中文核心期刊

SCOPUS 数据库收录期刊

中国科技核心期刊

美国《化学文摘》来源期刊

中国优秀冶金期刊

美国EBSCO数据库收录期刊

RCCSE中国核心学术期刊

美国《剑桥科学文摘》来源期刊

中国应用核心期刊(CACJ)

美国《乌利希期刊指南》收录期刊

中国学术期刊综合评价统计源刊

俄罗斯《文摘杂志》来源期刊

优秀中文科技期刊(西牛计划)

日本《科学技术文献数据库》(JST)收录刊

留言板

尊敬的读者、作者、审稿人, 关于本刊的投稿、审稿、编辑和出版的任何问题, 您可以本页添加留言。我们将尽快给您答复。谢谢您的支持!

姓名
邮箱
手机号码
标题
留言内容
验证码

Y2O3弥散强化TC4钛合金粉末及其激光熔覆组织性能研究

张成阳 何思逸 杨威 郭双全 王宁 徐轶

张成阳, 何思逸, 杨威, 郭双全, 王宁, 徐轶. Y2O3弥散强化TC4钛合金粉末及其激光熔覆组织性能研究[J]. 钢铁钒钛, 2023, 44(1): 64-71. doi: 10.7513/j.issn.1004-7638.2023.01.012
引用本文: 张成阳, 何思逸, 杨威, 郭双全, 王宁, 徐轶. Y2O3弥散强化TC4钛合金粉末及其激光熔覆组织性能研究[J]. 钢铁钒钛, 2023, 44(1): 64-71. doi: 10.7513/j.issn.1004-7638.2023.01.012
Zhang Chengyang, He Siyi, Yang Wei, Guo Shuangquan, Wang Ning, Xu Yi. Y2O3 dispersion strengthened TC4 powder and its laser cladding microstructure[J]. IRON STEEL VANADIUM TITANIUM, 2023, 44(1): 64-71. doi: 10.7513/j.issn.1004-7638.2023.01.012
Citation: Zhang Chengyang, He Siyi, Yang Wei, Guo Shuangquan, Wang Ning, Xu Yi. Y2O3 dispersion strengthened TC4 powder and its laser cladding microstructure[J]. IRON STEEL VANADIUM TITANIUM, 2023, 44(1): 64-71. doi: 10.7513/j.issn.1004-7638.2023.01.012

Y2O3弥散强化TC4钛合金粉末及其激光熔覆组织性能研究

doi: 10.7513/j.issn.1004-7638.2023.01.012
基金项目: 四川省高新技术领域重点研发项目(20ZDYF0490、20ZDYF0236)。
详细信息
    作者简介:

    张成阳,1998年出生,男,河南驻马店人,硕士研究生,研究方向:金属粉末及激光修复技术,E-mail:1419798960@qq.com

    通讯作者:

