中文核心期刊

SCOPUS 数据库收录期刊

中国科技核心期刊

美国《化学文摘》来源期刊

中国优秀冶金期刊

美国EBSCO数据库收录期刊

RCCSE中国核心学术期刊

美国《剑桥科学文摘》来源期刊

中国应用核心期刊(CACJ)

美国《乌利希期刊指南》收录期刊

中国学术期刊综合评价统计源刊

俄罗斯《文摘杂志》来源期刊

优秀中文科技期刊(西牛计划)

日本《科学技术文献数据库》(JST)收录刊

留言板

尊敬的读者、作者、审稿人, 关于本刊的投稿、审稿、编辑和出版的任何问题, 您可以本页添加留言。我们将尽快给您答复。谢谢您的支持!

姓名
邮箱
手机号码
标题
留言内容
验证码

Sc3+掺杂对碳热还原法制备Li3V2(PO4)3/C正极材料储锂性能的影响

冯雪刚 李娜丽 刘甜甜

冯雪刚, 李娜丽, 刘甜甜. Sc3+掺杂对碳热还原法制备Li3V2(PO4)3/C正极材料储锂性能的影响[J]. 钢铁钒钛, 2022, 43(6): 31-37. doi: 10.7513/j.issn.1004-7638.2022.06.005
引用本文: 冯雪刚, 李娜丽, 刘甜甜. Sc3+掺杂对碳热还原法制备Li3V2(PO4)3/C正极材料储锂性能的影响[J]. 钢铁钒钛, 2022, 43(6): 31-37. doi: 10.7513/j.issn.1004-7638.2022.06.005
Feng Xuegang, Li Nali, Liu Tiantian. Effect of Sc3+ doping on lithium storage performance of Li3V2(PO4)3/C cathode material synthesized by carbothermal reduction method[J]. IRON STEEL VANADIUM TITANIUM, 2022, 43(6): 31-37. doi: 10.7513/j.issn.1004-7638.2022.06.005
Citation: Feng Xuegang, Li Nali, Liu Tiantian. Effect of Sc3+ doping on lithium storage performance of Li3V2(PO4)3/C cathode material synthesized by carbothermal reduction method[J]. IRON STEEL VANADIUM TITANIUM, 2022, 43(6): 31-37. doi: 10.7513/j.issn.1004-7638.2022.06.005

Sc3+掺杂对碳热还原法制备Li3V2(PO4)3/C正极材料储锂性能的影响

doi: 10.7513/j.issn.1004-7638.2022.06.005
基金项目: 四川省科技厅应用基础研究项目(2018JY0284);钒钛资源综合利用四川省重点实验室项目(2019FTSZ14);攀枝花学院校级科研项目(2020YB021);国家级大学生创新创业训练计划项目(202111360005)。
详细信息
    作者简介:

    李娜丽,1985年出生,女,福建泉州人,博士,讲师,通讯作者,主要研究方向为新能源材料,E-mail:nalili0630@163.com

    通讯作者:

    李娜丽,1985年出生,女,福建泉州人,博士,讲师,通讯作者,主要研究方向为新能源材料,E-mail:nalili0630@163.com

  • 中图分类号: TF841.3,TM912

Effect of Sc3+ doping on lithium storage performance of Li3V2(PO4)3/C cathode material synthesized by carbothermal reduction method

  • 摘要: 通过碳热还原法成功制备出Sc3+掺杂Li3V2(PO4)3/C正极材料。系统研究了Sc3+掺杂量对Li3V2(PO4)3的结构、形貌及电化学性能的影响。Sc3+掺杂虽然没有改变Li3V2(PO4)3的晶格类型,但是使得Li3V2(PO4)3的晶格膨胀,晶胞体积增大,有利于电子传输和Li+扩散。此外,Sc3+掺杂使得不规则的多边形块状Li3V2(PO4)3颗粒球化并减小其尺寸。更为重要的是,合适的Sc3+掺杂量能显著增强Li3V2(PO4)3正极材料的电子电导率和Li+扩散系数。得益于适当的Sc3+掺杂量以及碳包覆和多孔结构,Li3V1.85Sc0.15(PO4)3/C样品具有优异的储锂性能,其在10 C的高倍率下可提供84.8 mAh/g的首次放电比容量,并且循环100圈后容量保持率高达93.5%。
  • 图  1  Li3V2-xScx(PO4)3/C(x = 0、0.05、0.15和0.20)样品的XRD图谱

    Figure  1.  XRD patterns of Li3V2-xScx(PO4)3/C (x = 0, 0.05, 0.15 and 0.20) composites

