中文核心期刊

SCOPUS 数据库收录期刊

中国科技核心期刊

美国《化学文摘》来源期刊

中国优秀冶金期刊

美国EBSCO数据库收录期刊

RCCSE中国核心学术期刊

美国《剑桥科学文摘》来源期刊

中国应用核心期刊(CACJ)

美国《乌利希期刊指南》收录期刊

中国学术期刊综合评价统计源刊

俄罗斯《文摘杂志》来源期刊

优秀中文科技期刊(西牛计划)

日本《科学技术文献数据库》(JST)收录刊

留言板

尊敬的读者、作者、审稿人, 关于本刊的投稿、审稿、编辑和出版的任何问题, 您可以本页添加留言。我们将尽快给您答复。谢谢您的支持!

姓名
邮箱
手机号码
标题
留言内容
验证码

铝/钢异种金属磁力脉冲焊接多物理场耦合有限元分析

王艳 熊志林 宁朝阳 陈金兰

王艳, 熊志林, 宁朝阳, 陈金兰. 铝/钢异种金属磁力脉冲焊接多物理场耦合有限元分析[J]. 钢铁钒钛, 2024, 45(3): 188-194. doi: 10.7513/j.issn.1004-7638.2024.03.026
引用本文: 王艳, 熊志林, 宁朝阳, 陈金兰. 铝/钢异种金属磁力脉冲焊接多物理场耦合有限元分析[J]. 钢铁钒钛, 2024, 45(3): 188-194. doi: 10.7513/j.issn.1004-7638.2024.03.026
Wang Yan, Xiong Zhilin, Ning Zhaoyang, Chen Jinlan. Finite element analysis of multi-physics coupling for electromagnetic welding of aluminum/steel dissimilar metals[J]. IRON STEEL VANADIUM TITANIUM, 2024, 45(3): 188-194. doi: 10.7513/j.issn.1004-7638.2024.03.026
Citation: Wang Yan, Xiong Zhilin, Ning Zhaoyang, Chen Jinlan. Finite element analysis of multi-physics coupling for electromagnetic welding of aluminum/steel dissimilar metals[J]. IRON STEEL VANADIUM TITANIUM, 2024, 45(3): 188-194. doi: 10.7513/j.issn.1004-7638.2024.03.026

铝/钢异种金属磁力脉冲焊接多物理场耦合有限元分析

doi: 10.7513/j.issn.1004-7638.2024.03.026
基金项目: 湖南省教育厅科学研究一般项目(22C0854)。
详细信息
    作者简介:

    王艳,1968年出生,女,湖南湘西人,本科,教授,研究方向:异种金属特种连接技术等,E-mail: 391144047@qq.com

    通讯作者:

    熊志林,1986年出生,男,江西吉安人,硕士,副教授,研究方向:焊接结构及新材料制备研究,E-mail:xzhilin123@163.com

  • 中图分类号: TG456,TG146

Finite element analysis of multi-physics coupling for electromagnetic welding of aluminum/steel dissimilar metals

  • 摘要: 铝/钢异种金属焊接接头易反应生成Fe-Al金属间化合物,恶化接头性能,使焊接成型困难。使用ABAQUS有限元软件模拟异种金属磁力脉冲焊(EMW)电磁-热-结构耦合过程,在最小能量下实现铝/不锈钢的高质量焊接。基于Box–Behnken响应曲面法设计试验,从电压(V)、间距(ds)和驱动板厚度(td)等工艺参数中提取重要参数。通过绘制Al/不锈钢焊接工艺窗口研究焊缝形成的可能性,并试验验证EMW仿真结果的有效性。通过分析最佳工艺参数下接头微观结构评估了接头成型质量。方差分析表明,在V =15 kV,ds =1.5 mm和td =1 mm下,可以获得用于高质量焊接的最大撞击速度。
  • 图  1  EMW有限元模型

