中文核心期刊

SCOPUS 数据库收录期刊

中国科技核心期刊

美国《化学文摘》来源期刊

中国优秀冶金期刊

美国EBSCO数据库收录期刊

RCCSE中国核心学术期刊

美国《剑桥科学文摘》来源期刊

中国应用核心期刊(CACJ)

美国《乌利希期刊指南》收录期刊

中国学术期刊综合评价统计源刊

俄罗斯《文摘杂志》来源期刊

优秀中文科技期刊(西牛计划)

日本《科学技术文献数据库》(JST)收录刊

留言板

尊敬的读者、作者、审稿人, 关于本刊的投稿、审稿、编辑和出版的任何问题, 您可以本页添加留言。我们将尽快给您答复。谢谢您的支持!

姓名
邮箱
手机号码
标题
留言内容
验证码

多孔Ti-Nb合金材料的制备与性能研究

张美丽 叱小彤 周春生 刘彦峰 方琛 郑郭刚

张美丽, 叱小彤, 周春生, 刘彦峰, 方琛, 郑郭刚. 多孔Ti-Nb合金材料的制备与性能研究[J]. 钢铁钒钛, 2021, 42(6): 84-89. doi: 10.7513/j.issn.1004-7638.2021.06.011
引用本文: 张美丽, 叱小彤, 周春生, 刘彦峰, 方琛, 郑郭刚. 多孔Ti-Nb合金材料的制备与性能研究[J]. 钢铁钒钛, 2021, 42(6): 84-89. doi: 10.7513/j.issn.1004-7638.2021.06.011
Zhang Meili, Chi Xiaotong, Zhou Chunsheng, Liu Yanfeng, Fang Chen, Zheng Guogang. Preparation and properties of porous Ti-Nb alloy materials[J]. IRON STEEL VANADIUM TITANIUM, 2021, 42(6): 84-89. doi: 10.7513/j.issn.1004-7638.2021.06.011
Citation: Zhang Meili, Chi Xiaotong, Zhou Chunsheng, Liu Yanfeng, Fang Chen, Zheng Guogang. Preparation and properties of porous Ti-Nb alloy materials[J]. IRON STEEL VANADIUM TITANIUM, 2021, 42(6): 84-89. doi: 10.7513/j.issn.1004-7638.2021.06.011

多孔Ti-Nb合金材料的制备与性能研究

doi: 10.7513/j.issn.1004-7638.2021.06.011
基金项目: 陕西省教育厅专项科研计划资助项目(20JK0618);商洛市科技局科学技术研究发展计划项目(2020-Z-0083);国家大学生创新创业训练计划项目(S202011396005)
详细信息
    作者简介:

    张美丽(1985—),女,陕西商洛人,硕士,讲师,主要从事有色金属多孔材料相关研究,E-mail:283233650@qq.com

  • 中图分类号: TF823,TG146.2

Preparation and properties of porous Ti-Nb alloy materials

  • 摘要: 采用粉末冶金添加造孔剂法制备多孔Ti-Nb合金,研究不同Nb含量对合金物相结构、微观孔隙形貌、孔隙率、抗压强度及耐腐蚀性能的影响。研究结果表明:多孔Ti-Nb合金具有α和β双相组织,随Nb含量的增加,材料中的 β 相含量逐渐增大,Nb含量为25%~30%时材料的孔隙大小和分布较均匀,平均孔径为300 μm左右;随Nb含量的增加,材料的孔隙率随之增大,径向收缩率和抗压强度逐渐减小,耐腐蚀性呈先增大后减小趋势,在Nb含量30%时材料的耐腐蚀性最强,其孔隙率为33.6%,径向收缩率为7.3%,抗压强度为130 MPa。
  • 图  1  多孔Ti-Nb合金的烧结工艺曲线

    Figure  1.  Sintering process curve of porous Ti-Nb alloys

    图  2  不同Nb含量多孔Ti-Nb合金的XRD图谱

    Figure  2.  XRD patterns of porous Ti-Nb alloys with different Nb contents

    图  3  多孔Ti-Nb合金的EDS分析

    Figure  3.  EDS analysis of porous Ti-Nb alloys

    图  4  不同Nb含量多孔Ti-Nb合金的微观孔隙形貌

    Figure  4.  Micropore morphology of porous Ti-Nb alloys with different Nb contents

