中文核心期刊

SCOPUS 数据库收录期刊

中国科技核心期刊

美国《化学文摘》来源期刊

中国优秀冶金期刊

美国EBSCO数据库收录期刊

RCCSE中国核心学术期刊

美国《剑桥科学文摘》来源期刊

中国应用核心期刊(CACJ)

美国《乌利希期刊指南》收录期刊

中国学术期刊综合评价统计源刊

俄罗斯《文摘杂志》来源期刊

优秀中文科技期刊(西牛计划)

日本《科学技术文献数据库》(JST)收录刊

留言板

尊敬的读者、作者、审稿人, 关于本刊的投稿、审稿、编辑和出版的任何问题, 您可以本页添加留言。我们将尽快给您答复。谢谢您的支持!

姓名
邮箱
手机号码
标题
留言内容
验证码

Mg-Al-Ti系氧化物冶金工艺夹杂物控制的热力学分析

郭志红 史赛超 王旗 马国金 王根矶 朱立光

郭志红, 史赛超, 王旗, 马国金, 王根矶, 朱立光. Mg-Al-Ti系氧化物冶金工艺夹杂物控制的热力学分析[J]. 钢铁钒钛, 2022, 43(6): 126-137. doi: 10.7513/j.issn.1004-7638.2022.06.019
引用本文: 郭志红, 史赛超, 王旗, 马国金, 王根矶, 朱立光. Mg-Al-Ti系氧化物冶金工艺夹杂物控制的热力学分析[J]. 钢铁钒钛, 2022, 43(6): 126-137. doi: 10.7513/j.issn.1004-7638.2022.06.019
Guo Zhihong, Shi Saichao, Wang Qi, Ma Guojin, Wang Genji, Zhu Liguang. Thermodynamic analysis of inclusion control in Mg-Al-Ti system oxide metallurgy technology[J]. IRON STEEL VANADIUM TITANIUM, 2022, 43(6): 126-137. doi: 10.7513/j.issn.1004-7638.2022.06.019
Citation: Guo Zhihong, Shi Saichao, Wang Qi, Ma Guojin, Wang Genji, Zhu Liguang. Thermodynamic analysis of inclusion control in Mg-Al-Ti system oxide metallurgy technology[J]. IRON STEEL VANADIUM TITANIUM, 2022, 43(6): 126-137. doi: 10.7513/j.issn.1004-7638.2022.06.019

Mg-Al-Ti系氧化物冶金工艺夹杂物控制的热力学分析

doi: 10.7513/j.issn.1004-7638.2022.06.019
基金项目: 国家区域联合基金重点项目(U21A20114);河北省重点研发项目(20311003D);河北省自然科学基金(E2021208017,E2019208308);河北省教育厅科研计划(QN2019029);高端钢铁冶金联合基金项目(E2021208006)。
详细信息
    作者简介:

    郭志红,1980年出生,女,河北邢台人,副教授,博士,研究方向为氧化物冶金钢中夹杂物控制,E-mail:guozhihong191@163.com

    通讯作者:

    王旗,1991年出生,男,河北邢台人,讲师,博士,研究方向为氧化物冶金钢中夹杂物控制,E-mail:xtwq1991@163.com

  • 中图分类号: TF76,TG142.33

Thermodynamic analysis of inclusion control in Mg-Al-Ti system oxide metallurgy technology

  • 摘要: 开展低铝含量海工钢氧化物冶金研究,扩大海工钢成分调整范围,促进诱导针状铁素体形核的有效夹杂物生成,对改善大线能量焊接热影响区韧性具有重要应用潜力。以EH420钢为研究对象,利用FactSage热力学软件,进行钢液-夹杂物平衡热力学计算,系统分析了Mg-Al-Ti脱氧体系与氧含量耦合变化对钢中夹杂物析出类型、析出条件、析出量的影响,并设计试验进行验证,为实际大线能量焊接用EH420海工钢的目标夹杂物控制提供理论指导。结果表明,控制钢中Mg、Al、Ti含量分别在0.0020%水平、0.0080%~0.010%、0.010%~0.020%时,当T.O.含量在0.0030%水平,析出Mg-Al-Ti-O复合夹杂物+MgO夹杂物;当T.O.含量在0.0060%水平时,单独析出Mg-Al-Ti-O复合夹杂物。
  • 图  1  EH420钢Si-Mn-O夹杂物优势区图