    Figure  1.  Finite element model of EMW

    图  2  撞击焊接参数

    Figure  2.  Parameters of impact welding

    图  3  通用焊接工艺窗口[15]

    Figure  3.  General welding process window [15]

    图  4  Al/不锈钢焊接工艺窗口

    Figure  4.  Al/stainless steel welding process window

    图  5  变形板横截面数据节点

    Figure  5.  Cross section data node of deformed sheet

    图  6  在焊接工艺窗口中的随机仿真试验结果

    Figure  6.  Random simulation experimental results in the welding process window

    图  7  Al和不锈钢板撞击速度随时间变化曲线

    Figure  7.  Al and stainless steel impact velocity versus time

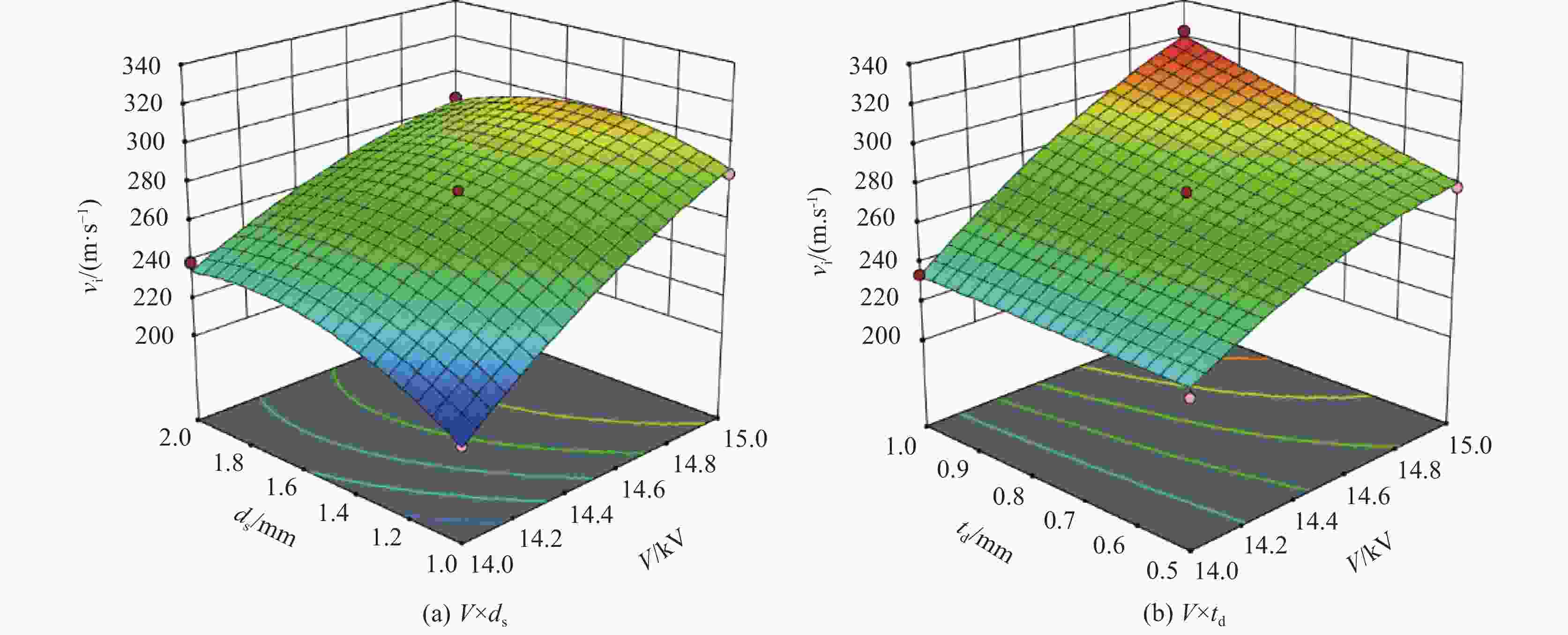
    图  8  撞击速度3D响应曲面

    Figure  8.  3D response surface plot for impact velocity

    图  9  金相图

    Figure  9.  Optical microstructures diagram

    图  10  不同焊缝区域形成平直形和波状形界面

    Figure  10.  The formation of straight and wavy interfaces in different weld areas

