中文核心期刊

SCOPUS 数据库收录期刊

中国科技核心期刊

美国《化学文摘》来源期刊

中国优秀冶金期刊

美国EBSCO数据库收录期刊

RCCSE中国核心学术期刊

美国《剑桥科学文摘》来源期刊

中国应用核心期刊(CACJ)

美国《乌利希期刊指南》收录期刊

中国学术期刊综合评价统计源刊

俄罗斯《文摘杂志》来源期刊

优秀中文科技期刊(西牛计划)

日本《科学技术文献数据库》(JST)收录刊

留言板

尊敬的读者、作者、审稿人, 关于本刊的投稿、审稿、编辑和出版的任何问题, 您可以本页添加留言。我们将尽快给您答复。谢谢您的支持!

姓名
邮箱
手机号码
标题
留言内容
验证码

溶液燃烧合成法制备钒酸锂及其电化学性能

陈宗岭 曹知勤 何逵 张雪峰

陈宗岭, 曹知勤, 何逵, 张雪峰. 溶液燃烧合成法制备钒酸锂及其电化学性能[J]. 钢铁钒钛, 2022, 43(3): 20-25. doi: 10.7513/j.issn.1004-7638.2022.03.004
引用本文: 陈宗岭, 曹知勤, 何逵, 张雪峰. 溶液燃烧合成法制备钒酸锂及其电化学性能[J]. 钢铁钒钛, 2022, 43(3): 20-25. doi: 10.7513/j.issn.1004-7638.2022.03.004
Chen Zongling, Cao Zhiqin, He Kui, Zhang Xuefeng. Preparation of lithium vanadate by solution combustion synthesis and its electrochemical properties[J]. IRON STEEL VANADIUM TITANIUM, 2022, 43(3): 20-25. doi: 10.7513/j.issn.1004-7638.2022.03.004
Citation: Chen Zongling, Cao Zhiqin, He Kui, Zhang Xuefeng. Preparation of lithium vanadate by solution combustion synthesis and its electrochemical properties[J]. IRON STEEL VANADIUM TITANIUM, 2022, 43(3): 20-25. doi: 10.7513/j.issn.1004-7638.2022.03.004

溶液燃烧合成法制备钒酸锂及其电化学性能

doi: 10.7513/j.issn.1004-7638.2022.03.004
基金项目: 四川省科技厅应用基础研究项目(2019YJ0688);攀枝花市科技计划项目(2020CY-G-5);钒钛资源综合利用四川省重点实验室项目(2019FTSZ10);国家级大学生创新创业训练计划项目(202111360004)。
详细信息
    作者简介:

    曹知勤(1987-),女,四川泸州人,博士研究生,副教授,通讯作者,主要从事钒钛功能材料研究,E-mail:cao_zhi_qing@163.com

    通讯作者:

    曹知勤(1987-),女,四川泸州人,博士研究生,副教授,通讯作者,主要从事钒钛功能材料研究,E-mail:cao_zhi_qing@163.com

  • 中图分类号: TF841.3,TM911

Preparation of lithium vanadate by solution combustion synthesis and its electrochemical properties

  • 摘要: 以硝酸铵、偏钒酸铵、硝酸锂、葡萄糖、柠檬酸、甘氨酸为原料,采用溶液燃烧合成法成功制备了锂离子电池正极材料LiVO3粉末,探究了煅烧温度和煅烧时间对LiVO3制备的影响,并将制备得到的LiVO3粉末作为活性物质进行电池组装,进一步探究了其作为锂离子电池正极材料时的电化学性能。结果表明:400 ℃煅烧1 h时制备的LiVO3粉末具有最佳的电化学性能,0.1 A/g的充放电速率下,电池首次放电比容量为244.3 mAh/g,经过50次循环后放电比容量为193.6 mAh/g。
  • 图  1  钒酸锂前驱体制备过程

    Figure  1.  Preparation process of lithium vanadate precursor

    图  2  400 ℃煅烧前后的材料对比

    Figure  2.  Comparison of materials before and after calcination at 400 ℃

    图  3  400 ℃不同时间煅烧后的产物物相分析

    Figure  3.  Phase analysis of products calcined at 400 ℃ for different time

    图  4  300 ℃煅烧后的材料

    Figure  4.  Calcinated materials at 300 ℃ for different time

    图  5  300 ℃煅烧0.5 h和1 h的材料物相分析

    Figure  5.  Phase analysis of materials calcined at 300 ℃ for 0.5 h and 1 h

    图  6  不同煅烧时间的循环性能

    Figure  6.  Cycle performance of as-prepared materials at 400 ℃ with different calcination time

