中文核心期刊

SCOPUS 数据库收录期刊

中国科技核心期刊

美国《化学文摘》来源期刊

中国优秀冶金期刊

美国EBSCO数据库收录期刊

RCCSE中国核心学术期刊

美国《剑桥科学文摘》来源期刊

中国应用核心期刊(CACJ)

美国《乌利希期刊指南》收录期刊

中国学术期刊综合评价统计源刊

俄罗斯《文摘杂志》来源期刊

优秀中文科技期刊(西牛计划)

日本《科学技术文献数据库》(JST)收录刊

留言板

尊敬的读者、作者、审稿人, 关于本刊的投稿、审稿、编辑和出版的任何问题, 您可以本页添加留言。我们将尽快给您答复。谢谢您的支持!

姓名
邮箱
手机号码
标题
留言内容
验证码

V2O5/石墨烯纳米复合材料的合成及储钠性能研究

郑浩 彭毅 王仕伟 孟伟巍 杜光超

郑浩, 彭毅, 王仕伟, 孟伟巍, 杜光超. V2O5/石墨烯纳米复合材料的合成及储钠性能研究[J]. 钢铁钒钛, 2023, 44(1): 32-37. doi: 10.7513/j.issn.1004-7638.2023.01.007
引用本文: 郑浩, 彭毅, 王仕伟, 孟伟巍, 杜光超. V2O5/石墨烯纳米复合材料的合成及储钠性能研究[J]. 钢铁钒钛, 2023, 44(1): 32-37. doi: 10.7513/j.issn.1004-7638.2023.01.007
Zheng Hao, Peng Yi, Wang Shiwei, Meng Weiwei, Du Guangchao. Synthesis and sodium storage properties of V2O5/graphene nanocomposites[J]. IRON STEEL VANADIUM TITANIUM, 2023, 44(1): 32-37. doi: 10.7513/j.issn.1004-7638.2023.01.007
Citation: Zheng Hao, Peng Yi, Wang Shiwei, Meng Weiwei, Du Guangchao. Synthesis and sodium storage properties of V2O5/graphene nanocomposites[J]. IRON STEEL VANADIUM TITANIUM, 2023, 44(1): 32-37. doi: 10.7513/j.issn.1004-7638.2023.01.007

V2O5/石墨烯纳米复合材料的合成及储钠性能研究

doi: 10.7513/j.issn.1004-7638.2023.01.007
详细信息
    作者简介:

    郑浩,1986年出生,男,重庆梁平人,博士,研究员,主要从事纳米功能材料开发等研究,E-mail:zhengaho1986@126.com

  • 中图分类号: TF841.3,TM911

Synthesis and sodium storage properties of V2O5/graphene nanocomposites

  • 摘要: 五氧化二钒(V2O5)因其具有层状结构、高容量、低成本、资源丰富、高的Na+离子电导率、Na+嵌入/脱嵌时体积变化小、中等电位平台等优点而受到广泛关注。以V2O5和草酸为原料,采用水热法成功制备了V2O5/石墨烯纳米复合材料(V2O5/rGO)。结果表明:石墨烯与V2O5纳米线相互紧密交织,形成连续的V2O5-石墨烯网络结构;V2O5-石墨烯网络结构提供了快速的电子转移速度,扩展了电极材料与电解液的有效接触面积,提高了材料的导电性,缓冲了钠离子嵌入引起的体积变化,从而使V2O5/rGO纳米复合材料的储钠性能得到有效地改善(100 mA/g时,100次循环后,放电比容量为154 mAh/g)。
  • 图  1  (a) V2O5和V2O5/rGO样品的XRD谱图,(b)石墨烯和V2O5/rGO样品的拉曼谱图,(c) V2O5/rGO纳米复合材料、(d) V 2p、(e) O 1s和 (f) C1s的XPS谱图

    Figure  1.  (a) XRD patterns of the V2O5 and V2O5/rGO samples, (b) Raman spectra of the graphene and V2O5/rGO samples, XPS scan spectra of the V2O5/rGO sample (c) full scan spectra, (d) V 2p, (e) O 1s and (f) C1s

    图  2  (a, b) V2O5和(c, d) V2O5/rGO的SEM形貌,(e, f) V2O5/rGO的(HR-)TEM形貌

    Figure  2.  SEM images of the V2O5 (a, b) and V2O5/rGO (c, d) samples, (e, f) (HR-)TEM images of the V2O5/rGO sample

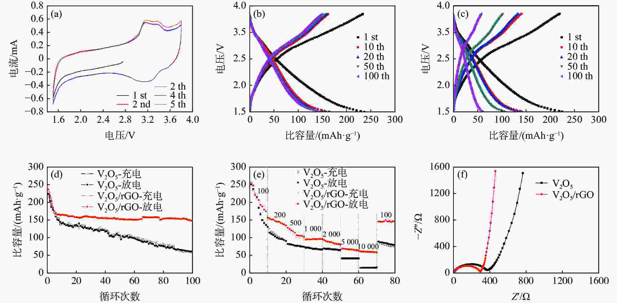
    图  3  (a) V2O5/rGO样品的循环伏安曲线,(b) V2O5样品的充放电曲线,(c)V2O5/rGO样品的充放电曲线,(d) V2O5和V2O5/rGO样品的循环性能,(e) V2O5和V2O5/rGO样品的倍率性能,(f) V2O5和V2O5/rGO样品的阻抗性能

    Figure  3.  (a) CV profiles of the V2O5 and V2O5/rGO samples, (b, c) Charge/discharge profiles of theV2O5 and V2O5/rGO samples, (d) Cycle performances of the V2O5 and V2O5/rGO samples, (e) Rate performance of the V2O5 and V2O5/rGO samples, (f) EIS of the V2O5 and V2O5/rGO samples