    徐轶,1980年出生,男,湖南湘乡人,特聘研究员,研究方向:钒钛新材料、高温合金、高熵合金、粉末冶金等,E-mail:xybwbj@swjtu.cn

  • 中图分类号: TF823,TG665

Y2O3 dispersion strengthened TC4 powder and its laser cladding microstructure

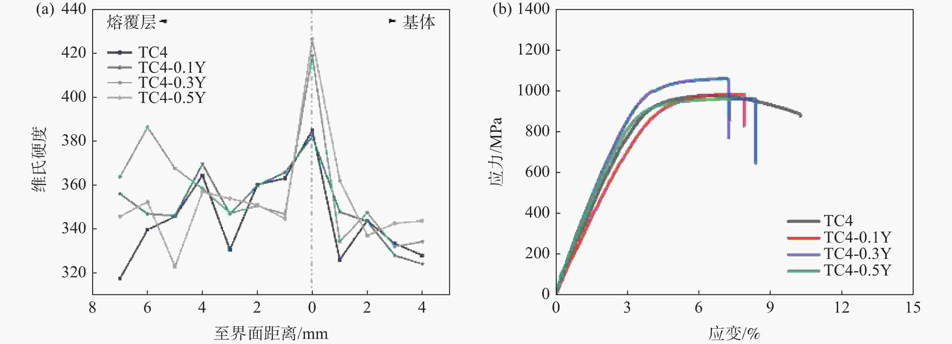
  • 摘要: 激光熔覆修复技术可用于修复损伤的钛合金工件。与锻造件相比,熔覆件在激光熔覆过程中容易引入氧,导致氧含量偏高和强度偏低的问题。采用等离子旋转电极法(PREP)制备了TC4-xY(x = 0,0.1,0.3,0.5)的预合金粉末,并使用该合金粉末通过激光熔覆工艺技术方法修复TC4合金工件。结果表明,在钇(Y)引入后产生的弥散体Y2O3均匀分布在粉末上,随着Y含量的增加,粉末的显微维氏硬度增加。在TC4-xY熔覆层中,其显微维氏硬度随着Y含量的增加而增加。然而,由于脆性相析出的影响,熔覆层的拉伸性能呈现先上升后下降的趋势,其伸长率呈现相反的趋势,TC4-0.3Y熔覆层的1058 MPa拉伸性能最优异,同时伸长率也达到7.2%。通过对Y含量的调控,能够促进熔覆层组织改善与力学性能提升。
  • 图  1  (a)等离子旋转电极雾化设备;(b)钛合金铸锭;(c)钛合金棒料;(d)钛合金粉末

    Figure  1.  (a) Plasma rotating electrode atomization equipment; (b) Titanium alloy ingots; (c) Titanium alloy bar stock; (d) Titanium alloy powder

    图  2  激光熔覆设备组件示意

    Figure  2.  Schematic diagram of laser cladding equipment components

    图  3  (a) 激光熔覆过程示意;(b)TC4基板;(c)激光熔覆后形貌;(d)熔覆过程图解

    Figure  3.  (a) Schematic diagram of the laser cladding process; (b) TC4 substrate; (c) Laser cladding topography; (d) Illustration of the cladding process

    图  4  激光熔覆样品取样示意

    Figure  4.  Schematic diagram of laser cladding sample sampling

    图  5  TC4合金粉末颗粒的横截面形貌

    Figure  5.  Cross-section morphology of TC4 alloy powder

    图  6  TC4-xY(x= 0,0.1,0.3,0.5)粉末表面的扫描电镜形貌

    Figure  6.  SEM of the TC4-xY (x= 0,0.1,0.3,0.5) surface topography

    图  7  TC4-0.5Y粉末表面形貌及能谱

    Figure  7.  EDS of the TC4-0.5Y powder surface topography

    图  8  TC4-xY(x= 0,0.1,0.3,0.5)合金熔覆层的光镜

    Figure  8.  OM of TC4-xY (x= 0,0.1,0.3,0.5) alloy cladding layer

    图  9  TC4-xY(x= 0,0.1,0.3,0.5)合金熔覆层的扫描电镜形貌

    Figure  9.  SEM of TC4-xY (x= 0,0.1,0.3,0.5) alloy cladding layer

    图  10  TC4-0.5Y合金熔覆层的能谱

    Figure  10.  EDS of TC4-0.5Y alloy cladding layer

    图  11  (a) TC4-xY(x= 0,0.1,0.3,0.5)合金的显微硬度; (b) TC4-xY(x= 0,0.1,0.3,0.5)合金的拉伸曲线

    Figure  11.  (a) Micro Vickers hardness of TC4-xY (x= 0,0.1,0.3,0.5) alloy; (b) Tensile Stress-strain curve of TC4-xY (x= 0,0.1,0.3,0.5) alloy

