中文核心期刊

SCOPUS 数据库收录期刊

中国科技核心期刊

美国《化学文摘》来源期刊

中国优秀冶金期刊

美国EBSCO数据库收录期刊

RCCSE中国核心学术期刊

美国《剑桥科学文摘》来源期刊

中国应用核心期刊(CACJ)

美国《乌利希期刊指南》收录期刊

中国学术期刊综合评价统计源刊

俄罗斯《文摘杂志》来源期刊

优秀中文科技期刊(西牛计划)

日本《科学技术文献数据库》(JST)收录刊

留言板

尊敬的读者、作者、审稿人, 关于本刊的投稿、审稿、编辑和出版的任何问题, 您可以本页添加留言。我们将尽快给您答复。谢谢您的支持!

姓名
邮箱
手机号码
标题
留言内容
验证码

Si添加对高Mn-N型 TWIP不锈钢力学性能的影响研究

曾泽瑶 罗许

曾泽瑶, 罗许. Si添加对高Mn-N型 TWIP不锈钢力学性能的影响研究[J]. 钢铁钒钛, 2024, 45(4): 170-175. doi: 10.7513/j.issn.1004-7638.2024.04.024
引用本文: 曾泽瑶, 罗许. Si添加对高Mn-N型 TWIP不锈钢力学性能的影响研究[J]. 钢铁钒钛, 2024, 45(4): 170-175. doi: 10.7513/j.issn.1004-7638.2024.04.024
Zeng Zeyao, Luo Xu. Study on the influence of Si addition on the mechanical properties of high Mn-N type TWIP stainless steels[J]. IRON STEEL VANADIUM TITANIUM, 2024, 45(4): 170-175. doi: 10.7513/j.issn.1004-7638.2024.04.024
Citation: Zeng Zeyao, Luo Xu. Study on the influence of Si addition on the mechanical properties of high Mn-N type TWIP stainless steels[J]. IRON STEEL VANADIUM TITANIUM, 2024, 45(4): 170-175. doi: 10.7513/j.issn.1004-7638.2024.04.024

Si添加对高Mn-N型 TWIP不锈钢力学性能的影响研究

doi: 10.7513/j.issn.1004-7638.2024.04.024
详细信息
    作者简介:

    曾泽瑶,1995 年出生,男,硕士,工程师,研究方向:不锈钢强韧化与耐蚀性能研究,E-mail:zeyao_zeng@163.com

  • 中图分类号: TF76,TG142

Study on the influence of Si addition on the mechanical properties of high Mn-N type TWIP stainless steels

  • 摘要: 利用SEM、TEM等分析手段研究了不同热处理工艺制度对1.5% Si添加后的高Mn-N TWIP不锈钢显微组织和力学性能的影响。结果发现,试验钢退火孪晶厚度随着固溶温度的升高而增大,在高的固溶温度下,Si添加可以提高合金的应变硬化率,拉伸变形过程中生成大量细长的形变孪晶可以有效阻碍位错滑移,提高材料强度与塑性。时效处理对拉伸性能影响较小,在700~800 ℃时效过程中生成大量晶界胞状析出物,胞状析出以短棒状Cr2N为主,在冲击载荷作用下会发生沿晶脆性断裂,冲击吸收功快速降低。
  • 图  1  不同固溶温度金相形貌

    (a) ~ (c) 0Si 试样分别经1 000、 1 100 ℃和 1 200 ℃固溶; (d)~(f) 1.5Si试样分别经1 000、1 100 ℃和 1 200 ℃固溶

