中文核心期刊

SCOPUS 数据库收录期刊

中国科技核心期刊

美国《化学文摘》来源期刊

中国优秀冶金期刊

美国EBSCO数据库收录期刊

RCCSE中国核心学术期刊

美国《剑桥科学文摘》来源期刊

中国应用核心期刊(CACJ)

美国《乌利希期刊指南》收录期刊

中国学术期刊综合评价统计源刊

俄罗斯《文摘杂志》来源期刊

优秀中文科技期刊(西牛计划)

日本《科学技术文献数据库》(JST)收录刊

留言板

尊敬的读者、作者、审稿人, 关于本刊的投稿、审稿、编辑和出版的任何问题, 您可以本页添加留言。我们将尽快给您答复。谢谢您的支持!

姓名
邮箱
手机号码
标题
留言内容
验证码

溶液燃烧合成法制备Zr掺杂的BaTiO3介电陶瓷及其储能性能研究

燕美伶 左承阳 李江艳 曹知勤 余子函 朱丹雨 潘小莉

燕美伶, 左承阳, 李江艳, 曹知勤, 余子函, 朱丹雨, 潘小莉. 溶液燃烧合成法制备Zr掺杂的BaTiO3介电陶瓷及其储能性能研究[J]. 钢铁钒钛, 2023, 44(2): 55-60. doi: 10.7513/j.issn.1004-7638.2023.02.008
引用本文: 燕美伶, 左承阳, 李江艳, 曹知勤, 余子函, 朱丹雨, 潘小莉. 溶液燃烧合成法制备Zr掺杂的BaTiO3介电陶瓷及其储能性能研究[J]. 钢铁钒钛, 2023, 44(2): 55-60. doi: 10.7513/j.issn.1004-7638.2023.02.008
Yan Meiling, Zuo Chengyang, Li Jiangyan, Cao Zhiqin, Yu Zihan, Zhu Danyu, Pan Xiaoli. Preparation of Zr-doped BaTiO3 dielectric ceramics by solution combustion synthesis and its energy storage performance[J]. IRON STEEL VANADIUM TITANIUM, 2023, 44(2): 55-60. doi: 10.7513/j.issn.1004-7638.2023.02.008
Citation: Yan Meiling, Zuo Chengyang, Li Jiangyan, Cao Zhiqin, Yu Zihan, Zhu Danyu, Pan Xiaoli. Preparation of Zr-doped BaTiO3 dielectric ceramics by solution combustion synthesis and its energy storage performance[J]. IRON STEEL VANADIUM TITANIUM, 2023, 44(2): 55-60. doi: 10.7513/j.issn.1004-7638.2023.02.008

溶液燃烧合成法制备Zr掺杂的BaTiO3介电陶瓷及其储能性能研究

doi: 10.7513/j.issn.1004-7638.2023.02.008
基金项目: 国家级大学生创新创业训练计划项目(202011360003)。
详细信息
    作者简介:

    左承阳,1985年出生,男,四川成都人,硕士研究生,讲师,通讯作者,主要从事电介电陶瓷研究,E-mail:zuo.cheng.yang@163.com

  • 中图分类号: TQ174.75,TB34

Preparation of Zr-doped BaTiO3 dielectric ceramics by solution combustion synthesis and its energy storage performance

  • 摘要: 介电陶瓷电容器具有超高的功率密度和超快的充放电速度,在能量回收系统、脉冲大功率领域等具有重要的应用前景。以硝酸钡、钛酸丁酯、硝酸氧锆、甘氨酸以及硝酸为原料,柠檬酸为络合剂,硝酸锰为助烧剂,采用溶液燃烧法制备了Zr掺杂的 BaTi(1-x)ZrxO3(BTZx)介电陶瓷。分别采用 X 射线衍射仪和扫描电子显微镜对BTZx介电陶瓷样品进行了物相和微观形态分析。利用精密阻抗分析仪和铁电分析仪研究了BTZx 介电陶瓷样品的介电和储能性能。研究结果表明,Zr4+的引入细化了陶瓷晶粒,提高了击穿强度,增加了离子混乱度,有效减小了剩余极化。当x=0.20时,获得优异的储能性能: 在350 kV/cm下,可释放能量密度和储能效率分别达到 1.60 J/cm3 和 88.5%。
  • 图  1  (a) BTZx介电陶瓷样品的XRD衍射图谱;(b) BTZx介电陶瓷样品在衍射角(2θ)为 44°~46°的衍射图谱

