TiO2复合光催化剂对模拟污染物罗丹明B(RhB)的催化降解性能。结果表明,薄荷碳点改善了TiO2的光催化性能,超氧自由基•O2是薄荷碳点/TiO2复合催化剂光催化降解反应中的主要活性自由基。与纯TiO2样品相比,2%薄荷碳点/TiO2的复合光催化剂的光生电子-空穴分离速率最高,对RhB表现出最好的脱色性能,光催化活性提高了2.24倍。
  • 图  1  (a) 薄荷碳点/TiO2复合催化剂的XRD谱;(b) 复合催化剂XRD谱的局部放大

    Figure  1.  (a) XRD patterns of mint CDs/TiO2 composite photocatalysts with different mass ratio;(b) The enlarged XRD patterns of composite photocatalysts

    图  2  (a) 纯TiO2 和(b) 2%薄荷碳点/TiO2催化剂的SEM形貌

    Figure  2.  SEM images of (a) TiO2 and (b) 2% mint CDs/TiO2

    图  3  TiO2与薄荷碳点/TiO2的红外光谱(插图为薄荷碳点荧光照片)

    Figure  3.  FT-IR spectra of mint CDs/TiO2 and TiO2, inset is photograph of mint carbon dots under irradiation of a 365 nm UV lamp

    图  4  不同质量比薄荷碳点/TiO2复合催化剂SPS图谱

    Figure  4.  Surface photovoltage response of mint CDs/TiO2 photocatalysts with different mass ratio

    图  5  不同催化剂光催化降解RhB活性(500 W氙灯照射240 min)

    Figure  5.  Decolorization efficiency of RhB over mint CDs/TiO2 photocatalysts with different mass ratio

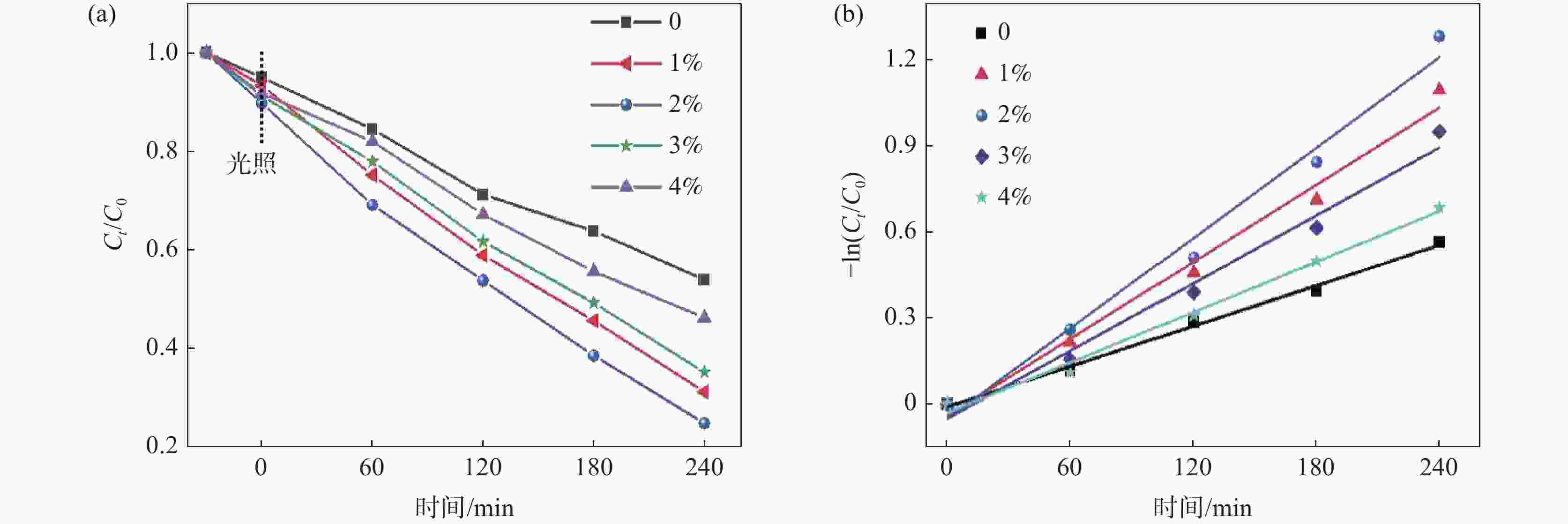
    图  6  催化剂降解RhB的(a)浓度随时间变化和(b)一级反应拟合曲线