    Figure  1.  Predominant phase diagrams of Si-Mn-O inclusion in EH420 steel

    (a) T.Al.=0;(b) T.Al.=0.005%;(c) T.Al.=0.01%;(d) T.Al.=0.03%

    图  2  EH420钢Al-Si-O及Al-Mn-O夹杂物优势区图

    Figure  2.  Predominant phase diagrams of Al-Si-O and Al-Mn-O inclusions in EH420 steel

    (a)T.Mn.=1.6 %;(b)T.Si.=0.2 %

    图  3  EH420钢Mg-Al-O夹杂物优势区图

    Figure  3.  Predominant phase diagrams of Al-Mn-O inclusion in EH420 steel

    (a) T.Ti.=0;(b) T.Ti.=0.01%;(c) T.Ti.=0.02 %;(d) T.Ti.=0.03 %

    图  4  EH420钢Al-Ti-O夹杂物优势区图

    Figure  4.  Predominant phase diagrams of Al-Ti-O inclusion in EH420 steel

    (a) T.Mg.=0;(b) T.Mg.=0.001%

    图  5  EH420钢不同氧含量条件下的Al-Ti夹杂物相图

    Figure  5.  Phase diagrams of Al-Ti inclusions under different oxygen contents in EH420 steel

    (a) T.O.=0.010 %;(b) T.O.=0.0060 %;(c) T.O.=0.0030 %;(d) T.O.=0.0015 %

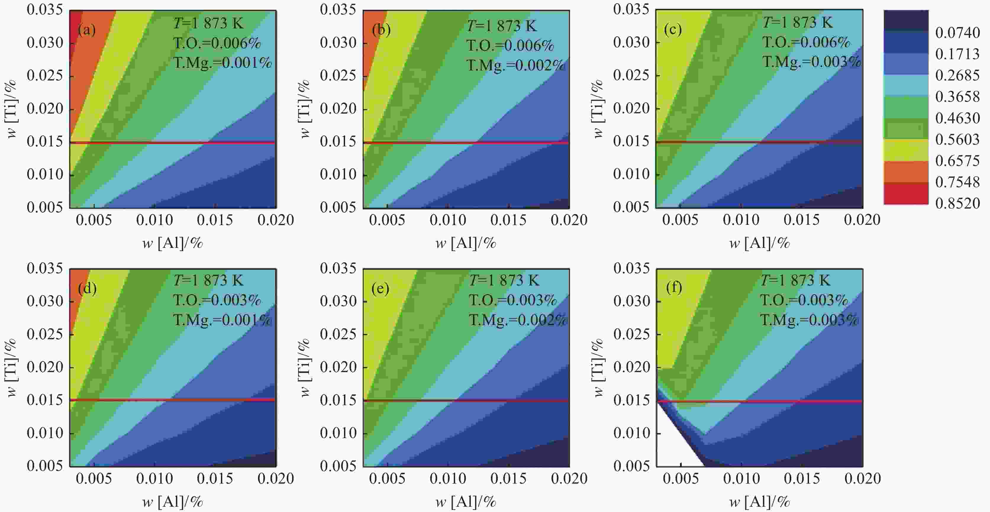
    图  6  EH420钢中随Mg、Al、Ti变化的平衡夹杂物演变

    Figure  6.  Evolution of equilibrium inclusions with variation of Mg, Al and Ti in EH420 steel

    (a) T.O.=0.006%, T.Ti.=0.015%;(b) T.O.=0.003%, T.Ti.=0.015%; (c) T.O.=0.006 %, T.Mg.=0.002 %;(d) T.O.=0.003 %, T.Mg.=0.002%

    图  7  EH420钢不同条件下Mg-Al-Ti-O复合夹杂物的TiOx比例

    Figure  7.  TiOx proportion of Mg-Al-Ti-O composite inclusions in EH420 steel under different conditions

    (a) T.O.=0.006 %, T.Mg.=0.001 %;(b) T.O.=0.006 %, T.Mg.=0.002%;(c) T.O.=0.006 %, T.Mg.=0.003 %;(d) T.O.=0.003 %, T.Mg.=0.001 %;(e) T.O.=0.003 %, T.Mg.=0.002 %; (f) T.O.=0.003 %, T.Mg.=0.003 %