    图  7  不同倍率时的循环性能测试

    Figure  7.  Rate performance of the samples prepared at 400 ℃ for different time

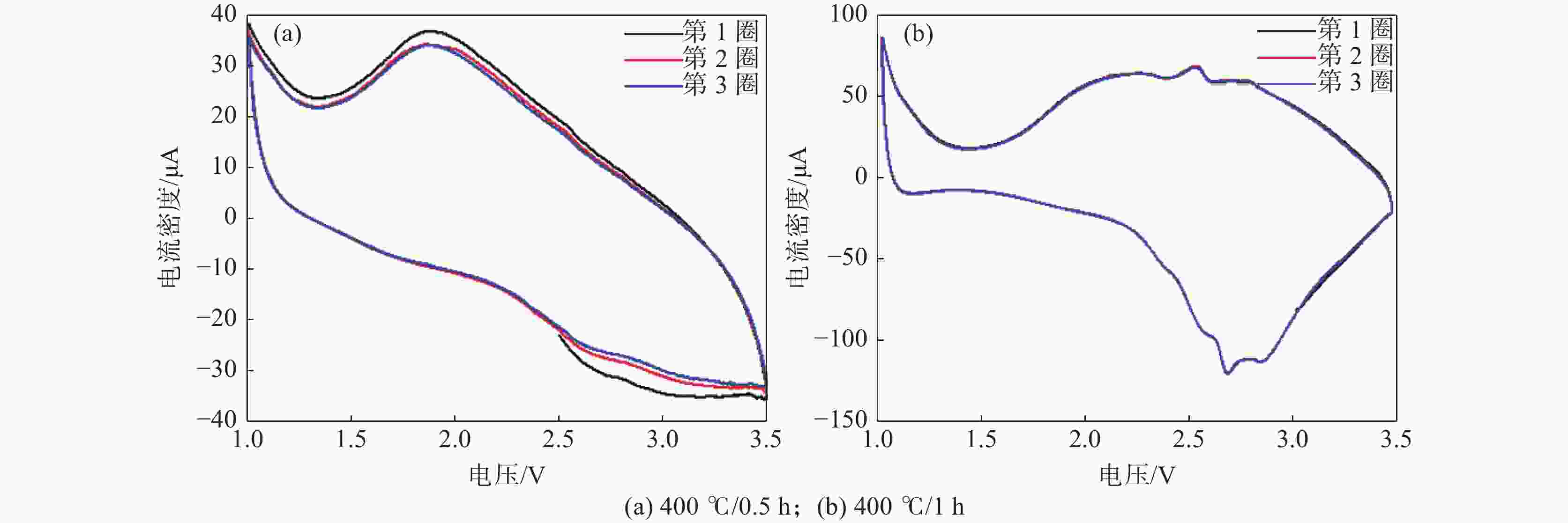
    图  8  循环伏安曲线

    Figure  8.  Cyclic voltammetry curve

  • [1] 冀京润. 基于分数阶模型的锂离子电池参数辨识与荷电状态估计研究[D]. 西安: 西安理工大学, 2021.

    Ji Jingrun. Research on parameter identification and state of charge estimation of lithium ion battery based on fractional order model [D] . Xi'an: Xi'an University of Technology, 2021.
    [2] Dong Jingwei, Li Zhe, Zhang Bo, et al. Research progress in synthesis and modification of lithium vanadium phosphate cathode materials[J]. Guangzhou Chemical Industry, 2022,50(6):24−27. (董经纬, 李喆, 张博, 等. 磷酸钒锂正极材料的合成与改性研究进展[J]. 广州化工, 2022,50(6):24−27. doi: 10.3969/j.issn.1001-9677.2022.06.009

    Dong Jingwei, Li Zhe, Zhang Bo, et al. Research progress in synthesis and modification of lithium vanadium phosphate cathode materials [J] . Guangzhou Chemical Industry, 2022, 50 (6): 24-27. doi: 10.3969/j.issn.1001-9677.2022.06.009
    [3] 王韵珂. 锂离子电池高镍正极材料的合成、改性及电化学性能研究[D]. 昆明: 昆明理工大学, 2021.

    Wang Yunke. Synthesis, modification and electrochemical properties of high nickel cathode materials for lithium ion batteries [D]. Kunming: Kunming University of Science and Technology, 2021.
    [4] Wang Hao, Li Junfeng, Ma Yue, et al. Research progress of vanadium based electrode materials for lithium ion batteries[J]. Material Guide, 2021,35(21):21127−21142. (王皓, 李峻峰, 马悦, 等. 锂离子电池钒系电极材料的研究进展[J]. 材料导报, 2021,35(21):21127−21142.

