中文核心期刊

SCOPUS 数据库收录期刊

中国科技核心期刊

美国《化学文摘》来源期刊

中国优秀冶金期刊

美国EBSCO数据库收录期刊

RCCSE中国核心学术期刊

美国《剑桥科学文摘》来源期刊

中国应用核心期刊(CACJ)

美国《乌利希期刊指南》收录期刊

中国学术期刊综合评价统计源刊

俄罗斯《文摘杂志》来源期刊

优秀中文科技期刊(西牛计划)

日本《科学技术文献数据库》(JST)收录刊

留言板

尊敬的读者、作者、审稿人, 关于本刊的投稿、审稿、编辑和出版的任何问题, 您可以本页添加留言。我们将尽快给您答复。谢谢您的支持!

姓名
邮箱
手机号码
标题
留言内容
验证码

热处理对钛合金Ti84Al11FeMo4组织和性能的影响

张雪峰 陈敏 刘许旸 高友智 韦良晓 蔡俊豪 倪梓洁 陈新才

张雪峰, 陈敏, 刘许旸, 高友智, 韦良晓, 蔡俊豪, 倪梓洁, 陈新才. 热处理对钛合金Ti84Al11FeMo4组织和性能的影响[J]. 钢铁钒钛, 2022, 43(6): 66-70. doi: 10.7513/j.issn.1004-7638.2022.06.010
引用本文: 张雪峰, 陈敏, 刘许旸, 高友智, 韦良晓, 蔡俊豪, 倪梓洁, 陈新才. 热处理对钛合金Ti84Al11FeMo4组织和性能的影响[J]. 钢铁钒钛, 2022, 43(6): 66-70. doi: 10.7513/j.issn.1004-7638.2022.06.010
Zhang Xuefeng, Chen Min, Liu Xuyang, Gao Youzhi, Wei Liangxiao, Cai Junhao, Ni Zijie, Chen Xincai. Effect of heat treatment on microstructure and properties of Ti84Al11FeMo4 titanium alloy[J]. IRON STEEL VANADIUM TITANIUM, 2022, 43(6): 66-70. doi: 10.7513/j.issn.1004-7638.2022.06.010
Citation: Zhang Xuefeng, Chen Min, Liu Xuyang, Gao Youzhi, Wei Liangxiao, Cai Junhao, Ni Zijie, Chen Xincai. Effect of heat treatment on microstructure and properties of Ti84Al11FeMo4 titanium alloy[J]. IRON STEEL VANADIUM TITANIUM, 2022, 43(6): 66-70. doi: 10.7513/j.issn.1004-7638.2022.06.010

热处理对钛合金Ti84Al11FeMo4组织和性能的影响

doi: 10.7513/j.issn.1004-7638.2022.06.010
基金项目: 四川省重点研发项目(2020 YFG0423, 2022 YFG0286)。
详细信息
    作者简介:

    张雪峰,1965年出生,男,四川仁寿人,教授,长期从事钒钛材料制备方面等基础研究工作,E-mail:532256335@qq.com

    通讯作者:

    刘许旸,1988年出生,女,副教授,主要从事钒钛材料制备及性能表征等相关研究工作,E-mail:liuxuyang@cqu.edu.cn

  • 中图分类号: TF823

Effect of heat treatment on microstructure and properties of Ti84Al11FeMo4 titanium alloy