    图  8  1#试验夹杂物演变

    Figure  8.  Inclusion composition and typical inclusions of 1# in each stage

    图  9  2#试验夹杂物演变

    Figure  9.  Inclusion composition and typical inclusions of 2# in each stage

    图  10  3#试验夹杂物演变

    Figure  10.  Inclusion composition and typical inclusions of 3# l in each stage

    表  1  EH420海工钢主要化学成分

    Table  1.   Main chemical composition of EH420 marine steel %

    CSiMnSPNiCuMoNbVN
    0.0500.201.600.00500.0100.300.200.0700.0100.0500.0030
    下载: 导出CSV

    表  2  各组试验炉冷铸锭合金成分和T.O.含量

    Table  2.   Chemical compositions and T.O. contents of cold cast ingot in each test furnace %

    编号CSiMnNiCuNbVAlMgTiT.O.
    1#0.0200.0150.880.350.210.0040.0280.00360.0040.0040.0110
    2#0.0200.0941.560.160.210.0110.0470.00850.0030.0080.0037
    3#0.0200.3201.560.520.210.0140.0460.00900.0030.0150.0024
    下载: 导出CSV
  • [1] Wu Xu, Huang Xi, Wang Zemin, et al. Effect of microwave quenching on gradient structure and properties of low-alloyed ship plate steel[J]. Heat Treatment of Metals, 2021,46(7):144−148. (吴旭, 黄曦, 王泽民, 等. 微波淬火对低合金船板钢梯度组织结构及性能的影响[J]. 金属热处理, 2021,46(7):144−148. doi: 10.13251/j.issn.0254-6051.2021.07.027
    [2] Qin Shuyang, Liu Zengxun, Wang Shuoming, et al. Analysis of IAF nucleation and grain refinement behavior in EH460 steel[J]. Iron Steel Vanadium Titanium, 2018,39(1):143−147. (秦书洋, 刘增勋, 王硕明, 等. EH460钢中IAF形核及其细化晶粒行为分析[J]. 钢铁钒钛, 2018,39(1):143−147. doi: 10.7513/j.issn.1004-7638.2018.01.025
    [3] Xiao Na, Xu Xiaoning, Wang Yimin, et al. Effect of tempering temperature on microstructure, strength and toughness of EH460 grade medium and heavy ship plate steel[J]. Heat Treatment of Metals, 2021,46(5):81−86. (肖娜, 徐晓宁, 王益民, 等. 回火温度对EH460级船用中厚钢板组织与强韧性的影响[J]. 金属热处理, 2021,46(5):81−86. doi: 10.13251/j.issn.0254-6051.2021.05.013
    [4] Xi Xiaojun, Li Shaoying, Yang Shufeng, et al. Effect of adding yttrium on precipitation behaviors of inclusions in E690 ultra high strength offshore platform steel[J]. High Temperature Materials and Processes, 2020,39(1):510−519. doi: 10.1515/htmp-2020-0089
    [5] Wang Dong, Zhang Peng, Peng Xingdong, et al. Comparison of microstructure and mechanical properties of high strength and toughness ship plate steel[J]. Materials, 2021,14(19):5886−5886. doi: 10.3390/ma14195886
    [6] Shi Zhongran, Zhao Qingkai, Liu Denghui, et al. Effect of heat welding on microstructure and mechanical property of welded joint in V-N-Ti and Nb-Ti ship buliding steel[J]. China Metallurgy, 2021,31(1):25−30. (师仲然, 赵庆凯, 刘登辉, 等. 线能量对V-N-Ti和Nb-Ti船板焊接接头组织性能的影响[J]. 中国冶金, 2021,31(1):25−30. doi: 10.13228/j.boyuan.issn1006-9356.20200323
    [7] Wu Xiaoyan, Xiao Pengcheng, Wu Shujing, et al. Effect of molybdenum on the impact toughness of heat-affected zone in high-strength low-alloy steel[J]. Materials, 2021,14(6):1430−1430. doi: 10.3390/ma14061430