    Figure  6.  Photocatalytic destruction of RhB with different samples (a); and (b) fitted first-order kinetic curve of RhB over different samples

    图  7  (a) 不同捕获剂对2% 薄荷碳点/TiO2催化RhB脱色率的影响; (b) NBT在不同催化剂体系中可见光照4 h后紫外-可见吸收光谱 (RhB初始浓度为10 mg/L)

    Figure  7.  (a) Effect of different scavengers on decolorization efficiency of RhB over 2% mint CDs/TiO2; (b) UV-Vis spectra of NBT in different photocatalytic systems after visible light irradiation for 4 h (The initial concentration of RhB is 10 mg/L)

    表  1  不同质量比薄荷碳点/TiO2光催化剂的比表面积

    Table  1.   Specific surface of mint CDs/TiO2 composite photocatalysts with different mass ratio

    薄荷/TiO2(质量比) 比表面积 /(m2·g−1)
    0∶100 115.4
    1.0∶100 154.4
    2.0∶100 162.0
    3.0∶100 160.8
    4.0∶100 155.3
    下载: 导出CSV
  • [1] Han F, Kambala V S R, Srinivasan M, et al. Tailored titanium dioxide photocatalysts for the degradation of organic dyes in wastewater treatment: A review[J]. Appl. Catal. A: Gen. , 2009, 359: 25−40.
    [2] Zhu X, Li B. Convergence of efficiency of environmental pollution control investment in the coastal areas of China[J]. J. Coastal Res. , 2020, 105: 36−41.
    [3] Al-Mamun M R, Kader S, Islam M S, et al. Photocatalytic activity improvement and application of UV-TiO2 photocatalysis in textile wastewater treatment: A review[J]. J. Environ. Chem. Eng., 2019,7(5):103248. doi: 10.1016/j.jece.2019.103248
    [4] Yu Y, Li F, Han X, et al. High-performance metal oxide-modified V/TiO2 catalysts for selective oxidation of 2-methylnaphthalene to 2-naphthaldehyde: An experimental and theoretical study[J]. Ind. Eng. Chem. Res., 2021,60(8):3435−3451. doi: 10.1021/acs.iecr.0c04697
    [5] Ren Yuanwen, Wang Jing, Guo Yu, et al. Progress in preparation and photocatalytic properties of high efficiency TiO2 nanomaterials[J]. J. Func. Mater. Dev., 2020,26(1):24−29. (任元文, 王竞, 郭玉, 等. 高效TiO2纳米材料制备及其光催化性能研究进展[J]. 功能材料与器件学报, 2020,26(1):24−29.

    Ren Yuanwen, Wang Jing, Guo Yu, et al. Progress in preparation and photocatalytic properties of high efficiency TiO2 nanomaterials[J]. J. Func. Mater. Dev., 2020, 26(1): 24−29.
    [6] Schneider J, Matsuoka M, Takeuchi M, et al. Understanding TiO2 photocatalysis: Mechanisms and materials[J]. Chem. Rev., 2014,114(19):9919−9986. doi: 10.1021/cr5001892
    [7] Elzawiei Y S M, Hashim M R, Halim M M, et al. Characterization and growth of TiO2/ZnO on PTFE substrates at different volumetric ratios using chemical bath deposition[J]. Coatings, 2023,13(2):379. doi: 10.3390/coatings13020379
    [8] Ren Wang, Li Minjiao, Zhang Ying, et al. Study on fabrication and photocatalytic performance of Ag2C2O4/TiO2 heterojunctions[J]. Iron Steel Vanadium Titanium, 2022,43(3):53−58. (任旺, 李敏娇, 张英, 等. Ag2C2O4/TiO2 异质结的制备及其光催化性能研究[J]. 钢铁钒钛, 2022,43(3):53−58. doi: 10.7513/j.issn.1004-7638.2022.03.009