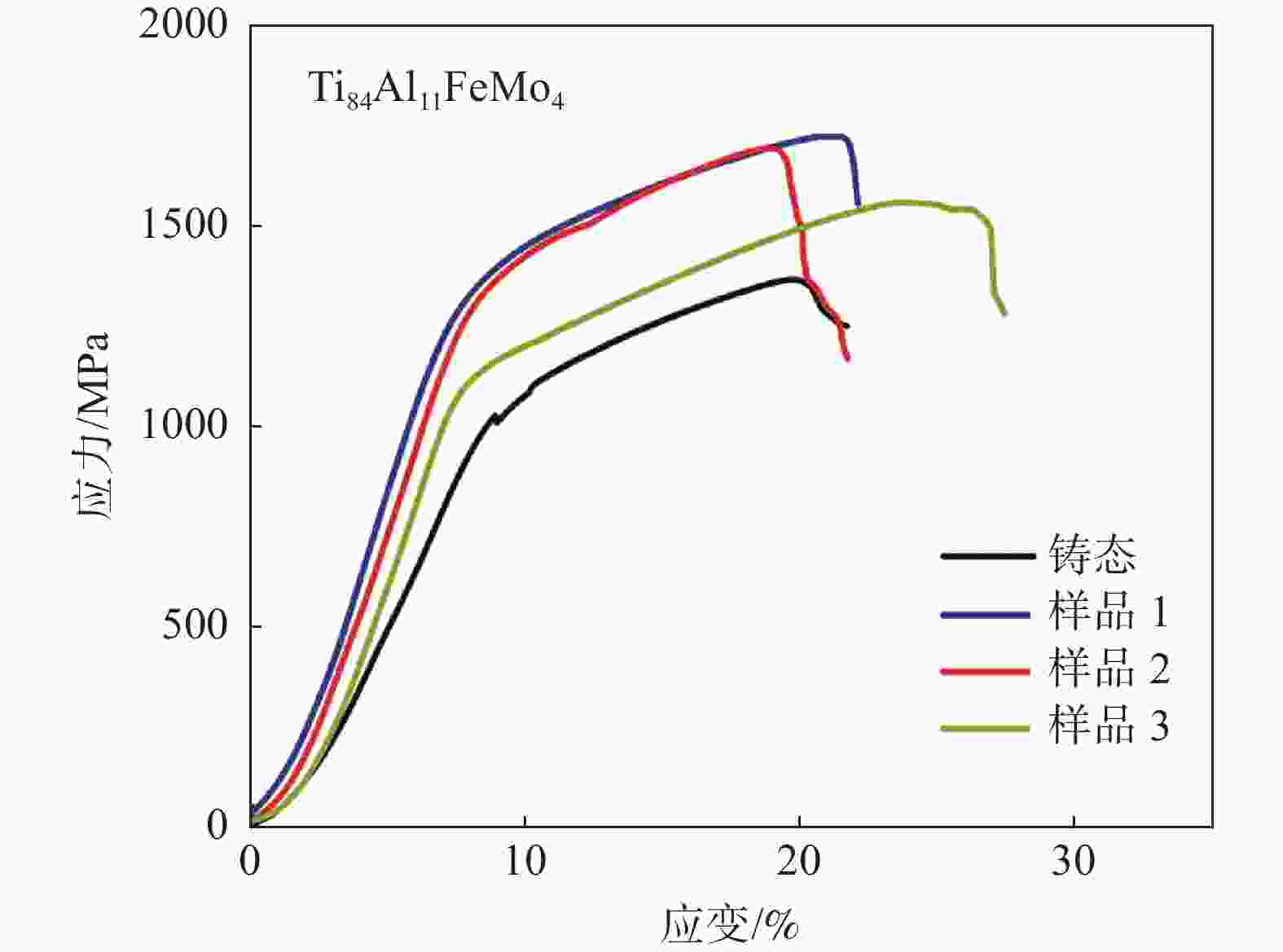
  • 摘要: 通过d电子理论设计出新型两相钛合金Ti84Al11FeMo4,分析了物相组成随温度的变化关系。结合热力学计算结果,分别研究了700、770 ℃以及850 ℃不同时效温度下钛合金的微观组织与力学性能的演化关系。结果表明,随着时效处理温度的提高,Ti84Al11FeMo4钛合金微观组织中β相的含量逐渐增多。当时效温度增加到850 ℃时,β析出相的含量最多,且在粗β相间分布着大量细小尺寸的β相。Ti84Al11FeMo4钛合金经不同时效温度处理后表现出不同的力学性能,在700 ℃和770 ℃下时效处理后可显著提高钛合金的压缩强度,而在850 ℃下时效后可以实现钛合金的强度和塑性的同步提升。
  • 图  1  Ti84Al11FeMo4合金的热力学计算相图

    Figure  1.  Calculated thermodynamic phase diagram of Ti84Al11FeMo4 alloy

    图  2  Ti84Al11FeMo4合金在不同时效温度下的微观形貌

    (a) 铸态;(b)样品1; (c) 样品2 ; (d) 样品3

    Figure  2.  Micromorphology of Ti84Al11FeMo4 alloy obtained at different aging temperatures

    图  3  Ti84Al11FeMo4合金中合金元素在两相中的分布情况

    Figure  3.  Distribution of alloying elements in two phases in Ti84Al11FeMo4 alloy