    Figure  1.  Metallographic photos of samples at different solution temperatures

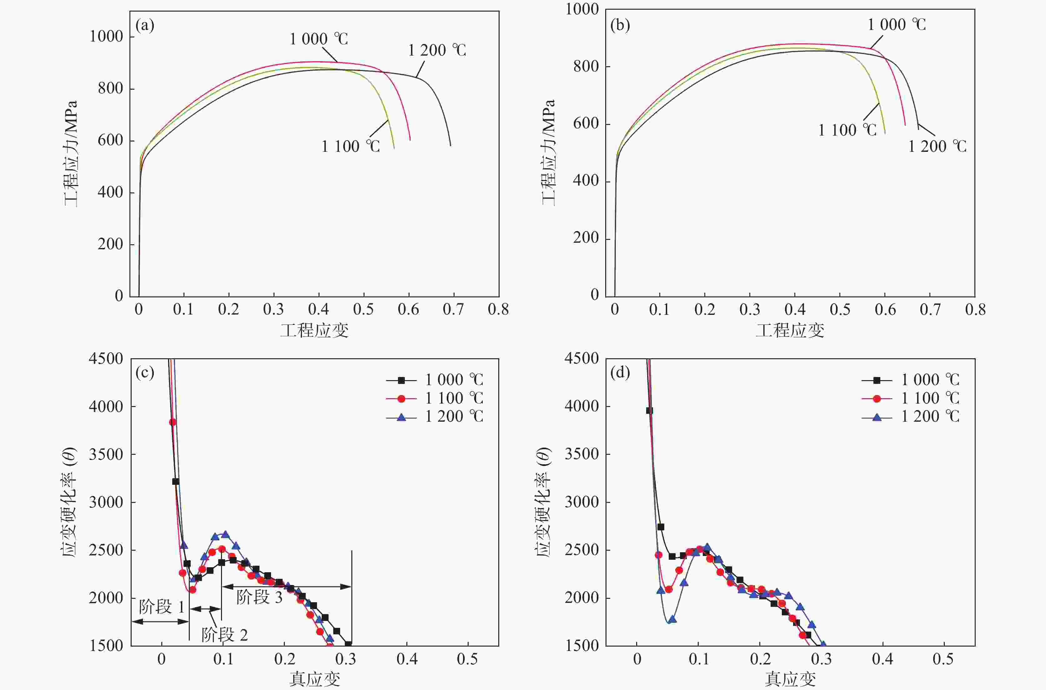
    图  2  工程应力-应变曲线和应变硬化率-应变曲线

    (a) 0Si 试样工程应力-应变曲线;(b) 1.5Si试样工程应力-应变曲线;(c) 1.5Si 试样应变硬化率-应变曲线;(d) 1.5Si试样应变硬化率-应变曲线

    Figure  2.  Engineering stress-strain curves and strain hardening rate strain curves

    图  3  1.5Si试样拉伸变形后组织

    (a)SEM组织形貌;(b)TEM组织形貌

    Figure  3.  Microstructures of 1.5% Si sample after tensile deformation

    图  4  时效后力学性能变化规律

    (a) 0Si试样拉伸性能;(b) 1.5Si试样拉伸性能;(c)冲击韧性

    Figure  4.  Changes in mechanical properties after aging

    图  5  不同时效温度下试样冲击断口SEM表征

    (a)~(c) 0Si试样经 600、700 ℃和800 ℃时效;(d)~(f) 1.5Si试样经 600、700 ℃和800 ℃时效

    Figure  5.  SEM photos of impact fracture surface of samples at different aging temperatures

    图  6  不同时效温度SEM表征和 TEM表征

    (a)~(c) 0Si试样 600 、700 ℃和800 ℃时效后SEM; (d)~(f) 1.5Si试样600、700 ℃和800 ℃时效后SEM;(g) 0Si和(h)1.5Si试样800 ℃时效后TEM

    Figure  6.  SEM and TEM photos of samples at different aging temperatures

    表  1  试验料冶炼化学成分

    Table  1.   Smelting chemical compositions of the tested materials %

    试样 Cr Mn Ni Si N C Fe
    0Si 18.92 25.20 3.97 0.11 0.70 0.021 Bal.
    1.5Si 19.02 23.98 3.99 1.55 0.71 0.018 Bal.
    下载: 导出CSV
  • [1] Li Yizhuang, Huang Mingxin. A method to calculate the dislocation density of a TWIP steel based on neutron diffraction and synchrotron X-Ray diffraction[J]. Acta Metallurgica Sinica, 2020,56(4):487-493. (李亦庄, 黄明欣. 基于中子衍射和同步辐射X射线衍射的TWIP钢位错密度计算方法[J]. 金属学报, 2020,56(4):487-493. doi: 10.11900/0412.1961.2020.00016

    Li Yizhuang, Huang Mingxin. A method to calculate the dislocation density of a TWIP steel based on neutron diffraction and synchrotron X-Ray diffraction[J]. Acta Metallurgica Sinica, 2020, 56(4): 487-493. doi: 10.11900/0412.1961.2020.00016
    [2] Cui Xiaowen, Zhang Guijie, Lin Shaofeng. Effect of Mn content on microstructure and properties of hot rolled TWIP steel[J]. Transactions of Materials and Heat Treatment, 2022,43(1):92-98. (崔潇文, 张贵杰, 林绍峰. Mn含量对热轧TWIP钢组织性能的影响[J]. 材料热处理学报, 2022,43(1):92-98.