    Ren Wang, Li Minjiao, Zhang Ying, et al. Study on fabrication and photocatalytic performance of Ag2C2O4/TiO2 heterojunctions[J]. Iron Steel Vanadium Titanium, 2022, 43(3): 53−58. doi: 10.7513/j.issn.1004-7638.2022.03.009
    [9] Karimi-Maleh H, Kumar B G, Rajendran S, et al. Tuning of metal oxides photocatalytic performance using Ag nanoparticles integration[J]. J. Mol. Liq., 2020,314:113588. doi: 10.1016/j.molliq.2020.113588
    [10] Wang Y, Zhang R, Li J, et al. First-principles study on transition metal-doped anatase TiO2[J]. Nanoscale Res. Lett., 2014,9(1):1−8. doi: 10.1186/1556-276X-9-1
    [11] Ren Qingyun, Wang Songtao, Li Wenjing, et al. Synthesis and photocatalytic properties of Zr doped TiO2 nanoparticles[J]. J. Funct. Mater., 2021,52(11):11164−11168. (任庆云, 王松涛, 李汶静, 等. Zr掺杂TiO2纳米粒子的合成及光催化性能研究[J]. 功能材料, 2021,52(11):11164−11168. doi: 10.3969/j.issn.1001-9731.2021.11.024

    Ren Qingyun, Wang Songtao, Li Wenjing, et al. Synthesis and photocatalytic properties of Zr doped TiO2 nanoparticles[J]. J. Funct. Mater., 2021, 52(11): 11164−11168. doi: 10.3969/j.issn.1001-9731.2021.11.024
    [12] Liu Bing, Gong Huili, Liu Rui, et al. One-step synthesis of TiO2-Au composite and its performance for photocatalytic hydrogen evolution[J]. Chinese J. Appl. Chem., 2019,36(9):1071−1084. (刘兵, 宫辉力, 刘锐, 等. 一步法制备二氧化钛-金复合材料及其光解水制氢性能[J]. 应用化学, 2019,36(9):1071−1084. doi: 10.11944/j.issn.1000-0518.2019.09.190017

    Liu Bing, Gong Huili, Liu Rui, et al. One-step synthesis of TiO2-Au composite and its performance for photocatalytic hydrogen evolution[J]. Chinese J. Appl. Chem., 2019, 36(9): 1071−1084. doi: 10.11944/j.issn.1000-0518.2019.09.190017
    [13] Gao Jingyu, Li Lina, Zhao Yubao. Highly efficient degradation of organohalides pollutants by Pd/TiO2 photocatalyst[J]. Environ. Prot. Sci., 2021,47(5):133−139. (高靖雨, 李莉娜, 赵玉宝. Pd-TiO2光催化高效降解有机卤代污染物[J]. 环境保护科学, 2021,47(5):133−139.

