中文核心期刊

SCOPUS 数据库收录期刊

中国科技核心期刊

美国《化学文摘》来源期刊

中国优秀冶金期刊

美国EBSCO数据库收录期刊

RCCSE中国核心学术期刊

美国《剑桥科学文摘》来源期刊

中国应用核心期刊(CACJ)

美国《乌利希期刊指南》收录期刊

中国学术期刊综合评价统计源刊

俄罗斯《文摘杂志》来源期刊

优秀中文科技期刊(西牛计划)

日本《科学技术文献数据库》(JST)收录刊

留言板

尊敬的读者、作者、审稿人, 关于本刊的投稿、审稿、编辑和出版的任何问题, 您可以本页添加留言。我们将尽快给您答复。谢谢您的支持!

姓名
邮箱
手机号码
标题
留言内容
验证码

Ti-Ni系钛合金箔材在退火过程中的微观组织演变

唐敏 邢远 王立亚 杨柳

唐敏, 邢远, 王立亚, 杨柳. Ti-Ni系钛合金箔材在退火过程中的微观组织演变[J]. 钢铁钒钛, 2023, 44(1): 56-63. doi: 10.7513/j.issn.1004-7638.2023.01.011
引用本文: 唐敏, 邢远, 王立亚, 杨柳. Ti-Ni系钛合金箔材在退火过程中的微观组织演变[J]. 钢铁钒钛, 2023, 44(1): 56-63. doi: 10.7513/j.issn.1004-7638.2023.01.011
Tang Min, Xing Yuan, Wang Liya, Yang Liu. Microstructure evolution of Ti-Ni series titanium alloy foil during annealing[J]. IRON STEEL VANADIUM TITANIUM, 2023, 44(1): 56-63. doi: 10.7513/j.issn.1004-7638.2023.01.011
Citation: Tang Min, Xing Yuan, Wang Liya, Yang Liu. Microstructure evolution of Ti-Ni series titanium alloy foil during annealing[J]. IRON STEEL VANADIUM TITANIUM, 2023, 44(1): 56-63. doi: 10.7513/j.issn.1004-7638.2023.01.011

Ti-Ni系钛合金箔材在退火过程中的微观组织演变

doi: 10.7513/j.issn.1004-7638.2023.01.011
基金项目: 国家重点研发计划资助(2020YFB1505900)。
详细信息
    作者简介:

    唐敏,1994年出生,女,四川江油人,硕士,中级工程师,从事金属材料微观组织的相关研究,E-mail:1240594460@qq.com

  • 中图分类号: TF823

Microstructure evolution of Ti-Ni series titanium alloy foil during annealing

  • 摘要: 对厚度为0.15 mm Ti-Ni系钛合金箔材进行不同条件下的退火处理,利用电子背散射衍射技术(EBSD)系统研究了该箔材在不同退火条件下的微观组织及织构演变。结果表明,Ti-Ni系钛合金箔材等温退火时,随着退火时间的延长,再结晶分数提高,形成等轴无畸变的再结晶组织,基面ND织构消失,双峰织构随退火时间的延长,由TD向ND方向靠近;等时退火时,退火温度为500 ℃时,已基本完成再结晶,随着退火温度的升高,再结晶晶粒长大。织构组分不随退火温度的升高而发生改变,织构强度随退火温度的升高而发生改变。
  • 图  1  0.15 mmTi-Ni系钛合金箔材初始组织

    Figure  1.  Initial microstructure of 0.15 mm Ti-Ni alloyed titanium foil

    图  2  等温退火过程中的(a)-(d)取向分布和(e)-(h)带衬度图

    Figure  2.  (a)-(d) Inverse pole figure map and (e)-(h) band contrast map of titanium foil obtained after isothermal annealing

    图  3  等温退火过程中的取向差角

    Figure  3.  The misorientation angle distribution of titanium foil obtained after isothermal annealing

    图  4  等温退火过程中的织构演变

    Figure  4.  Texture evolution of titanium foil obtained after isothermal annealing