    图  2  Li3V1.85Sc0.15(PO4)3/C样品的HRTEM形貌

    Figure  2.  HRTEM image of Li3V1.85Sc0.15(PO4)3/C sample

    图  3  样品的SEM形貌

    Figure  3.  SEM images of samples

    (a) Li3V2(PO4)3/C;(b) Li3V1.95Sc0.05(PO4)3/C;(c) Li3V1.85Sc0.15(PO4)3/C;(d) Li3V1.80Sc0.20(PO4)3/C

    图  4  Li3V1.85Sc0.15(PO4)3/C复合正极材料的氮气吸脱附等温线,插入图为对应的孔径分布

    Figure  4.  N2 adsorption/desorption isotherm, the pore-size distribution curve corresponding BJH (inset) of Li3V1.85Sc0.15(PO4)3/C composite

    图  5  样品的倍率性能和循环性能

    (a) Li3V2-xScx(PO4)3/C(x = 0、0.05、0.15和0.20) 样品的倍率性能;(b) Li3V2-xScx(PO4)3/C(x = 0、0.05、0.15和0.20) 样品的恒流充放电曲线;(c) Li3V1.85Sc0.15(PO4)3/C样品在10 C倍率下的循环性能曲线

    Figure  5.  Rate capability and cycle performance of samples

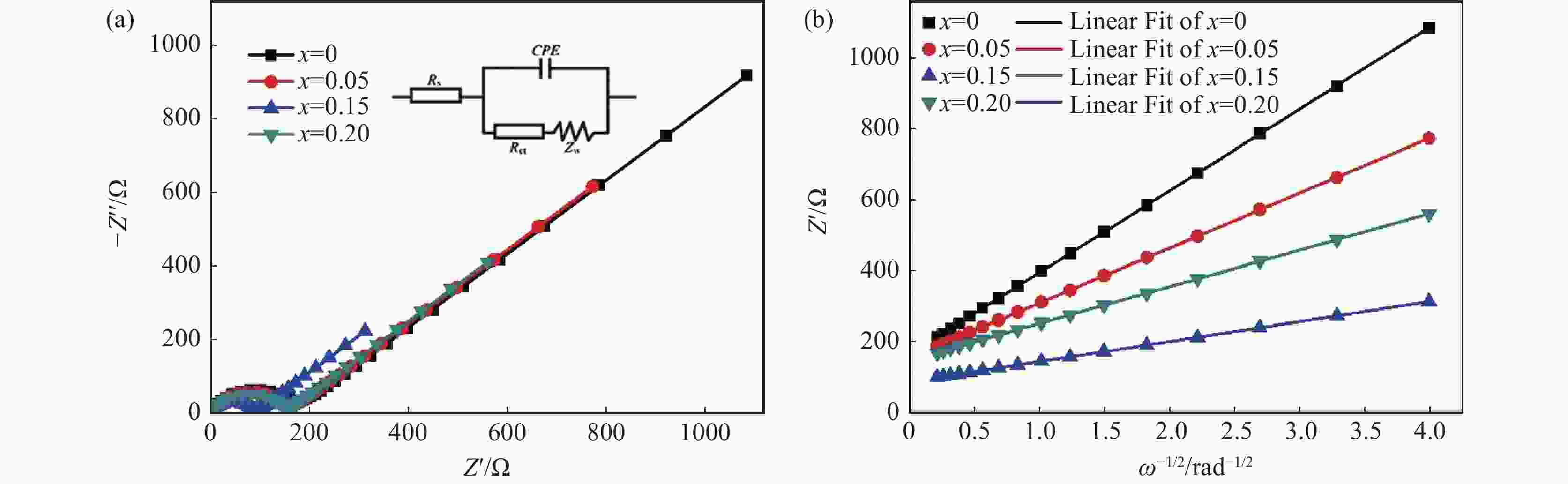
    图  6  Li3V2-xScx(PO4)3/C(x = 0、0.05、0.15和0.20)复合材料的(a)交流阻抗谱和(b)低频区中Z´与ω−1/2之间的线性拟合曲线

    Figure  6.  (a) EIS spectra and (b) the relationship between Z´ and ω−1/2 at low frequencies of Li3V2-xScx(PO4)3/C (x = 0, 0.05, 0.15 and 0.20) composites

    表  1  单斜Li3V2−xScx(PO4)3/C样品精修后的晶格参数和对应的晶胞体积(abcβ:单斜晶系的晶胞参数;V:晶胞体积)

    Table  1.   Refined lattice parameters of monoclinic Li3V2−xScx(PO4)3/C materials and the corresponding unit-cell volumes (a, b, c and β : unit-cell parameters of the monoclinic system; V : volume of unit-cell)