    [8] Li Yuqian, Du Qiming, Mei Donggui, et al. Study on production technology and high heat input welding property of Q345 grade Ti-oxide metallurgy steel[J]. Iron Steel Vanadium Titanium, 2018,39(6):155−161. (李玉谦, 杜琦铭, 梅东贵, 等. Q345级钛氧化物冶金钢生产工艺及大线能量焊接性能研究[J]. 钢铁钒钛, 2018,39(6):155−161. doi: 10.7513/j.issn.1004-7638.2018.06.025
    [9] Xie Xu, Zhao Tan, Zhao Heming, et al. Heterogeneous microstructure-induced mechanical responses in various sub-zones of EH420 shipbuilding steel welded joint under high heat input electro-gas welding[J]. Acta Metallurgica Sinica(English Letters), 2021,34(10):1427−1433. doi: 10.1007/s40195-021-01245-x
    [10] Yuan Hang, Yang Shufeng, Li Jingshe, et al. Optimising inclusion and toughening the heat-affected zone of ship plate steel with MgO nanoparticles[J]. Materials Science and Technology, 2020,36(14):1574−1586. doi: 10.1080/02670836.2020.1808387
    [11] Xiao Aida, Zheng Qing, Liang Liang, et al. Effect of Ti treatment process on inclusions in steel[J]. Iron Steel Vanadium Titanium, 2022,43(1):158−164. (肖爱达, 郑庆, 梁亮. Ti处理工艺对钢中夹杂物的影响[J]. 钢铁钒钛, 2022,43(1):158−164. doi: 10.7513/j.issn.1004-7638.2022.01.024
    [12] Wu Xiaoyan, Wu Shujing, Yan Chunliang, et al. Investigation of inclusion characteristics and intragranular acicular ferrite nucleation in Mg-containing low-carbon steel[J]. Metallurgical and Materials Transactions, 2021,52(2):1012−1022. doi: 10.1007/s11663-021-02073-1
    [13] Lei Xuanwei, Zhou Shuanbao, Huang Jihua. Current status and development trend on weldability of ultra-high strength hull structure steel[J]. Chinese Journal of Materials Research, 2020,34(1):1−15. (雷玄威, 周栓宝, 黄继华. 超高强度船体结构钢焊接性的研究现状和趋势[J]. 材料研究学报, 2020,34(1):1−15. doi: 10.11901/1005.3093.2019.371
    [14] Lou Haonan, Wang Chao, Wang Bingxing, et al. Evolution of inclusions and associated microstructure in Ti-Mg oxide metallurgy steel[J]. ISIJ International, 2019,59(2):312−318. doi: 10.2355/isijinternational.ISIJINT-2018-445
    [15] Xie Yumin, Song Mingming, Men Chaoqi, et al. Influence of Ca treatment on application of rare earth in HAZ during high heat input welding progress[J]. Iron and Steel, 2021,56(3):146−153,163. (谢毓敏, 宋明明, 门超奇, 等. 钙处理对稀土在大线能量焊接HAZ中作用的影响[J]. 钢铁, 2021,56(3):146−153,163. doi: 10.13228/j.boyuan.issn0449-749x.20200422
    [16] Sun Ligen, Li Huirong, Zhu Liguang, et al. Research on the evolution mechanism of pinned particles in welding HAZ of Mg treated shipbuilding steel[J]. Materials & Design, 2020,192(prepublish):108670−108670.
    [17] Zhu Liguang, Sun Ligen. Application and prospect for shipbuilding steel development with oxide metallurgy technique[J]. Steelmaking, 2017,33(5):1−11. (朱立光, 孙立根. 氧化物冶金技术及其在船体钢开发中的应用及展望[J]. 炼钢, 2017,33(5):1−11.
    [18] Li Yandong, Xing Weiwei, Li Xiaobing, et al. Effect of Mg addition on the microstructure and properties of a heat-affected zone in submerged arc welding of an Al-killed low carbon steel[J]. Materials, 2021,14(9):2445−2445. doi: 10.3390/ma14092445
    [19] 王超. 氧化物冶金型大线能量焊接用钢组织性能调控与生产工艺研究[D]. 沈阳: 东北大学, 2017.