    图  11  焊接界面微观结构

    Figure  11.  Microstructure of welding interface

    图  12  焊接界面显微硬度

    Figure  12.  Microhardness across the weld interface

    表  1  1050铝和AISI304不锈钢的机械性能

    Table  1.   Mechanical properties of 1050 aluminum and AISI304 stainless steel

    试验材料A/MPaB/MPaCn密度ρ/(kg·m−3)杨氏模量E/GPa泊松比μ维氏硬度(HV)
    1050Al14075.20.01250.652700690.3343
    AISI304SS31010000.070.6579002000.3129
    下载: 导出CSV

    表  2  EMW工艺参数水平编码与真实值

    Table  2.   Factor level coding and true value of EMW process parameters

    水平编码因素
    V/kVds/mmtd/mm
    1410.5
    014.51.50.75
    +1521
    下载: 导出CSV

    表  3  Box-Behnken试验设计及计算结果

    Table  3.   Box-Behnken experimental design and calculation results

    试验序号模式V/kVds/mmtd/mmvi/(m·s−1)
    10--14.510.5245
    200014.51.50.75276
    3+-01510.75284
    4++01520.75286
    5-0+141.51234
    6+0-151.50.5278
    7--01410.75201
    8+0+151.51323
    90++14.521271
    100-+14.511262
    11-+01420.75239
    1200014.51.50.75276
    130+-14.520.5257
    1400014.51.50.75276
    15-0-141.50.5227
    下载: 导出CSV

    表  4  二次模型ANOVA结果

    Table  4.   ANOVA for reduced quadratic model

    方差来源平方和均方P
    模型12145.661735.09< 0.0001
    V9112.509112.50< 0.0001
    ds465.13465.130.0016
    td861.13861.130.0003
    V×ds324.00324.000.0043
    V×td361.00361.000.0032
    V²250.45250.450.0082
    ds²831.43831.430.0003
    残差131.6718.81
    失拟项131.6726.33
    净误差0.00000.0000
    总离差12277.33
    R²=98.93%R²Adj=97.86%R²Pred=92.41%S/N=37.56
    下载: 导出CSV
  • [1] Fan Zijie, Gui Liangjin, Su Ruiyi. Research and development of automotive lightweight technology[J]. Journal of Automotive Safety and Energy, 2014,5(1):1−16. (范子杰, 桂良进, 苏瑞意. 汽车轻量化技术的研究与进展[J]. 汽车安全与节能学报, 2014,5(1):1−16.

    Fan Zijie, Gui Liangjin, Su Ruiyi. Research and development of automotive lightweight technology[J]. Journal of Automotive Safety and Energy, 2014, 5(1): 1-16.
    [2] Wang Shaoluo, Xu Liwang, Sun Tao, et al. Effects of process parameters on mechanical performance and interfacial morphology of electromagnetic pulse welded joints between aluminum and galvanized steel[J]. Journal of Materials Research and Technology, 2021,10:552−564.
    [3] Dong Honggang, Hu Wenjin, Duan Yuping, et al. Effects of Si and Cu additions on properties of dissimilar aluminum-galvanized steel weld[J]. Transactions of the China Welding Institution, 2010,31(11):9−12. (董红刚, 胡文金, 段玉平, 等. Si和Cu元素对铝-镀锌钢GTAW接头性能的影响[J]. 焊接学报, 2010,31(11):9−12.

    Dong Honggang, Hu Wenjin, Duan Yuping, et al. Effects of Si and Cu additions on properties of dissimilar aluminum-galvanized steel weld[J]. Transactions of the China Welding Institution, 2010, 31(11): 9-12.
    [4] Torkamany M J, Tahamtan S, Sabbaghzadeh J. Dissimilar welding of carbon steel to 5754 aluminum alloy by Nd: YAG pulsed laser[J]. Materials & Design, 2010,31(1):458−465.
    [5] 邓方雄. 基于电磁脉冲技术的金属板件高速碰撞焊接方法与实验研究[D]. 武汉: 华中科技大学, 2019.