    图  12  TC4-xY(x= 0,0.1,0.3,0.5)合金的拉伸断口形貌

    Figure  12.  Tensile fracture topography of TC4-xY (x= 0,0.1,0.3,0.5) alloy

    表  1  TC4-0.5Y粉末表面分散相和基体EDS点分析元素含量

    Table  1.   Elements content of dispersion and matrix EDS point analysis on TC4-0.5Y powder

    元素y/%
    弥散相基体
    Al8.329.70
    Ti69.4382.23
    V2.603.60
    O18.184.25
    Y1.470.22
    总量100.00100.00
    下载: 导出CSV
  • [1] Li Yong, Wang Qiulin, Zhou Qing, et al. Research status and prospect of laser cladding technology on titanium alloy surfaces[J]. Journal of Chengdu Aviation Vocational and Technical College, 2021,37(2):63−65,88. (李勇, 王秋林, 周青, 等. 钛合金表面激光熔覆技术研究现状与展望[J]. 成都航空职业技术学院学报, 2021,37(2):63−65,88. doi: 10.3969/j.issn.1671-4024.2021.02.020
    [2] Xie Faqin, He Peng, Wu Xiangqing, et al. Research and prospect of laser cladding technology for titanium alloy surfaces[J]. Rare Metal Materials and Engineering, 2022,51(4):1514−1524. (谢发勤, 何鹏, 吴向清, 等. 钛合金表面激光熔覆技术的研究及展望[J]. 稀有金属材料与工程, 2022,51(4):1514−1524.
    [3] Zhang Leitao, Liu Dexin, Zhang Weiqiang, et al. Research progress of laser cladding coatings on titanium alloy surfaces[J]. Surface Technology, 2020,49(8):97−104. (张蕾涛, 刘德鑫, 张伟樯, 等. 钛合金表面激光熔覆涂层的研究进展[J]. 表面技术, 2020,49(8):97−104. doi: 10.16490/j.cnki.issn.1001-3660.2020.08.011
    [4] 张德强, 刘贤德, 张文博, 等. TC4钛合金激光熔覆实验研究[J/OL]. 热加工工艺, 1-4[2022-12-06].