    Wang Chao. Microstructure and properties control of oxide metallurgical steels for high heat input welding and its production technology research[D]. Shengyang: Northeastern University, 2017.
    [20] Song Mingming, Song Bo, Hu Chunlin, et al. Effect of Ti-Mg complex deoxidation on the microstructure and impact properties of HAZ in steel[J]. Chinese Journal of Engineering, 2015,37(7):883−888. (宋明明, 宋波, 胡春林, 等. Ti-Mg复合脱氧对钢热影响区组织和冲击性能的影响[J]. 工程科学学报, 2015,37(7):883−888.
    [21] Xu Chen, Kong Hui, Zhang Mingya, et al. Relationship between MnS precipitation and respective effects of Ti-Mg bearing inclusions on the induction of intergranular acicular ferrite[J]. Materials Testing, 2019,61(2):164−168. doi: 10.3139/120.111301
    [22] Hans Kim, Chulho Chang, Haegeon Lee. Evolution of inclusions and resultant microstructural change with Mg addition in Mn/Si/Ti deoxidized Steels[J]. Scripta Materialia, 2005,53(11):1253−1258. doi: 10.1016/j.scriptamat.2005.08.001
    [23] Sangchae Park, Inho Jung, Kyungshik H, et al. Effect of Al on the evolution of non-metallic inclusions in the Mn-Si-Ti-Mg deoxidized steel during solidification: experiments and thermodynamic calculations[J]. ISIJ International, 2004,44(6):1016−1023. doi: 10.2355/isijinternational.44.1016
    [24] Song Yu, Li Guangqiang, Yang Fei. Influence of Al-Ti-Mg complex deoxidation on the inclusions and microstructure of steel[J]. Journal of University of Science and Technology Beijing, 2011,33(10):1214−1219. (宋宇, 李光强, 杨飞. Al-Ti-Mg复合脱氧对钢中夹杂物及组织的影响[J]. 北京科技大学学报, 2011,33(10):1214−1219. doi: 10.13374/j.issn1001-053x.2011.10.017
    [25] Wang Xin, Wang Chao, Kang Jian, et al. Relationship between impact toughness and microstructure for the as-rolled and simulated HAZ of low-carbon steel containing Ti-Ca oxide particles[J]. Metallurgical and Materials Transactions, 2020,51(6):2927−2938. doi: 10.1007/s11661-020-05753-w
    [26] Lou Haonan, Wang Chao, Wang Bingxing, et al. Effect of Ti–Mg–Ca treatment on properties of heat-affected zone after high heat input welding[J]. Journal of Iron and Steel Research International, 2019,26(5):501−511. doi: 10.1007/s42243-018-0091-6
    [27] Liu Hongbo, Li Jianxin, Lin Zhangguo, et al. Production technology and welding properties of high heat input welding EH420 offshore steel[J]. Chinese Journal of Engineering, 2020,42(11):1473−1480. (刘洪波, 李建新, 吝章国, 等. 大线能量焊接用EH420海工钢生产工艺及焊接性能[J]. 工程科学学报, 2020,42(11):1473−1480.
    [28] Shim J H, Byun J S, Cho Y W, et al. Mn absorption characteristics of Ti2O3 inclusions in low carbon steels[J]. Scripta Materialia, 2001,44(1):49−54. doi: 10.1016/S1359-6462(00)00560-1
    [29] Wu Zhenhua, Zheng Wan, Li Guangqiang, et al. Effect of inclusions' behavior on the microstructure in Al-Ti deoxidized and magnesium-treated steel with different aluminum contents[J]. Metallurgical and Materials Transactions, 2015,46(3):1226−1241. doi: 10.1007/s11663-015-0311-4
    [30] Liu Yu, Wan Xiangliang, Li Guangqiang, et al. Grain refinement in coarse-grained heat-affected zone of Al–Ti–Mg complex deoxidised steel[J]. Science and Technology of Welding and Joining, 2019,24(1):43−51. doi: 10.1080/13621718.2018.1476804
    [31] Ji Meifeng, Hu Feng, Zhang Liqin, et al. Effect of inclusion on toughness for low alloy high srength steel CGHAZ[J]. Journal of Iron and Steel Research, 2021,33(12):1278−1288. (吉梅锋, 胡锋, 张莉芹, 等. 含Mg夹杂物对低合金高强度钢CGHAZ韧性的影响[J]. 钢铁研究学报, 2021,33(12):1278−1288. doi: 10.13228/j.boyuan.issn1001-0963.20200262
  • 加载中
图(10) / 表(2)
计量
  • 文章访问数:  787
  • HTML全文浏览量:  275
  • PDF下载量:  53
  • 被引次数: 0
出版历程
  • 收稿日期:  2022-03-31
  • 刊出日期:  2023-01-13

目录

    /

    返回文章
    返回