    样品a /nmb /nmc /nmβV /nm3
    Li3V2(PO4)3/C0.860 10.859 51.20390.550.889 6
    Li3V1.90Sc0.05(PO4)3/C0.860 80.860 21.20390.520.891 0
    Li3V1.85Sc0.15(PO4)3/C0.86130.860 71.20590.510.893 1
    Li3V1.80Sc0.20(PO4)3/C0.862 10.861 71.20690.480.895 6
    下载: 导出CSV
  • [1] Oh W, Park H, Jin B S, et al. Understanding the structural phase transitions in lithium vanadium phosphate cathodes for lithium-ion batteries[J]. Journal of Materials Chemistry A, 2020,8(20):10331−10336. doi: 10.1039/C9TA12435G
    [2] Ding Xiaokai, Zhang Lulu, Yang Xuelin, et al. Anthracite-derived dual-phase carbon-coated Li3V2(PO4)3 as high-performance cathode material for lithium ion batteries[J]. ACS Applied Materials & Interfaces, 2017,9(49):42788−42796.
    [3] Sørensen D R, Mathiesen J K, Ravnsbæk D B. Dynamic charge-discharge phase transitions in Li3V2(PO4)3 cathodes[J]. Journal of Power Sources, 2018,396:437−443. doi: 10.1016/j.jpowsour.2018.06.023
    [4] Bi Linnan, Song Zhicui, Liu Xiaoqin, et al. Critical roles of RuO2 nano-particles in enhancing cyclic and rate performance of LISICON Li3V2(PO4)3 cathode materials[J]. Journal of Alloys and Compounds, 2020,845:156271. doi: 10.1016/j.jallcom.2020.156271
    [5] Xia Yang, Yu Liyue, Lu Chengwei, et al. Passion fruit-like structure endows Li3V2(PO4)3@C/CNT composite with superior cyclic stability and rate performance[J]. Journal of Alloys and Compounds, 2021,859:157806. doi: 10.1016/j.jallcom.2020.157806
    [6] Yan Haiyan, Li Minhao, Fu Yuqiao, et al. Conductive polypyrrole-promoted Li3V2(PO4)3 nanocomposite for rechargeable lithium energy storage[J]. Journal of Physics and Chemistry of Solids, 2022,167:110787. doi: 10.1016/j.jpcs.2022.110787
    [7] Liao Yuxing, Li Chao, Lou Xiaobing, et al. Carbon-coated Li3V2(PO4)3 derived from metal-organic framework as cathode for lithium-ion batteries with high stability[J]. Electrochimica Acta, 2018,271:608−616. doi: 10.1016/j.electacta.2018.03.100
    [8] Yan Haiyan, Zhang Gai, Li Yongfei. Synthesis and characterization of advanced Li3V2(PO4)3 nanocrystals@conducting polymer PEDOT for high energy lithium-ion batteries[J]. Applied Surface Science, 2017,393:30−36. doi: 10.1016/j.apsusc.2016.09.156
    [9] Huang Zan, Luo Peifang, Zheng Honghong, et al. Aluminum-doping effects on three-dimensional Li3V2(PO4)3@C/CNTs microspheres for electrochemical energy storage[J]. Ceramics International, 2022,48(13):18765−18772. doi: 10.1016/j.ceramint.2022.03.151
    [10] Huang Zan, Luo Peifang, Zheng Honghong. Design of Ti4+-doped Li3V2(PO4)3/C fibers for lithium energy storage[J]. Ceramics International, 2022,48(6):8325−8330. doi: 10.1016/j.ceramint.2021.12.037
    [11] Qi Ning, Ma Yangyang, Ren Bing, et al. Comparison of the La-doped and Gd-doped Li3V2(PO4)3/C via electrochemical tests and first-principle calculations for lithium-ion batteries[J]. Journal of Physics and Chemistry of Solids, 2021,150:109889. doi: 10.1016/j.jpcs.2020.109889
    [12] Li Nali, Yu Yong, Tong Yanwei, et al. Sc3+-doping effects on porous Li3V2(PO4)3/C cathode with superior rate performance and cyclic stability[J]. Ceramics International, 2021,47(24):34218−34224. doi: 10.1016/j.ceramint.2021.08.331
    [13] Li Nali, Tong Yanwei, Yi Dawei, et al. Effect of Zr4+ doping on the morphological features and electrochemical performance of monoclinic Li3V2(PO4)3/C cathode material synthesized by an improved sol-gel combustion technique[J]. Journal of Alloys and Compounds, 2021,868:158771. doi: 10.1016/j.jallcom.2021.158771
    [14] Zhang Yu, Su Zhi, Ding Juan. Synthesis and electrochemical properties of Ge-doped Li3V2(PO4)3/C cathode materials for lithium-ion batteries[J]. Journal of Alloys and Compounds, 2017,702:427−431. doi: 10.1016/j.jallcom.2017.01.267