    图  4  Ti84Al11FeMo4合金在不同时效温度下的应力应变曲线

    Figure  4.  Stress-strain curves of Ti84Al11FeMo4 alloy obtained at different aging temperatures

    图  5  Ti84Al11FeMo4合金在不同时效温度下的断口形貌

    (a) 铸态;(b)样品1;(c) 样品2;(d) 样品3

    Figure  5.  Fracture morphologies of Ti84Al11FeMo4 alloy obtained at different aging temperatures

    表  1  Ti中不同元素Bo、Md参数值

    Table  1.   Bo and Md parameter values of different elements in Ti alloy

    元素BoMd
    Ti3.5132.447
    Fe3.4280.969
    Al3.2972.2
    Mo3.7591.961
    下载: 导出CSV

    表  2  热处理制度及热力学理论物相组成

    Table  2.   Heat treatment system and thermodynamic theory phase composition

    序号固溶温度/℃时效温度/℃物相组成/%
    α-Tiβ-Ti
    样品1950+WQ700+WQ65
    35
    样品2950+WQ770+WQ50
    50
    样品3950+WQ850+WQ20
    80
    注:WQ表示水冷。
    下载: 导出CSV

    表  3  不同时效温度下Ti84Al11FeMo4合金压缩强度和断裂塑性

    Table  3.   Compressive strength and fracture ductility of Ti84Al11FeMo4 alloy obtained at different aging temperatures