    Cui Xiaowen, Zhang Guijie, Lin Shaofeng. Effect of Mn content on microstructure and properties of hot rolled TWIP steel[J]. Transactions of Materials and Heat Treatment, 2022, 43(1): 92-98.
    [3] Grässel O, Krüger L, Frommeyer G, et al. High strength Fe-Mn-(Al, Si) TRIP/TWIP steels development-properties- application[J]. International Journal of Plasticity, 2000,16(10-11):1391-1409. doi: 10.1016/S0749-6419(00)00015-2
    [4] Dai Yongjuan, Li Hui, Feng Jie, et al. Effect of annealing time and cooling methods on the microstructure and mechanical properties of Fe-28Mn-2.8Si-2.2Al-TWIP steel[J]. Chinese Journal of Engineering, 2016, 38(1): 238-242. (代永娟, 李辉, 冯捷, 等. 保温时间和冷却方式对 Fe-28 Mn-2.8Si-2.2Al-TWIP钢组织和力学性能的影响[J]. 工程科学学报, 2016, 38(1): 238-242.

    Dai Yongjuan, Li Hui, Feng Jie, et al. Effect of annealing time and cooling methods on the microstructure and mechanical properties of Fe-28Mn-2.8Si-2.2Al-TWIP steel[J]. Chinese Journal of Engineering, 2016, 38(1): 238-242.
    [5] Lan Peng, Song Lina, Du Chenwei, et al. Research progress on stacking fault energy in high manganese TWIP steel[J]. Journal of Iron and Steel Research, 2015,27(1):1-6. (兰鹏, 宋丽娜, 杜辰伟,等. 高锰TWIP钢层错能的研究进展[J]. 钢铁研究学报, 2015,27(1):1-6.

    Lan Peng, Song Lina, Du Chenwei, et al. Research progress on stacking fault energy in high manganese TWIP steel[J]. Journal of Iron and Steel Research, 2015, 27(1): 1-6.
    [6] Zeng Zeyao, Yang Gang, Yang Yinhui, et al. Study on stacking fault energy calculation, plastic toughness and corrosion resistance properties of TWIP stainless steel[J]. Journal of Iron and Steel Research, 2021, 33(5): 443-451. (曾泽瑶, 杨钢, 杨银辉, 等. TWIP不锈钢层错能计算, 塑韧性和耐蚀性能研究[J]. 钢铁研究学报, 2021, 33(5): 443-451.

    Zeng Zeyao, Yang Gang, Yang Yinhui, et al. Study on stacking fault energy calculation, plastic toughness and corrosion resistance properties of TWIP stainless steel[J]. Journal of Iron and Steel Research, 2021, 33(5): 443-451.
    [7] Li Huayin, Ding Hua, Cai Zhihui, et al. Effect of solid solution treatment on microstructure and properties of Fe-25Mn-1Al-0.2C steel [J]. Transactions of Materials and Heat Treatment, 2012, 33(9): 70-74. (李华英, 丁桦, 蔡志辉, 等. 固溶处理对Fe-25Mn-1Al-0.2C钢组织性能的影响[J]. 材料热处理学报, 2012, 33(9): 70-74.

    Li Huayin, Ding Hua, Cai Zhihui, et al. Effect of solid solution treatment on microstructure and properties of Fe-25Mn-1Al-0.2C steel [J]. Transactions of Materials and Heat Treatment, 2012, 33(9): 70-74.
    [8] Li Dejun, Feng Yaorong, Yin Zhifu, et al. Prediction of hot deformation behavior of Fe–25Mn–3Si–3Al TWIP steel[J]. Materials Science & Engineering A, 2011,528(28):8084-8089.
    [9] Li Xiaoyuan, Shi Jie, Sun Ting. Effect of finish rolling temperature on microstructure and mechanical properties of high nitrogen austenitic steel[J]. China Metallurgy, 2020, 30(5): 29-34. (李晓源, 时捷, 孙挺. 终轧温度对高氮奥氏体钢组织和力学性能的影响[J]. 中国冶金, 2020, 30(5): 6.

    Li Xiaoyuan, Shi Jie, Sun Ting. Effect of finish rolling temperature on microstructure and mechanical properties of high nitrogen austenitic steel[J]. China Metallurgy, 2020, 30(5): 29-34.
    [10] Ning Xiaozhi, Xing Changjun, Yong Qilong, et al. Effect of nitrogen content on mechanical properties of nickel-free austenitic stainless steel[J]. China Metallurgy, 2019,29(5):53-57. (宁小智, 邢长军, 雍歧龙, 等. 氮含量对无镍奥氏体不锈钢力学性能的影响[J]. 中国冶金, 2019,29(5):53-57.