    Figure  1.  (a) XRD patterns of the BTZx samples; (b) The diffraction patterns of BTZx samples at the diffraction angles (2θ) of 44°~46°

    图  2  (a)~(d)分别为x=0.10, 0.14, 0.20, 0.24的陶瓷SEM形貌,(e)~(h)为相应的晶粒尺寸分布

    Figure  2.  (a)~(d) SEM images of ceramics with x=0.10, 0.14, 0.20, 0.24, respectively,(e)~(h) is the corresponding average grain size distribution

    图  3  室温下BTZx介电陶瓷的介电常数和介电损耗随频率的变化

    Figure  3.  The spectrum of dielectric constant and dielectric loss of BTZx as a function of frequency at room temperature

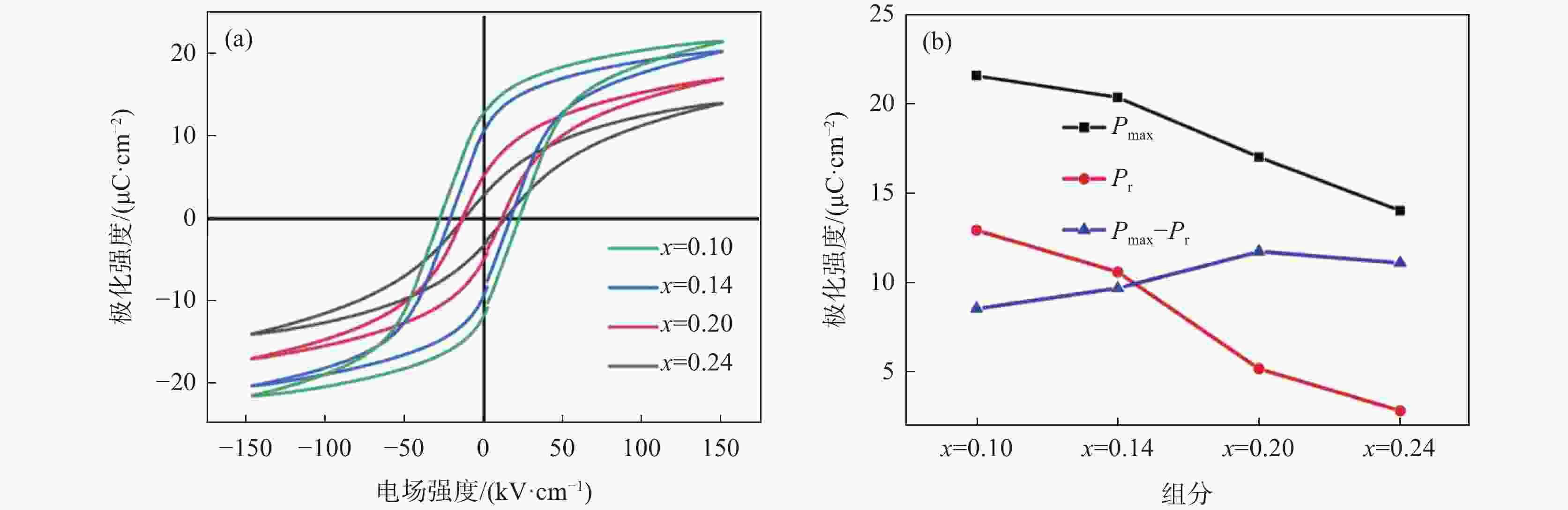
    图  4  (a) BTZx介电陶瓷在10 Hz、 150 kV/cm下的双极电滞回线; (b) 150 kV/cm电场下对应的 PmaxPrPmaxPr变化

    Figure  4.  (a) The bipolar P-E loops of BTZx at 10 Hz under 150 kV/cm; (b) Corresponding changes of Pmax, Pr and PmaxPr under 150 kV/cm