    图  5  不同退火温度下微观组织演变

    Figure  5.  Microstructure evolution of titanium foil obtained after annealing at different temperatures

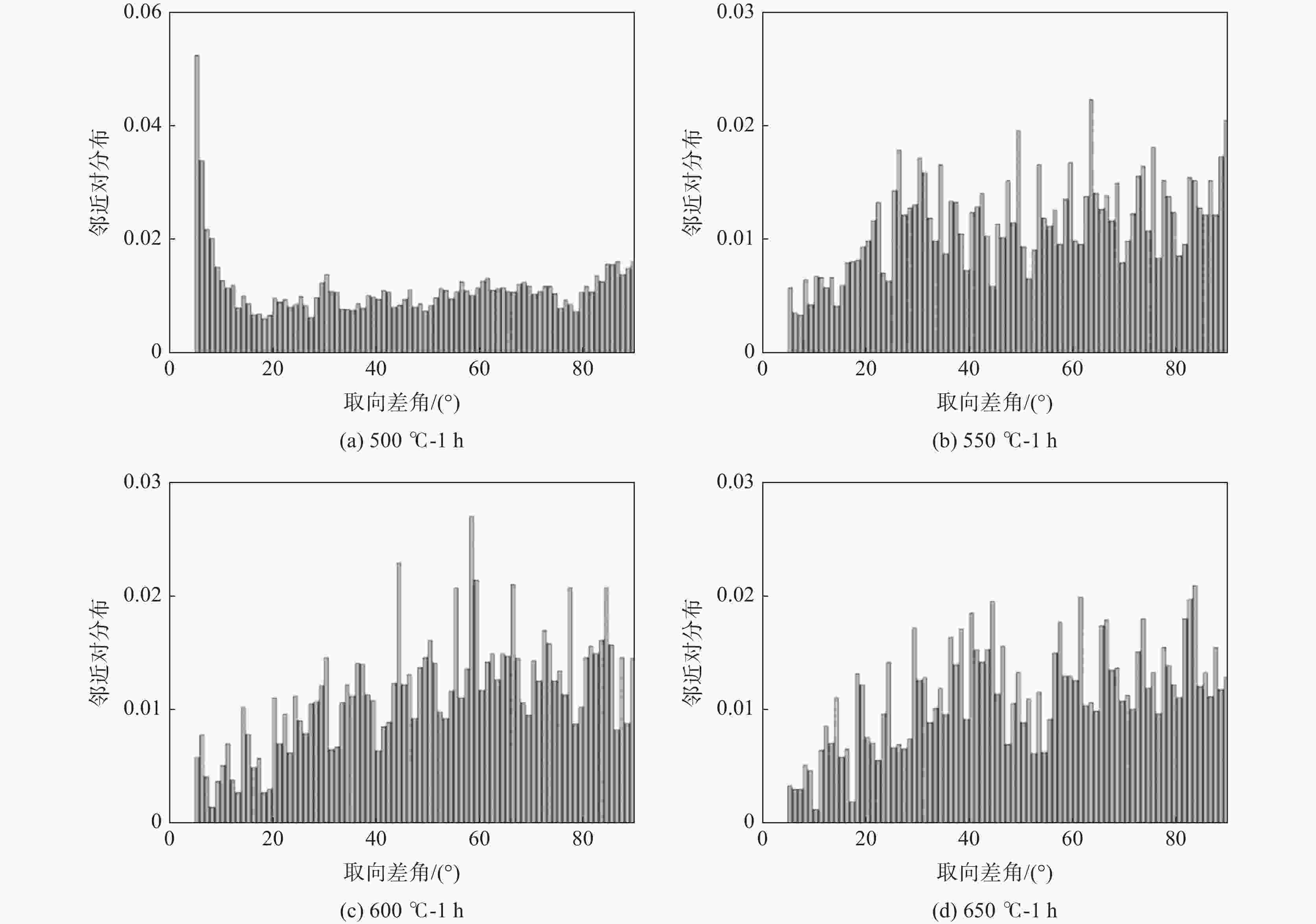
    图  6  等时差温退火条件下的取向差角

    Figure  6.  Misorientation angle distribution of titanium foil obtained under isochronous temperature annealing condition