    Ning Xiaozhi, Xing Changjun, Yong Qilong, et al. Effect of nitrogen content on mechanical properties of nickel-free austenitic stainless steel[J]. China Metallurgy, 2019, 29(5): 53-57.
    [11] Dai Yongjuan, Tang Di, Mi Zhenli, et al. The influence of manganese on stacking fault energy and deformation mechanism of the TWIP steel[J]. Material Engineering, 2009(7): 39-42. (代永娟, 唐荻, 米振莉, 等. 锰元素对TWIP钢层错能和变形机制的影响[J]. 材料工程, 2009(7): 39-42.

    Dai Yongjuan, Tang Di, Mi Zhenli, et al. The influence of manganese on stacking fault energy and deformation mechanism of the TWIP steel[J]. Material Engineering, 2009(7): 39-42.
    [12] Li Ye, Xia Pengcheng, Xie Kun, et al. Effect of annealing temperature on microstructure and tensile properties of Fe-Mn-Al-C steel[J]. Heat Treatment of Metals, 2021,46(4):77-82. (李烨, 夏鹏成, 谢鲲, 等. 退火温度对Fe-Mn-Al-C钢组织和拉伸性能的影响[J]. 金属热处理, 2021,46(4):77-82.

    Li Ye, Xia Pengcheng, Xie Kun, et al. Effect of annealing temperature on microstructure and tensile properties of Fe-Mn-Al-C steel[J]. Heat Treatment of Metals, 2021, 46(4): 77-82.
    [13] Bhansali K, Keche A J, Gogte C L, et al. Effect of grain size on Hall-Petch relationship during rolling process of reinforcement bar[J]. Materials Today: Proceedings, 2020, 26(5): 3173-3178.
    [14] Xiang Hongliang, Liu Dong, Ruan Fangru, et al. Effects of precipitation for aging on mechanical and corrosion resistance progress of cast 2507 super duplex stainless steel[J]. Acta Metallurgica Sinica, 2010,46(8):941-945. (向红亮, 刘东, 阮方如, 等. 时效析出相对铸造2507超级双相不锈钢力学及耐蚀性能的影响[J]. 金属学报, 2010,46(8):941-945. doi: 10.3724/SP.J.1037.2010.00143

    Xiang Hongliang, Liu Dong, Ruan Fangru, et al. Effects of precipitation for aging on mechanical and corrosion resistance progress of cast 2507 super duplex stainless steel[J]. Acta Metallurgica Sinica, 2010, 46(8): 941-945. doi: 10.3724/SP.J.1037.2010.00143
    [15] Wu Congfeng. Microstructure evolution behavior of 316LN stainless steel in AP1000 main pipe[D]. Beijing:Beijing University of Science and Technology, 2016. (吴从风. AP1000主管道316LN不锈钢的组织演变行为[D]. 北京:北京科技大学, 2016.

    Wu Congfeng. Microstructure evolution behavior of 316LN stainless steel in AP1000 main pipe[D]. Beijing: Beijing University of Science and Technology, 2016.
    [16] Zheng Leigang, Hu Xiaoqiang, Kang Xiuhong, et al. Precipitation behavior of M23C6 and its effects on ductility and toughness of a novel Cr-Mn-N austenitic heat resistant steel[J]. Acta Metallurgica Sinica, 2013,9(49):1081-1088. (郑雷刚, 胡小强, 康秀红, 等. Cr-Mn-N奥氏体耐热钢中M_(23)C_6型碳化物析出特征及其对韧塑性的影响[J]. 金属学报, 2013,9(49):1081-1088.

    Zheng Leigang, Hu Xiaoqiang, Kang Xiuhong, et al. Precipitation behavior of M23C6 and its effects on ductility and toughness of a novel Cr-Mn-N austenitic heat resistant steel[J]. Acta Metallurgica Sinica, 2013, 9(49): 1081-1088.
  • 加载中
图(6) / 表(1)
计量
  • 文章访问数:  182
  • HTML全文浏览量:  78
  • PDF下载量:  10
  • 被引次数: 0
出版历程
  • 收稿日期:  2023-08-05
  • 刊出日期:  2024-08-30

目录

    /

    返回文章
    返回