    图  5  (a)BTZx介电陶瓷在10 Hz不同击穿电场下的单极电滞回线; (b)击穿电场下储能性能随x的演变

    Figure  5.  (a) The unipolar P-E loops of BTZx at different breakdown electric fields at 10 Hz; (b) The evolution of energy storage performance with x under breakdown electric fields

    图  6  (a) BTZ0.20在不同电场条件下的单极电滞回线; (b)不同电场条件下的极化特性; (c) 不同电场下BTZ0.20的储能特性

    Figure  6.  (a) Variations of the unipolar P-E loops of BTZ0.20 with different electric fields; (b) The polarization characteristics of BTZ0.20 under different electric fields; (c) Energy storage properties of BTZ0.20 under different electric fields

  • [1] Wang Ge, Lu Zhilun, Li Yong, et al. Electroceramics for high-energy density capacitors: Current status and future perspectives[J]. Chemical Reviews, 2021,121(10):6124−6172. doi: 10.1021/acs.chemrev.0c01264
    [2] Letao Yanga, Xi Konga, Fei Li, et al. Perovskite lead-free dielectrics for energy storage applications[J]. Progress in Materials Science, 2019,102:72−108. doi: 10.1016/j.pmatsci.2018.12.005
    [3] Sun Zixiong , Wang Zhuo , Tian Ye , et al. Progress, outlook, and challenges in lead-free energy-storage ferroelectrics [J]. Advanced Electronic Materials, 2019: 1900698.
    [4] Yao Zhonghua, Song Zhe, Hao Hua, et al. Homogeneous/Inhomogeneous-structured dielectrics and their energy-storage performances[J]. Advanced Materials, 2017,29(20):1601727. doi: 10.1002/adma.201601727
    [5] Haribabu Palneedi, Mahesh Peddigari, Geon-Tae Hwang, et al. High-performance dielectric ceramic films for energy storage capacitors: Progress and outlook[J]. Advanced Functional Materials, 2018,28:1803665. doi: 10.1002/adfm.201803665
    [6] Yuan Qibin, Chen Mi, Zhan Shili, et al. Ceramic-based dielectrics for electrostatic energy storage applications: Fundamental aspects, recent progress, and remaining challenges[J]. Chemical Engineering Journal, 2022,446:136315. doi: 10.1016/j.cej.2022.136315
    [7] Zeng Fanzhou, Cao Minghe, Zhang Lin, et al. Microstructure and dielectric properties of SrTiO3 ceramics by controlled growth of silica shells on SrTiO3 nanoparticles[J]. Ceramics International, 2017,43:7710−7716. doi: 10.1016/j.ceramint.2017.03.073
    [8] Wang Fenglin, Zhang Weijun, Mao Haijun, et al. Research progress on temperature-stable BaTiO3-based complex perovskite MLCC dielectrics[J]. Materials Reports, 2022,36(1):57−63. (汪丰麟, 张为军, 毛海军, 等. 温度稳定型BaTiO3基复合钙钛矿型介质材料研究进展[J]. 材料导报, 2022,36(1):57−63.
    [9] Yan Guiwei, Ma Minggang, Li Chengbo, et al. Enhanced energy storage property and dielectric breakdown strength in Li+ doped BaTiO3 ceramics[J]. Journal of Alloys and Compounds, 2021,857:158021. doi: 10.1016/j.jallcom.2020.158021
    [10] Si Xie, Yang Bai, Fei Han, et al. Distinct effects of Ce doping in A or B sites on the electrocaloric effect of BaTiO3 ceramics[J]. Journal of Alloys and Compounds, 2017,724:163−168. doi: 10.1016/j.jallcom.2017.07.012
    [11] 徐源. 锆钛酸钡陶瓷的制备及改性研究[D]. 汉中: 陕西理工大学, 2019.

    Xu Yuan. Preparation and modification of zirconium titanate ceramics[D]. Hanzhong: Shaanxi University of Technology, 2019.
  • 加载中
图(6)
计量
  • 文章访问数:  433
  • HTML全文浏览量:  181
  • PDF下载量:  19
  • 被引次数: 0
出版历程
  • 收稿日期:  2022-08-08
  • 刊出日期:  2023-04-30

目录

    /

    返回文章
    返回