  • [1] Yabuuchi N, Kubota K, Dahbi M, et al. Research developments on sodium-ion batteries[J]. Chemical Reviews, 2014,114:11636−11682. doi: 10.1021/cr500192f
    [2] Zheng Hao, Chen Xiao, Yang Yun, et al. Self-assembled uniform double-shelled Co3V2O8 hollow nanospheres as anodes for high-performance Li-ion batteries[J]. Rare Metals, 2021,40:3485−3493. doi: 10.1007/s12598-021-01713-4
    [3] Cocciantelli J M, Gravereau P, Doumerc J P, et al. Study on the preparation and characterization of a new polymorph of V2O5[J]. Journal of Solid State Electrochemistry, 1991,93:497−502. doi: 10.1016/0022-4596(91)90323-A
    [4] Hadjean R B, Renard M S, Emery N, et al. The richness of V2O5 polymorphs as superior cathode materials for sodium insertion[J]. Electrochimica Acta, 2018,270:129−137. doi: 10.1016/j.electacta.2018.03.062
    [5] Zhu H L, Lee K T, Hitz G T, et al. Free-standing Na2/3Fe1/2Mn1/2O2@Graphene film for a sodium-ion battery cathode[J]. ACS Applied Materials Interfaces, 2014,6(6):4242−4247. doi: 10.1021/am405970s
    [6] Park Y U, Seo D H, Kwon H S, et al. A new high-energy cathode for a Na-ion battery with ultrahigh stability[J]. Journal of the American Chemical Society, 2013,135(37):13870−13878. doi: 10.1021/ja406016j
    [7] Su D, Zhao Y, Zhang R, et al. Dimension meditated optic and catalytic performance over vanadium pentoxides[J]. Applied Surface Science, 2016,389:112−117. doi: 10.1016/j.apsusc.2016.07.069
    [8] Park B, Oh S M, Jo Y K, et al. Efficient electrode material of restacked Na–V2O5–graphene nanocomposite for Na-ion batteries[J]. Materials Letters, 2016,178(1):79−82.
    [9] Horrocks G A, Likely M F, Velazquez J M, et al. Finite size effects on the structural progression induced by lithiation of V2O5: a combined diffraction and Raman spectroscopy study[J]. Journal of Materials Chemistry A, 2013,1(48):15265−15277. doi: 10.1039/c3ta13690f
    [10] Raju V, Rains J, Gates C, et al. Superior cathode of sodium-ion batteries: Orthorhombic V2O5 nanoparticles generated in nanoporous carbonby ambient hydrolysis deposition[J]. Nano Letter, 2014,14(7):4119−4124. doi: 10.1021/nl501692p
    [11] Zhao Z J, Li D L, Wang C Z, et al. Hierarchical V2O5 microspheres: A pseudocapacitive cathode material for enhanced sodium ion storage[J]. Journal of Alloys and Compounds, 2022,895:162617. doi: 10.1016/j.jallcom.2021.162617
    [12] Wei Q, Jiang Z, Tan S, et al. Lattice breathing inhibited layered vanadium oxide ultrathin nanobelts for enhanced sodium storage[J]. ACS Applied Materials Interfaces, 2015,7(33):18211−18217. doi: 10.1021/acsami.5b06154
    [13] Zhang X L, Liu X X, Yang C, et al. A V2O5-nanosheets-coated hard carbon fiber fabric as high performance anode for sodium ion battery[J]. Surface and Coatings Technology, 2019,358(25):661−666.
    [14] Ali G, Lee J H, Oh S H, et al. Investigation of the Na intercalation mechanism into nano-sized V2O5/C composite cathode material for Na-ion batteries[J]. ACS Applied Materials Interfaces, 2016,8(9):6032−6039. doi: 10.1021/acsami.5b11954
    [15] Wang L H, Wang Y L, Zhao Y J, et al. Freeze-drying method to synthesize V2O5/graphene composites toward enhanced sodium ion storage[J]. Ceramics International, 2018,44(18):23279−23283. doi: 10.1016/j.ceramint.2018.08.344
    [16] Nagaraju D H, Wang Q, Beaujuge P, et al. Two-dimensional hetero structures of V2O5 and reduced graphene oxide as electrodes for high energy density asymmetric super capacitors[J]. Journal of Materials Chemistry A, 2014,2:17146−17152. doi: 10.1039/C4TA03731F
    [17] Jing Y, Zhou Z, Cabrera C R, et al. Graphene, inorganic graphene analogs and their composites for lithium ion batteries[J]. Journal of Materials Chemistry A, 2014,2:12104−12122. doi: 10.1039/C4TA01033G
    [18] Allen M J, Tung V C, Kaner R B. Honeycomb carbon: A review of garphene[J]. Chemical Reviews, 2010,110:132−145. doi: 10.1021/cr900070d
    [19] Zheng H, Chen X, Li L, et al. Synthesis of NiS2/reduced graphene oxide nanocomposites as anodes materials for high-performance sodium and potassium ion batteries[J]. Materials Research Bulletin, 2021,142:111430. doi: 10.1016/j.materresbull.2021.111430
    [20] Ding C, Zhao Y, Yan D, et al. An insight into the convenience and efficiency of the freeze-drying route to construct 3D graphene-based hybrids for lithium-ion batteries[J]. Electrochimica Acta, 2016,221:124−132. doi: 10.1016/j.electacta.2016.10.054
  • 加载中
图(3)
计量
  • 文章访问数:  677
  • HTML全文浏览量:  241
  • PDF下载量:  60
  • 被引次数: 0
出版历程
  • 收稿日期:  2022-08-10
  • 刊出日期:  2023-02-28

目录

    /

    返回文章
    返回