    图  5  不同Nb含量多孔Ti-Nb合金的径向收缩率

    Figure  5.  Radial shrinkage rate of porous Ti-Nb alloys with different Nb contents

    图  6  不同Nb含量多孔Ti-Nb合金的抗压强度

    Figure  6.  Compressive strength of porous Ti-Nb alloys with different Nb contents

    图  7  多孔Ti-Nb合金的压缩载荷-位移曲线

    Figure  7.  Compressive load-displacement curves of the porous Ti-Nb alloys

    图  8  不同Nb含量多孔Ti-Nb合金的阳极极化曲线

    Figure  8.  Anodic polarization curve of porous Ti-Nb alloys with different Nb contents

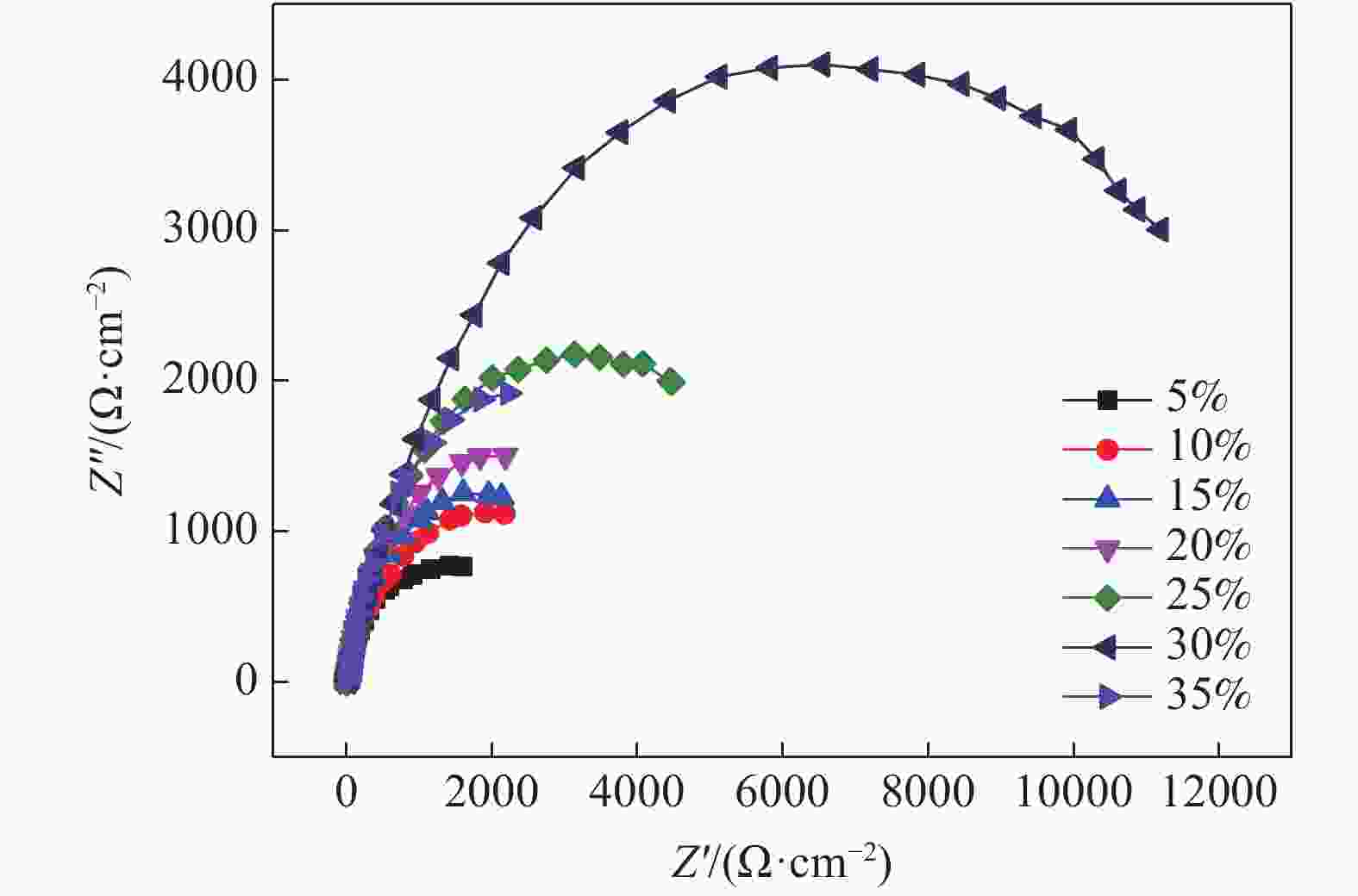
    图  9  不同Nb含量多孔Ti-Nb合金的阻抗图谱

    Figure  9.  EIS curves of porous Ti-Nb alloys with different Nb contents

    表  1  多孔Ti-Nb合金的孔隙率和平均孔径

    Table  1.   Porosity and average pore size of porous Ti-Nb alloys

    w(Nb)/%孔隙率/%平均孔径/μm
    520.46223
    1026.70252
    1529.30271
    2029.56310
    2530.85360
    3033.61355
    3546.04351
    下载: 导出CSV

    表  2  不同Nb含量多孔Ti-Nb合金的腐蚀电位

    Table  2.   The corrosion potential of porous Ti-Nb alloys with different Nb contents

    w(Nb)/%腐蚀电位/V腐蚀电流/A电流密度/(A·cm−2)
    5−0.86−6.772.16
    10−0.77−6.542.08
    15−0.71−6.962.22
    20−0.71−6.502.07
    25−0.75−6.241.99
    30−0.76−6.151.96
    35−0.95−7.162.28
    下载: 导出CSV
  • [1] Ren Junshuai, Zhang Yingming, Tan Jiang, et al. Current research status and trend of titanium alloys for biomedical applications[J]. Materials Review, 2016,30(2):384−388. (任军帅, 张英明, 谭江, 等. 生物医用钛合金材料发展现状及趋势[J]. 材料导报, 2016,30(2):384−388.
