中文核心期刊

SCOPUS 数据库收录期刊

中国科技核心期刊

美国《化学文摘》来源期刊

中国优秀冶金期刊

美国EBSCO数据库收录期刊

RCCSE中国核心学术期刊

美国《剑桥科学文摘》来源期刊

中国应用核心期刊(CACJ)

美国《乌利希期刊指南》收录期刊

中国学术期刊综合评价统计源刊

俄罗斯《文摘杂志》来源期刊

优秀中文科技期刊(西牛计划)

日本《科学技术文献数据库》(JST)收录刊

留言板

尊敬的读者、作者、审稿人, 关于本刊的投稿、审稿、编辑和出版的任何问题, 您可以本页添加留言。我们将尽快给您答复。谢谢您的支持!

姓名
邮箱
手机号码
标题
留言内容
验证码

大型钢坯加热炉多炉况同步加热钛坯技术研究

郭宏

郭宏. 大型钢坯加热炉多炉况同步加热钛坯技术研究[J]. 钢铁钒钛, 2022, 43(3): 176-184. doi: 10.7513/j.issn.1004-7638.2022.03.027
引用本文: 郭宏. 大型钢坯加热炉多炉况同步加热钛坯技术研究[J]. 钢铁钒钛, 2022, 43(3): 176-184. doi: 10.7513/j.issn.1004-7638.2022.03.027
Guo Hong. Research on multi-condition synchronous heating of titanium billet in large billet heating furnace[J]. IRON STEEL VANADIUM TITANIUM, 2022, 43(3): 176-184. doi: 10.7513/j.issn.1004-7638.2022.03.027
Citation: Guo Hong. Research on multi-condition synchronous heating of titanium billet in large billet heating furnace[J]. IRON STEEL VANADIUM TITANIUM, 2022, 43(3): 176-184. doi: 10.7513/j.issn.1004-7638.2022.03.027

大型钢坯加热炉多炉况同步加热钛坯技术研究

doi: 10.7513/j.issn.1004-7638.2022.03.027
详细信息
    作者简介:

    郭宏(1979—),男,高级工程师,主要从事钢铁新材料研发和热连轧工艺技术研究,联系电话:0812-3390206,E-mail: guoh@pzhsteel.com.cn

  • 中图分类号: TF823,TG156

Research on multi-condition synchronous heating of titanium billet in large billet heating furnace

  • 摘要: 钛由于其具有各种优异的性能,被广泛应用于国防及民用领域。高效、低成本地连续生产大卷重钛带卷,利用常规热连轧生产线进行钛、钛合金-钢共线生产是大卷重钛带卷生产的发展趋势。对于钢-钛共线轧制热轧钛带卷,加热是关键环节。在某1 450 mm热带钢连轧线基础上,针对钛带卷生产效率低、加热能耗大等问题,通过ANSYS有限元建立钢坯加热炉实体模型,Fluent仿真得到加热炉内温度场和流场,分析了钛板坯在加热炉中不同阶段的温度分布,成功突破了大型钢坯加热炉多炉况同步加热钛坯技术,实现了钛带卷的高效高质量生产。
  • 图  1  加热炉三维模型(1∶1)

    Figure  1.  3D model of heating furnace

    图  2  加热炉网格模型

    Figure  2.  Mesh model of reheating furnace

    图  3  TA1导热系数、比热容随温度的变化曲线

    Figure  3.  Variation of thermal conductivity and specific heat of TA1 with temperature

    图  4  炉内燃料轨迹线

    Figure  4.  Fuel trajectory diagram in furnace

    图  5  炉膛内气体速度场

    Figure  5.  Gas velocity field in furnace

    图  6  加热炉温度全貌

    Figure  6.  Full view of heating furnace temperature

    图  7  燃烧室宽度截面温度场

    Figure  7.  Temperature field of combustion chamber width section

    图  8  加热炉炉长方向上测量温度与计算温度对比

    Figure  8.  Comparison between calculated temperature and field temperature

    图  9  不同空燃比下加热炉各段沿炉宽方向上温度分布情况

    Figure  9.  Temperature contrast diagram of different air-fuel ratio and different heating furnace positions

    图  10  不同空燃比下加热炉内残余气体质量分数对比

    Figure  10.  Comparison of residual gas mass fraction in reheating furnace under different air-fuel ratios

    图  11  钛坯在加热炉中不同阶段的温度分布

    Figure  11.  Temperature distribution of titanium billet at different stages in the heating furnace

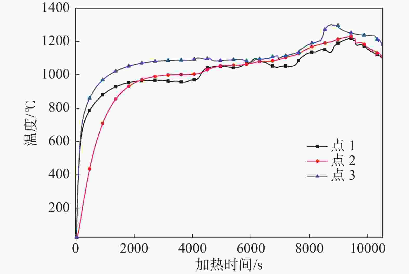
    图  12  钛坯不同节点温度随时间变化曲线

    Figure  12.  Temperature curve of titanium billet at different nodes with time

    图  13  双炉同时同步加热钛坯的布料方案

    Figure  13.  Distribution scheme of titanium billet simultaneously heated by double furnace

    图  14  双炉加热烧嘴布置及着火方案

    Figure  14.  Double furnace heating burner layout and burner ignition scheme

    图  15  双炉工况下加热的钛坯

    Figure  15.  Titanium billet heated in dual-furnace condition

    图  16  双炉工况下的钛坯加热质量

    Figure  16.  Heating quality of titanium billet under dual-furnace condition

    图  17  双炉工况下出炉温度偏差(实际-目标)统计分布

    Figure  17.  Statistical distribution of oven temperature deviation under dual-furnace condition (actual-target)