    [15] Liu Liying, Lei Xingling, Tang Hui, et al. Influences of La doping on magnetic and electrochemical properties of Li3V2(PO4)3/C cathode materials for lithium-ion batteries[J]. Electrochimica Acta, 2015,151(0):378−385.
    [16] Ding Xiaokai, Liu Jing, Zhang Lulu, et al. High-performance Li3V2(PO4)3/C cathode material with a mixed morphology prepared by solvothermal assisted sol-gel process[J]. Ionics, 2019,25(5):2057−2067. doi: 10.1007/s11581-018-2701-5
    [17] Peng Jianhong, Bao Haiping, Xu Xiaolong, et al. Electrochemical properties of Li3V2(PO4)3/C cathode materials synthesized via ethylene glycol-assisted solvothermal method[J]. Ionics, 2018,24(5):1277−1283. doi: 10.1007/s11581-017-2312-6
    [18] Wang Liping, Bai Jianming, Gao Peng, et al. Structure tracking aided design and synthesis of Li3V2(PO4)3 nanocrystals as high-power cathodes for lithium ion batteries[J]. Chemistry of Materials, 2015,27(16):5712−5718. doi: 10.1021/acs.chemmater.5b02236
    [19] Li Yushan, Wang Jin, Zhou Zhaofu, et al. Large-scale synthesis of porous Li3V2(PO4)3@C/AB hollow microspheres with interconnected channel as high performance cathodes for lithium-ion batteries[J]. Journal of Alloys and Compounds, 2019,774:879−886. doi: 10.1016/j.jallcom.2018.09.214
    [20] Wu Ling, Zhong Shengkui, Lu Jiajia, et al. Li3V2(PO4)3/C microspheres with high tap density and high performance synthesized by a two-step ball milling combined with the spray drying method[J]. Materials Letters, 2014,115:60−63. doi: 10.1016/j.matlet.2013.10.040
    [21] Peng Yi, Tan Rou, Ma Jianmin, et al. Electrospun Li3V2(PO4)3 nanocubes/carbon nanofibers as free-standing cathodes for high-performance lithium-ion batteries[J]. Journal of Materials Chemistry A, 2019,7(24):14681−14688. doi: 10.1039/C9TA02740H
    [22] Wei Sainan, Yao Jiming, Shi Bao. 1D highly porous Li3V2(PO4)3/C nanofibers as superior high-rate and ultralong cycle-life cathode material for electrochemical energy storage[J]. Solid State Ionics, 2017,305:36−42. doi: 10.1016/j.ssi.2017.04.019
    [23] Shannon R D. Revised effective ionic radii and systematic studies of interatomic distances in halides and chalcogenides[J]. Acta Crystallographica Section A, 1976,32(5):751−767. doi: 10.1107/S0567739476001551
    [24] Xia Yang, Zhang Wenkui, Huang Hui, et al. Synthesis and electrochemical properties of Nb-doped Li3V2(PO4)3/C cathode materials for lithium-ion batteries[J]. Materials Science and Engineering:B, 2011,176(8):633−639. doi: 10.1016/j.mseb.2011.02.006
    [25] Sun Hongxia, Du Haoran, Yu Mengkang, et al. Vesicular Li3V2(PO4)3/C hollow mesoporous microspheres as an efficient cathode material for lithium-ion batteries[J]. Nano Research, 2019,12(8):1937−1942. doi: 10.1007/s12274-019-2461-1
    [26] Li Ruhong, Sun Shuting, Liu Jianchao, et al. From rational construction to theoretical study: Li3V2(PO4)3 nanoplates with exposed {100} facets for achieving highly stable lithium storage[J]. Journal of Power Sources, 2019,442:227231. doi: 10.1016/j.jpowsour.2019.227231
    [27] Lee H S, Ramar V, Kuppan S, et al. Key design considerations for synthesis of mesoporous α-Li3V2(PO4)3/C for high power lithium batteries[J]. Electrochimica Acta, 2021,372:137831. doi: 10.1016/j.electacta.2021.137831
    [28] Ding Manling, Cheng Chen, Wei Qiulong, et al. Carbon decorated Li3V2(PO4)3 for high-rate lithium-ion batteries: Electrochemical performance and charge compensation mechanism[J]. Journal of Energy Chemistry, 2021,53:124−131. doi: 10.1016/j.jechem.2020.04.020
    [29] Chen Yueqian, Chen Han, Xiao Li, et al. Preparation for honeycombed Li3V2(PO4)3/C composites via vacuum-assisted immersion method and their high-rates performance in lithium-ion batteries[J]. Vacuum, 2020,172:108926. doi: 10.1016/j.vacuum.2019.108926
  • 加载中
图(6) / 表(1)
计量
  • 文章访问数:  637
  • HTML全文浏览量:  255
  • PDF下载量:  30
  • 被引次数: 0
出版历程
  • 收稿日期:  2022-09-23
  • 刊出日期:  2023-01-13

目录

    /

    返回文章
    返回