    [2] Yu Zhentao, Yu Sen, Cheng Jun, et al. Development and application of novel biomedical titanium alloy materials[J]. Acta Metallurgica Sinica, 2017,53(10):1238−1264. (于振涛, 余森, 程军, 等. 新型医用钛合金材料的研发和应用现状[J]. 金属学报, 2017,53(10):1238−1264. doi: 10.11900/0412.1961.2017.00288
    [3] Zhang L C, Chen L Y. A review on biomedical titanium alloys: Recent progress and prospect[J]. Advanced Engineering Materials, 2019,21(4):1−29.
    [4] Zhang Erlin, Wang Xiaoyan, Han Yong. Research status of biomedical porous Ti and its alloy in China[J]. Acta Metallurgica Sinica, 2017,53(12):1555−1567. (张二林, 王晓燕, 憨勇. 医用多孔Ti及钛合金的国内研究现状[J]. 金属学报, 2017,53(12):1555−1567. doi: 10.11900/0412.1961.2017.00324
    [5] Xu L J, Xiao S L, Tian J, et al. Microstructure, mechanical properties and dry wear resistance of β-type Ti–15Mo–xNb alloys for biomedical applications[J]. Transactions of Nonferrous Metals Society of China, 2013,23(3):692−698. doi: 10.1016/S1003-6326(13)62518-2
    [6] Wang Benli, Li Li, Zheng Yufeng, et al. Microstructure and wear behavior of biomedical Ti-Nb based alloys[J]. The Chinese Journal of Nonferrous Metals, 2010,20(S1):953−957. (王本力, 李莉, 郑玉峰. 生物医用Ti-Nb基合金的显微组织与耐磨性[J]. 中国有色金属学报, 2010,20(S1):953−957.
    [7] 吴杰. 生物医用多孔Ti-Nb基记忆合金的制备及其性能优化[D]. 广州: 华南理工大学, 2017.