    Wang Hao, Li Junfeng, Ma Yue, et al. Research progress of vanadium based electrode materials for lithium ion batteries [J] . Material Guide, 2021, 35 (21): 21127-21142.
    [5] Zhou Hongkong, Xiao Shanshan, Hou Wanjun, et al. Study on vanadium oxide as electrode material for lithium ion battery[J]. Chemical Technology and Development, 2021,50(6):41−45. (周香港, 肖姗姗, 侯婉君, 等. 钒氧化物作为锂离子电池电极材料的研究[J]. 化工技术与开发, 2021,50(6):41−45. doi: 10.3969/j.issn.1671-9905.2021.06.011

    Zhou Hongkong, Xiao Shanshan, Hou Wanjun, et al. Study on vanadium oxide as electrode material for lithium ion battery [J]. Chemical Technology and Development, 2021, 50 (6): 41-45. doi: 10.3969/j.issn.1671-9905.2021.06.011
    [6] 刘培琦. 堆垛结构富锂锰基正极材料Li1.2Mn0.54Ni0.13Co0.13O2的制备和改性研究[D]. 深圳: 深圳大学, 2019.

    Liu Peiqi. Preparation and modification of lithium rich-manganese-based cathode materialS Li1.2Mn0.54Ni0.13Co0.13O2[D]. Shenzhen: Shenzhen University, 2019.
    [7] Pralong V, Gopal V, Caignaert V, et al. Lithium-rich rock-salt-type vanadate as energy storage cathode: Li2xVO3[J]. Chemistry of Materials, 2011,24(1):12−14.
    [8] 陈重学, 杨汉西, 艾新平, 等. 锂离子电池LiVO3正极材料的改性研究[C]//第18届全国固态离子学学术会议暨国际电化学储能技术论坛论文集. 桂林: 中国硅酸盐学会固态离子学分会, 2016: 274.

    Chen Chongxue, Yang Hanxi, Ai Xinping, et al. Lithium ion battery LiVO3 study on modification of cathode materials [C] / / Proceedings of the 18th National Conference on Solid State Ionics and International Electrochemical Energy Storage Technology Forum. Guilin: CSSI, 2016: 274.
    [9] Yan Danlin, Zeng Yingying. Prepared of cathode material LiVO3 for lithium ion battery by sol gel method[J]. Guangdong Chemical Industry, 2019,46(14):15−16. (严丹林, 曾瑛英. 锂离子电池正极材料LiVO3的溶胶凝胶法制备[J]. 广东化工, 2019,46(14):15−16. doi: 10.3969/j.issn.1007-1865.2019.14.008

    Yan Danlin, Zeng Yingying. Prepared of cathode material LiVO_3 for lithium ion battery by sol gel method[J]. Guangdong Chemical Industry, 2019, 46 (14): 15-16. doi: 10.3969/j.issn.1007-1865.2019.14.008
    [10] 郭广志. 层状结构LiV3O8正极材料的合成及其改性研究[D]. 大连: 大连海事大学, 2020.

    Guo Guangzhi. Layered structure LiV3O8 synthesis and modification of cathode materials[D]. Dalian: Dalian Maritime University, 2020.
    [11] 孙永伟. 电极材料Li3VO4的制备及其电化学性能研究[D]. 秦皇岛: 燕山大学, 2020.

    Sun Yongwei. Study on preparation and electrochemical properties of Li3VO4 for electrode material[D]. Qinghuangdao: Yanshan University, 2020.
    [12] Ren Junfeng, Wang Haibing, Cao Haijing, et al. Preparation of MnSn(OH)6 nano cubic electrode materials with carbon doped and their electrochemical properties in supercapacitors[J]. Micro Nano Electronic Technology, 2022,59(4):322−327, 378. (任俊锋, 王海兵, 曹海静, 等. 碳掺杂MnSn(OH)6纳米立方电极材料的制备及其在超级电容器中的电化学性能[J]. 微纳电子技术, 2022,59(4):322−327, 378. doi: 10.13250/j.cnki.wndz.2022.04.004

    Ren Junfeng, Wang Haibing, Cao Haijing, et al. Preparation of MnSn (OH)_6 nano cubic electrode materials with carbon doped and their electrochemical properties in supercapacitors [J] . Micro Nano Electronic Technology, 2022, 59 (4): 322-327 , 378. DOI: 10.13250/j.cnki.wndz.2022.04.004.
    [13] Zong Wenhui. Preparation and electrochemical properties of two kinds of graphene oxide and cobalt ferrite composites[J]. Fiber Composite, 2022,39(1):65−71,104. (宗文辉. 两种氧化石墨烯与铁酸钴复合材料的制备及电化学性能[J]. 纤维复合材料, 2022,39(1):65−71,104.

    Zong Wenhui. Preparation and electrochemical properties of two kinds of graphene oxide and cobalt ferrite composites [J] . Fiber Composite, 2022, 39 (1): 65-71 , 104.
  • 加载中
图(8)
计量
  • 文章访问数:  542
  • HTML全文浏览量:  139
  • PDF下载量:  46
  • 被引次数: 0
出版历程
  • 收稿日期:  2022-04-19
  • 刊出日期:  2022-06-30

目录

    /

    返回文章
    返回