    Gao Jingyu, Li Lina, Zhao Yubao. Highly efficient degradation of organohalides pollutants by Pd/TiO2 photocatalyst[J]. Environ. Prot. Sci., 2021, 47(5): 133−139.
    [14] Wang Zhumei, Zhang Tianfeng, Li Yueming, et al. Photocatalytic properties of S-doped TiO2 nanopowders prepared by sol-gel method method[J]. J. Synth. Cryst., 2018,47(4):765−769,776. (王竹梅, 张天峰, 李月明, 等. 溶胶-凝胶法制备S掺杂TiO2纳米粉体的光催化性能[J]. 人工晶体学报, 2018,47(4):765−769,776. doi: 10.3969/j.issn.1000-985X.2018.04.016

    Wang Zhumei, Zhang Tianfeng, Li Yueming, et al. Photocatalytic properties of S-doped TiO2 nanopowders prepared by sol-gel method method[J]. J. Synth. Cryst., 2018, 47(4): 765−769,776. doi: 10.3969/j.issn.1000-985X.2018.04.016
    [15] Li Jiabi, Wu Xi, Liu Shengwei. Fluorinated TiO2 hollow photocatalysts for photocatalytic applications[J]. Acta Phys. Chim. Sin., 2021,37(6):2009038.
    [16] Rasool M A, Sattar R, Anum A, et al. An Insight into carbon nanomaterial-based photocatalytic water splitting for green hydrogen production[J]. Catalysts, 2023,13:66.
    [17] Konstantinova E A, Kokorin A I, Sakthivel S, et al. Carbon-doped titanium dioxide: Visible light photocatalysis and EPR investigation[J]. Chimia, 2007,61:810−814. doi: 10.2533/chimia.2007.810
    [18] He Jie, Che Juanrong, Liu Shunan, et al. Activated carbon modified titanium dioxide/bismuth trioxide adsorbent: One-pot synthesis, high removal efficiency of organic pollutants, and good recyclability[J]. J. Colloid. Interf. Sci., 2023,648(15):1034−1043.
    [19] Artar E, Arvas M B, Gorduk O, et al. Facile synthesis strategy for phthalocyanine-titanium dioxide/multi-walled carbon nanotube/poly (3, 4-ethylenedioxythiophene) ternary composite electrodes via one-step electrochemical method for supercapacitor applications[J]. Synthetic Met., 2023,297:117401. doi: 10.1016/j.synthmet.2023.117401
    [20] Bokare A, Chinnusamy S, Erogbogbo F. TiO2-graphene quantum dots nanocomposites for photocatalysis in energy and biomedical applications[J]. Catalysts, 2021,11:319. doi: 10.3390/catal11030319
    [21] Guo Xueying, Wang Qianqian, Lai Qiongyu, et al. Biomass-templated fabrication of metallic materials for photocatalytic and bactericidal applications[J]. Materials, 2019,12:1271. doi: 10.3390/ma12081271
    [22] Liao Hongru, Ran Yu, Zhong Junbo, et al. Panax notoginseng powder-assisted preparation of carbon-quantum-dots/BiOCl with enriched oxygen vacancies and boosted photocatalytic performance[J]. Environ. Res. , 2022, 215: 114366.
    [23] Wang Zhaofeng, Ding Zimian, He Jiang, et al. Progress in chemical constituents, pharmacological activities and product development of mentha haplocalyx briq[J]. Mod. Chin. Med., 2020,22(6):979−984. (王兆丰, 丁自勉, 何江, 等. 薄荷化学成分药理作用与产品研发进展[J]. 中国现代中药, 2020,22(6):979−984.

    Wang Zhaofeng, Ding Zimian, He Jiang, et al. Progress in chemical constituents, pharmacological activities and product development of mentha haplocalyx briq[J]. Mod. Chin. Med., 2020, 22(6): 979−984.
    [24] Lai Chengxu, Zhong Junbo, Chen Jiufu, et al. Mint powder assisted synthesis of CQDs/BiOCl with tunable OVs and improved photocatalytic property[J]. J. Ind. Eng. Chem., 2023,128:306−316. doi: 10.1016/j.jiec.2023.07.063
  • 加载中
图(7) / 表(1)
计量
  • 文章访问数:  589
  • HTML全文浏览量:  283
  • PDF下载量:  15
  • 被引次数: 0
出版历程
  • 收稿日期:  2024-01-17
  • 刊出日期:  2024-07-02

目录

    /

    返回文章
    返回