    Deng Fangxiong. High speed impact welding method and experimental study of metal plates based on electromagnetic pulsed technology[D]. Wuhan: Huazhong University of Science and Technology, 2019.
    [6] Xu Zhidan, Cui Junjia, Yu Haiping, et al. Research on the impact velocity of magnetic impulse welding of pipe fitting[J]. Materials & Design, 2013,49:736−745.
    [7] Aizawa T. Methods for electromagnetic pressure seam welding of Al/Fe sheets[J]. Welding international, 2004,18(11):868−872.
    [8] Kore S D, Date P P, Kulkarni S V. Electromagnetic impact welding of aluminum to stainless steel sheets[J]. Journal of materials processing technology, 2008,208(1-3):486−493.
    [9] Zhu Congcong, Sun Liqiang, Gao Wenli, et al. The effect of temperature on microstructure and mechani-cal properties of Al/Mg lap joints manufactured by magnetic pulse welding[J]. Journal of Materials Research and Technology, 2019,8(3):3270−3280.
    [10] Kore S D, Date P P, Kulkarni S V, et al. Electromagnetic impact welding of copper-to-copper sheets[J]. International Journal of Material Forming, 2010,3(2):117−121.
    [11] Zhu Congcong, Meng Yifan, Liu Quanxiaoxiao, et al. Study on process and mechanical properties of Al/Mg dissimilar metal sheet joints by magnetic pulse welding[J]. Journal of Netshape Forming Engineering, 2021,13(4):45−51. (朱聪聪, 蒙奕帆, 柳泉潇潇, 等. Al/Mg 异种金属板材电磁脉冲焊接工艺及力学性能研究[J]. 精密成形工程, 2021,13(4):45−51.

    Zhu Chongchong, Meng Yifan, Liu Quanxiaoxiao, et al. Study on process and mechanical properties of Al/Mg dissimilar metal sheet joints by magnetic pulse welding[J]. Journal of Netshape Forming Engineering, 2021, 13(4): 45-51.
    [12] Kore S D, Date P P, Kulkarni S V, et al. Application of electromagnetic impact technique for welding copper-to-stainless steel sheets[J]. International Journal of Advanced Manufacturing Technology, 2011,54(9-12):949−955.
    [13] Wang Chenguang, Liu Quanxiaoxiao, Li Guangyao, et al. Study on mechanical properties and microstructural feature of magnetic pulse welding joint between Cu and Al sheets[J]. International Journal of Advanced Manufacturing Technology, 2021,113:1739−1751.
    [14] Kudiyarasan S, Arungalai Vendan S. Magnetic pulse welding of two dissimilar materials with various combinations adopted in nuclear applications[J]. Indian Journal of Science & Technology, 2015,8(36):1−9.
    [15] Cui Junjia, Ye Liang, Zhu Congcong, et al. Mechanical and microstructure investigations on magnetic pulse welded dissimilar AA3003-TC4 joints[J]. Journal of Materials Engineering and Performance, 2020,29:712−722.
    [16] Shiran M K G, Khalaj G, Pouraliakbar H, et al. Effects of heat treatment on the intermetallic compounds and mechanical properties of the stainless steel 321-aluminum 1230 explosive-welding interface[J]. International Journal of Minerals, Metallurgy and Materials, 2017,24:1267−1277.
  • 加载中
图(12) / 表(4)
计量
  • 文章访问数:  376
  • HTML全文浏览量:  178
  • PDF下载量:  15
  • 被引次数: 0
出版历程
  • 收稿日期:  2023-02-15
  • 刊出日期:  2024-07-02

目录

    /

    返回文章
    返回