    Wu Jie. Synthesis and properties optimization of porous Ti-Nb based memory alloys for biomedical application[D]. Guangzhou: South China University of Technology, 2017.
    [8] Zhang Meili, Pan Qi, Yang Tao, et al. Effect of Mo content on pore morphology and properties of porous Ti-Mo alloy[J]. Transactions of Materials and Heat Treatment, 2019,40(10):58−64. (张美丽, 潘旗, 杨涛, 等. 钼含量对多孔Ti-Mo合金孔隙形貌及性能的影响[J]. 材料热处理学报, 2019,40(10):58−64.
    [9] Zou Liming, Yang Chao, Li Yuanyuan. Research progress on preparing Ti-based biomedical materials by powder metallurgy[J]. Materials Review, 2011,25(15):82−85. (邹黎明, 杨超, 李元元. 粉末冶金法制备钛基生物医学材料的研究进展[J]. 材料导报, 2011,25(15):82−85.
    [10] Li Yonghua, Chen Nan. Research on microstrructure and mechanical property of porous Ti-45Nb alloy[J]. Journal of Jinggangshan University (Natural Science), 2019,40(5):67−71. (李永华, 陈楠. 多孔Ti-45Nb合金的微观组织与力学性能研究[J]. 井冈山大学学报(自然科学版), 2019,40(5):67−71.
    [11] Liu Chao, Yang Hailin, Li Jing, et al. Porosity and mechanical properties of biomedical porous Nb-Ti alloy[J]. The Chinese Journal of Nonferrous Metals, 2014,24(3):752−757. (刘超, 杨海林, 李婧, 等. 生物医用多孔Nb-Ti合金的孔隙率和力学性能[J]. 中国有色金属学报, 2014,24(3):752−757.
    [12] Zhao Chaoyong, Kuang Lin, Zhang Xuefeng, et al. Preparation and mechanical properties of porous Ti-5Nb alloy with the elongated pores[J]. Iron Steel Vanadium Titanium, 2019,40(6):62−67. (赵朝勇, 匡林, 张雪峰. 细长孔的多孔Ti-5Nb合金制备及力学性能研究[J]. 钢铁钒钛, 2019,40(6):62−67.
    [13] Ibrahim M K, Hamzah E, Saud S, et al. Parameter optimization of microwave sintering porous Ti-23%Nb shape memory alloys for biomedical applications[J]. Transactions of Nonferrous Metals Society of China, 2018,28(4):700−710. doi: 10.1016/S1003-6326(18)64702-8
    [14] Liu Peisheng. Determining methods for porosity of porous materials[J]. Titanium Industry Progres, 2005,22(6):34−36. (刘培生. 多孔材料孔率的测定方法[J]. 钛工业进展, 2005,22(6):34−36. doi: 10.3969/j.issn.1009-9964.2005.06.008
    [15] 鲍路姿. 医用多孔Ti-Mo合金的微波烧结制备及水热活化处理[D]. 南昌: 南昌航空大学, 2016.

    Bao Luzi. Preparation and hydrothermal activation treatment of the microwave sintered biomedical porous Ti-Mo alloy[D]. Nanchang: Nanchang Hangkong University, 2016.
    [16] Xie Fangxia, He Xueming, Yu Jinghu, et al. Structural characteristics and mechanical behavior of selective laser sintered porous Ti-6Mo alloy for biomedical applications[J]. Rare Metal Materials and Engineering, 2016,45(6):1477−1482. (颉芳霞, 何雪明, 俞经虎, 等. 生物医用多孔Ti-6Mo合金选择性激光烧结的结构特征和力学行为[J]. 稀有金属材料与工程, 2016,45(6):1477−1482.
  • 加载中
图(9) / 表(2)
计量
  • 文章访问数:  640
  • HTML全文浏览量:  101
  • PDF下载量:  41
  • 被引次数: 0
出版历程
  • 收稿日期:  2021-08-30
  • 刊出日期:  2021-12-31

目录

    /

    返回文章
    返回