    Zhang Deqiang, Liu Xiande, Zhang Wenbo, et al. Experimental study on TC4 titanium alloy laser cladding[J/OL]. Hot Working Technology, 1-4[2022-12-06].
    [5] Ju J, Zhao C L, Kang M D, et al. Effect of heat treatment on microstructure and tribological behavior of Ti-6Al-4V alloys fabricated by selective laser melting[J]. Tribol Int, 2021,159:106996. doi: 10.1016/j.triboint.2021.106996
    [6] Zhao Z, Chen J, Tan H, et al. Microstructure and mechanical properties of laser repaired TC4 titanium alloy[J]. Rare Metal Mat Eng, 2017,46(7):1792−1797. doi: 10.1016/S1875-5372(17)30168-6
    [7] Quazi M M, Fazal M A, Haseeb A S M A, et al. Effect of rare earth elements and their oxides on tribo-mechanical performance of laser claddings: A review[J]. J Rare Earth, 2016,34(6):549−564. doi: 10.1016/S1002-0721(16)60061-3
    [8] Pilchak A L, Williams J C. Effect of yttrium on the fatigue behavior of investment-cast and wrought Ti-6Al-4V[J]. Metall Mater Trans A, 2009,40a(11):2603−2615.
    [9] Kim D K, Kim Y I, Kim Y D, et al. Comparative study for microstructural characterisations and properties of Ti-Y powders produced by vacuum induction gas atomization cold crucible process[J]. Powder Metall, 2021,64(5):396−403. doi: 10.1080/00325899.2021.1921962
    [10] Weng W J, Biesiekierski A, Lin J X, et al. Impact of the rare earth elements scandium and yttrium on beta-type Ti-24Nb-38Zr-2Mo-base alloys for orthopedic applications[J]. Materialia, 2020,9:100586−100597. doi: 10.1016/j.mtla.2020.100586
    [11] Yang Y F, Luo S D, Schaffer G B, et al. Impurity scavenging, microstructural refinement and mechanical properties of powder metallurgy titanium and titanium alloys by a small addition of cerium silicide[J]. Mat Sci Eng a-Struct, 2013,573:166−174. doi: 10.1016/j.msea.2013.02.042
    [12] Li A, Ma S, Yang Y J, et al. Microstructure and mechanical properties of Y2O3 reinforced Ti6Al4V composites fabricated by spark plasma sintering[J]. J Alloy Compd, 2018,768:49−56. doi: 10.1016/j.jallcom.2018.07.229
    [13] Zhang D Y, Qiu D, Gibson M A, et al. Refining prior-I3 grains of Ti-6Al-4V alloy through yttrium addition[J]. J Alloy Compd, 2020,841:155733−155740. doi: 10.1016/j.jallcom.2020.155733
    [14] He W W, Liu Y, Tang H P, et al. Microstructural characteristics and densification behavior of high-Nb TiAl powder produced by plasma rotating electrode process[J]. Mater Design, 2017,132:275−282. doi: 10.1016/j.matdes.2017.06.072
    [15] Yamanoglu R, German R M, Karagoz S, et al. Microstructural investigation of as cast and PREP atomised Ti-6Al-4V alloy[J]. Powder Metall, 2011,54(5):604−607. doi: 10.1179/1743290110Y.0000000006
    [16] Yin J O, Chen G, Zhao S Y, et al. Microstructural characterization and properties of Ti-28Ta at. % powders produced by plasma rotating electrode process[J]. J Alloy Compd, 2017,713:222−228. doi: 10.1016/j.jallcom.2017.04.195
    [17] Gao Z N, Bu H C, Feng Y, et al. Strengthening mechanism of Y2O3 nanoparticles on microstructure and mechanical properties of the laser additive manufacturing joint for large thickness TC4 titanium alloy[J]. J Manuf Process, 2021,71:37−55. doi: 10.1016/j.jmapro.2021.09.011
    [18] Song X, Niinomi M, Nakai M, et al. Improvement in fatigue strength while keeping low Young's modulus of a beta-type titanium alloy through yttrium oxide dispersion[J]. Mat Sci Eng C-Mater, 2012,32(3):542−549. doi: 10.1016/j.msec.2011.12.007
    [19] Wang L X, Yang L J, Huang Y M, et al. Effects of Y2O3 addition on the microstructure and wear-resistant performance of TiN/TiB-reinforced Ti-based laser-clad coatings on Ti-6Al-4V alloys[J]. Mater Today Commun, 2021,29:102752−102764. doi: 10.1016/j.mtcomm.2021.102752
    [20] Weng F, Yu H J, Chen C Z, et al. Microstructures and properties of TiN reinforced Co-based composite coatings modified with Y2O3 by laser cladding on Ti-6Al-4V alloy[J]. J Alloy Compd, 2015,650:178−184. doi: 10.1016/j.jallcom.2015.07.295
    [21] Wang X, Zhang L J, Ning J, et al. Effect of addition of micron-sized lanthanum oxide particles on morphologies, microstructures and properties of the wire laser additively manufactured Ti-6Al-4V alloy[J]. Mat Sci Eng a-Struct, 2021,803:632−639.
    [22] Wang J, Lin X, Li J Q, et al. Effects of deposition strategies on macro/microstructure and mechanical properties of wire and arc additive manufactured Ti-6Al-4V[J]. Mat Sci Eng a-Struct, 2019,754:735−749. doi: 10.1016/j.msea.2019.03.001
  • 加载中
图(12) / 表(1)
计量
  • 文章访问数:  786
  • HTML全文浏览量:  186
  • PDF下载量:  33
  • 被引次数: 0
出版历程
  • 收稿日期:  2022-11-02
  • 刊出日期:  2023-02-28

目录

    /

    返回文章
    返回