    表  1  混合煤气的成分组成

    Table  1.   Chemical composition of mixed gas %

    CO2CmHnO2COH2
    9.40.80.217.826.1
    下载: 导出CSV

    表  2  加热炉不同情况的空燃比

    Table  2.   Air fuel ratio of reheating furnace under different conditions

    不同部位加热段一
    炉顶
    加热段一
    两侧
    加热段二
    炉顶
    加热段二
    两侧
    均热段
    炉顶
    均热段
    两侧
    方案1(A)3.504.703.504.705.102.80
    方案2(B)4.605.874.675.877.654.20
    方案3(C)8.0010.08.009.0106
    下载: 导出CSV

    表  3  金属钛材热连轧轧制效率及能耗对比

    Table  3.   Comparison of efficiency and energy consumption in metallic titanium hot continuous rolling

    钛带轧制量/t能耗/(GJ·t−1轧制时间/min小时轧制量/t加热方式
    194.7320.45115.52101.14双炉
    162.1420.8889.67108.49双炉
    161.720.5396.38100.66双炉
    208.8420.39110.37113.53双炉
    182.9321.04108.61101.06双炉
    161.1821.7091.03106.24双炉
    186.4419.95114.9697.31双炉
    128.9320.4880.4196.20双炉
    129.0122.4176.47101.22双炉
    205.5820.17109.79112.35双炉
    220.5921.27127.85103.52双炉
    167.4639.21174.2757.66单炉
    下载: 导出CSV
  • [1] Wang Xuezheng. Panxi has become the key development zone of metal resources in China[J]. Shanghai Nonferrous Metals, 1995,6:352. (王学正. 攀西已成为我国金属资源重点开发区[J]. 上海有色金属, 1995,6:352.

    Wang xuezheng. Panxi has become the key development zone of metal resources in China [J]. Shanghai Nonferrous Metals, 1995, 06: 352-352.
    [2] Wu Quanxing. Progress of titanium industry technology in China[J]. Rare Metals Letters, 2004,23(9):1−4. (吴全兴. 我国钛工业技术的进展[J]. 稀有金属快报, 2004,23(9):1−4.

    Wu Quanxing. Progress of Titanium industry technology in China[J]. Rare Metals Letters, 2004, 023(009): 1-4.
    [3] Kazuo Muraoka. Cooling production technology of industrial pure iron[J]. Nonferrous Metals Processing, 1996,(6):30−37. (村冈一雄. 工业纯铁的冷化生产技术[J]. 有色金属加工, 1996,(6):30−37.

    Kazuo Muraoka. Cooling Production technology of Industrial pure Iron [J]. Nonferrous Metals Processing, 1996, (6): 30-37.
    [4] 严国平. 华菱链钢热乳机组成功试化出我国第一盘铁带卷[N]. 世界金属导报, 2007-08-07(15).

    Yan Guoping. Valin chain steel hot milk unit successfully tested the first iron strip coil in China[N]. World Metal Review, 2007-08-07(15).
    [5] 徐欣磊. 宝钢1880 mm热轧钛板轧制技术研究与实现[D]. 沈阳: 东北大学, 2014.

    Xu Xinlei. Research and implementation of Baosteel 1880 mm hot rolled titanium plate rolling technology [D]. Shenyang: Northeastern University, 2014.
    [6] Xin Jianqing, Zhang Huaifu. Development of technology for producing large coil weight and wide titanium strip in 1549 mm hot strip mill[J]. Shanxi Metallurgy, 2015,38(2):10-11. (辛建卿, 张怀富. 1549 mm热连轧机生产大卷重宽幅钛带技术开发[J]. 山西冶金, 2015,38(2):10-11.

    Xin Jianqing, ZHANG Huaifu. Development of technology for producing large coil weight and wide titanium strip in 1549 mm Hot Strip Mill [J]. Shanxi Metallurgy, 2015, 38(2): 2.
    [7] Xiang Guojin, Luo Xu, Geng Naitao, et al. Study on temperature field of titanium slab heating process based on walking-beam-type furnace[J]. Iron Steel Vanadium Titanium, 2021,42(6):191−198. (向国进, 罗许, 耿乃涛, 等. 基于步进式加热炉的钛坯加热过程温度场研究[J]. 钢铁钒钛, 2021,42(6):191−198.

    Xiang Guojin, Luo Xu, gengnaitao et al. Study on Temperature Field of Titanium Slab Heating Process Based on Walking-Beam-Type Furnace[J]. Steel Vanadium and Titanium, 2021, 42(06): 191-198.
    [8] Gu Mingyan , Chen Guang . Numerical simulation of slab heating process in a regenerative walking beam reheating furnace[J]. International Journal of Heat and Mass Transfer, 2014,76:405−410.
    [9] Harish J, Dutta P. Heat transfer analysis of pusher type reheat furnace[J]. Ironmak. Steelmak, 2005,32(2):151−158.
  • 加载中
图(17) / 表(3)
计量
  • 文章访问数:  399
  • HTML全文浏览量:  89
  • PDF下载量:  26
  • 被引次数: 0
出版历程
  • 收稿日期:  2022-04-17
  • 刊出日期:  2022-06-30

目录

    /

    返回文章
    返回