    图  7  不同退火温度下的极图

    Figure  7.  Texture evolution of titanium foil obtained after annealing at different temperatures

  • [1] Ge Wei, Deng Ningjia, Ding Chuncong, et al. Research on heat treatment process of TA10 titanium alloy sheet[J]. Progress in Titanium Industry, 2015,32(4):4. (葛伟, 邓宁嘉, 丁春聪, 等. TA10钛合金板材的热处理工艺研究[J]. 钛工业进展, 2015,32(4):4. doi: 10.13567/j.cnki.issn1009-9964.2015.04.008
    [2] Bozzolo N, Chan L S, Rollett A D. Misorientations induced by deformation twinning in titanium[J]. Journal of Applied Crystallography, 2010,43(3):596−602. doi: 10.1107/S0021889810008228
    [3] Singh A K, Schwarzer R A. Texture and anisotropy of mechanical properties in titanium and its alloys[J]. Zeitschrift fur Metallkunde, 2000,91(9):702−716.
    [4] Sinha, Subhasis, Gurao, et al. Effect of initial orientation on the tensile properties of commercially pure titanium[J]. Philosophical Magazine Structure & Properties of Condensed Matter, 2016,96(15):1−24.
    [5] Wang Ying, He Weijun, Liu Na, et al. Effect of pre-annealing deformation on the recrystallized texture and grain boundary misorientaion in commercial pure titanium[J]. Material Characterization, 2018,136:1−11. doi: 10.1016/j.matchar.2017.11.059
    [6] Liu J M, Chen I G, Chou T S, et al. On the deformation texture of square-shaped deep-drawing commercially pure Ti sheet[J]. Materials Chemistry & Physics, 2003,77(3):765−772.
    [7] Wagner F, Bozzolo N, Landuyt O V, et al. Evolution of recrystallisation texture and microstructure in low alloyed titanium sheets[J]. Acta Materialia, 2002,50(5):1245−1259. doi: 10.1016/S1359-6454(01)00427-X
    [8] Jiang H T, Liu J X, Mi Z L, et al. Texture evolution of commercial pure Ti during cold rolling and recrystallization annealing[J]. International Journal of Minerals, Metallurgy and materials, 2012,19(6):530−535. doi: 10.1007/s12613-012-0591-5
    [9] Liang H, Pan F, Wang J. Tensile and compressive properties of Mg-3Al-2Zn-2Y alloy at different strain rates[J]. Journal of Materials Engineering and Performance, 2013,22(9):2681−2690. doi: 10.1007/s11665-013-0572-5
    [10] Zherebtsov S V, Dyakonov G S, Salem A A, et al. Evolution of grain and subgrain structure during cold rolling of commercial-purity titanium[J]. Materials Science & Engineering A, 2011,528(9):3474−3479.
    [11] Zhong Y, Yin F, Nagai K. Role of deformation twin on texture evolution in cold-rolled commercial-purity Ti[J]. Journal of Materials Research, 2008,23(11):2954−2966. doi: 10.1557/JMR.2008.0354
    [12] Inagaki H. Hot rolling textures in high-strength Ti alloys[J]. International Journal of Materials Research (Formerly Zeitschrift fuer Metallkunde), 1990,81(8):540−555. doi: 10.1515/ijmr-1990-810802
    [13] Bozzolo N, Dewobroto N, Grosdidier T, et al. Texture evolution during grain growth in recrystallized commercially pure titanium[J]. Mater. Sci. Eng. A:Struct. Mater. Prop. Microstruct. Proces, 2005,397:346−355. doi: 10.1016/j.msea.2005.02.049
  • 加载中
图(7)
计量
  • 文章访问数:  359
  • HTML全文浏览量:  130
  • PDF下载量:  29
  • 被引次数: 0
出版历程
  • 收稿日期:  2022-05-17
  • 刊出日期:  2023-02-28

目录

    /

    返回文章
    返回