    样品压缩强度/MPa断裂塑性/%
    铸态136620
    样品1171222
    样品2169518.9
    样品3155824
    下载: 导出CSV
  • [1] Oh J M, Park C H, Yeom J T, et al. High strength and ductility in low-cost Ti-Al-Fe-Mn alloy exhibiting transformation-induced plasticity[J]. Materials Science and Engineering:A, 2020,772:138813. doi: 10.1016/j.msea.2019.138813
    [2] Zhu W, Lei J, Tan C, et al. A novel high-strength β-Ti alloy with hierarchical distribution of α-phase: The superior combination of strength and ductility[J]. Materials & Design, 2019,168:107640.
    [3] Das J, Gogia A K, Satyanarayana D V V. Effect of iron and nickel impurities on creep and tensile behaviour of Ti-24Al-20Nb-0.5Mo alloy[J]. Materials Science and Engineering:A, 2008,496(1-2):1−8. doi: 10.1016/j.msea.2008.07.014
    [4] Fan J, Li J, Zhang Y, et al. Formation and crystallography of nano/ultrafine-trimorphic structure in metastable β titanium alloy Ti-5Al-5Mo-5V-3Cr-0.5Fe processed by dynamic deformation at low temperature[J]. Materials Characterization, 2017,130:149−155. doi: 10.1016/j.matchar.2017.06.005
    [5] Fan J, Kou H, Zhang Y, et al. Formation of slip bands and microstructure evolution of Ti-5Al-5Mo-5V-3Cr-0.5Fe alloy during warm deformation process[J]. Journal of Alloys and Compounds, 2019,770:183−193. doi: 10.1016/j.jallcom.2018.08.097
    [6] Wang W L, Wang X L, Mei W, et al. Role of grain size in tensile behavior in twinning-induced plasticity β Ti-20V-2Nb-2Zr alloy[J]. Materials Characterization, 2016,120:263−267. doi: 10.1016/j.matchar.2016.09.016
    [7] Sun F, Zhang J Y, Marteleur M, et al. Investigation of early stage deformation mechanisms in a metastable β titanium alloy showing combined twinning-induced plasticity and transformation-induced plasticity effects[J]. Acta Materialia, 2013,61(17):6406−6417. doi: 10.1016/j.actamat.2013.07.019
    [8] Zafari A, Xia K. Stress induced martensitic transformation in metastable β Ti-5Al-5Mo-5V-3Cr alloy: Triggering stress and interaction with deformation bands[J]. Materials Science and Engineering:A, 2018,724:75−79. doi: 10.1016/j.msea.2018.03.070
    [9] Dong R, Li J, Kou H, et al. Precipitation behavior of α phase during aging treatment in a β-quenched Ti-7333[J]. Materials Characterization, 2018,140:275−280. doi: 10.1016/j.matchar.2018.04.008
    [10] Xue Q, Ma Y J, Lei J F, et al. Mechanical properties and deformation mechanisms of Ti-3Al-5Mo-4.5V alloy with varied β phase stability[J]. Journal of Materials Science & Technology, 2018,34(12):2507−2514.
    [11] Ren L, Xiao W, Chang H, et al. Microstructural tailoring and mechanical properties of a multi-alloyed near β titanium alloy Ti-5321 with various heat treatment[J]. Materials Science and Engineering:A, 2018,711:553−561. doi: 10.1016/j.msea.2017.11.029
    [12] Šmilauerová J, Janeček M, Harcuba P, et al. Ageing response of sub-transus heat treated Ti-6.8Mo-4.5Fe-1.5Al alloy[J]. Journal of Alloys and Compounds, 2017,724:373−380. doi: 10.1016/j.jallcom.2017.07.036
    [13] Kim Y K, Park S H, Yu J H, et al. Improvement in the high-temperature creep properties via heat treatment of Ti-6Al-4V alloy manufactured by selective laser melting[J]. Materials ence & Engineering A, 2018,715:33−40.
    [14] Lee K H, Yang S Y, Yang J G. Optimization of heat-treatment parameters in hardening of titanium alloy Ti-6Al-4V by using the Taguchi method[J]. International Journal of Advanced Manufacturing Technology, 2017,90:753−761. doi: 10.1007/s00170-016-9433-3
    [15] Najafizadeh M, Bahadoran A, Bozorg M, et al. Microstructures and mechanical properties of high strength Ti-XAl-2Fe-3Cu alloys fabricated by powder compact extrusion[J]. Journal of Alloys and Compounds, 2021,(1):161136.
    [16] Sui S, Chew Y, Hao Z, et al. Effect of cyclic heat treatment on the microstructure and mechanical properties of laser aided additive manufacturing Ti-6Al-2Sn-4Zr-2Mo alloy[J]. Advanced Powder Materials, 2022,1:100002. doi: 10.1016/j.apmate.2021.09.002
    [17] Li D, Hui S X, Ye W J, et al. Microstructure and mechanical properties of a new high-strength and high-toughness titanium alloy[J]. Rare Metals, 2016:1−7. doi: 10.1007/s12598-016-0722-7
    [18] Li C L, Hong J K, Narayana P L, et al. Realizing superior ductility of selective laser melted Ti-6Al-4V through a multi-step heat treatment[J]. Materials Science and Engineering A, 2020,799:140367.
    [19] Yumak N, Aslanta K. Effect of heat treatment procedure on mechanical properties of Ti-15V-3Al-3Sn-3Cr metastable β titanium alloy[J]. Journal of Materials Engineering and Performance, 2021,30(2):1066−1074. doi: 10.1007/s11665-020-05445-x
    [20] Kurdi A, Basak A K. Micro-mechanical behaviour of selective laser melted Ti6Al4V under compression[J]. Materials Science & Engineering A, 2021,826:141975.
    [21] Elkhateeb M G, Shin Y C. Analysis of the effects of microstructure heterogeneity on themechanical behavior of additively manufactured Ti6Al4V using mechanics of structure genome[J]. Materials and Design, 2021,204:109643. doi: 10.1016/j.matdes.2021.109643
    [22] Yuan B G, Du J F, Zhang X X, et al. Microstructures and room-temperature compressive properties of Ti6Al4V alloy processed by continuous multistep hydrogenation treatment[J]. International Journal of Hydrogen Energy, 2020,45(46):25567−25579. doi: 10.1016/j.ijhydene.2020.06.265
    [23] Zhao Y Q, Zhou L. Current research situation of titanium alloys in China[J]. Materials Research and Application, 2005,15(S01):82−91.
    [24] Zhang X, Liu H Y, Che C, et al. Development status of low cost titanium alloy processing technology[J]. China Foundry, 2021,70(10):1141−1148.
    [25] Kong J T, Hu R, Kou H C, et al. Alloy design of low-density Nb-Ti superalloy based on d-electrons theory[J]. Rare Metal Materials and Engineering, 2015,44(5):1119−1123.
  • 加载中
图(5) / 表(3)
计量
  • 文章访问数:  727
  • HTML全文浏览量:  300
  • PDF下载量:  34
  • 被引次数: 0
出版历程
  • 收稿日期:  2022-06-21
  • 刊出日期:  2023-01-13

目录

    /

    返回文章
    返回