Stress intensity factors with the surface cracked plate of commercial pure titanium TA2 under compression
-
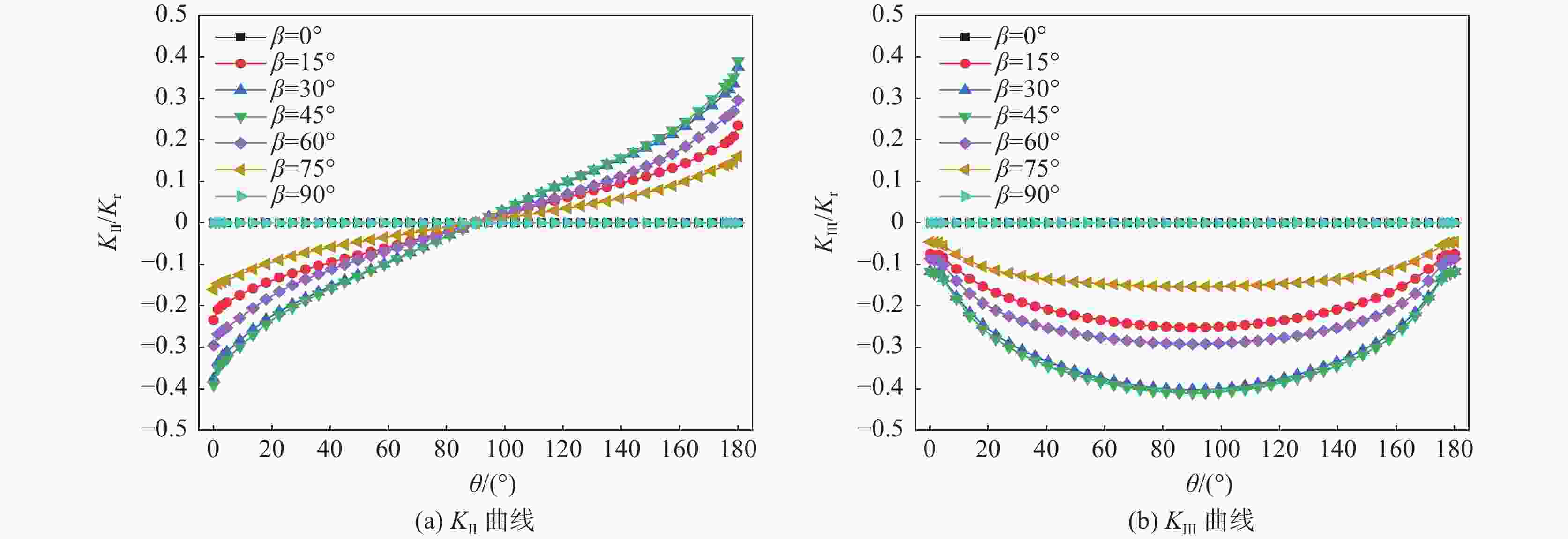
摘要: 以压载荷下工业纯钛TA2含表面裂纹板为研究对象。采用有限元方法,建立了压载荷下含复合型半椭圆表面裂纹板模型,计算了裂纹体应力强度因子,研究了裂纹倾角β、裂纹相对深度a/t、裂纹相对形状a/c、裂纹面摩擦系数μ和侧压系数λ对应力强度因子的影响。结果表明:裂纹倾角,裂纹相对形状对应力强度因子影响显著,裂纹相对深度对应力强度因子影响不明显。摩擦系数和测压系数的增大可明显减小应力强度因子,抑制剪切破坏。最后基于应力强度因子有限元解,回归得到了适用于受单轴压载下含半椭圆表面裂纹板的应力强度因子KⅡ和KⅢ解。研究结果对工业纯钛TA2压载荷下含半椭圆表面裂纹结构安全性评价具有参考价值。Abstract: The surface cracked plate of commercial pure titanium TA2 under compressive load was studied. The plate model with mixed mode semi-elliptical surface crack was established by finite element method, and the stress intensity factor was calculated. At the same time, the effects of stress intensity factor were investigated with different inclined angles (β), relative crack depths (a/t), aspect ratios (a/c), friction coefficients of crack surface (μ), lateral pressure coefficients (λ). The results show that the inclined angles and aspect ratios have significant effects on the stress intensity factor, while the crack relative depth has insignificant effects on the stress intensity factor. With the increase of friction coefficients and lateral pressure coefficients can significantly reduce the stress intensity factor and inhibit shear damage. Based on the finite element solutions of stress intensity factor, the equations of stress intensity factors KⅡ and KⅢ fit for plates with semi-elliptical surface crack under uniaxial compression were obtained by nonlinear regression. The results are of important reference for the safety assessment of structure with semi-elliptical surface crack of commercial pure titanium TA2 under compressive load.
-
表 1 最小网格尺寸网格敏感性分析(a/c=0.2,a/t=0.4,β=45°,θ=30°)
Table 1. Verification of meshing on minimum sizes of element(a/c=0.2,a/t=0.4,β=45°,θ=30°)
最小网格尺寸/mm KⅡ/(MPa·mm1/2) KⅢ/(MPa·mm1/2) 0.025 −29.25 −120.20 0.05 −29.30 −120.26 0.1 −29.43 −121.16 0.15 −29.44 −121.44 0.2 −29.43 −121.13 注:KⅡ最大相对误差0.06%,KⅢ最大相对误差1.03%. 表 2 裂纹前缘裂尖周向网格敏感性分析(a/c=0.2,a/t=0.4,β=45°,θ=30°)
Table 2. Verification of meshing on numbers of element along crack front(a/c=0.2,a/t=0.4,β=45°,θ=30°)
裂尖周向网格数 KⅡ/(MPa·mm1/2) KⅢ/(MPa·mm1/2) 90 −30.15 −124.46 120 −29.43 −121.16 150 −29.14 −119.88 180 −29.65 −120.74 注:KⅡ最大相对误差3.47%,KⅢ最大相对误差3.82%. 表 3 裂纹表面点处KⅡ对比
Table 3. Comparison of KⅡ at surface point of crack
a/t KⅡ(a/c=0.2) KⅡ(a/c=0.4) KⅡ(a/c=0.6) KⅡ(a/c=0.8) 近似解 FEM解 近似解 FEM解 近似解 FEM解 近似解 FEM解 0.2 94.79 93.68 169.32 182.92 224.08 240.01 263.51 279.78 0.4 101.02 94.99 178.12 185.36 233.66 242.21 272.87 281.74 0.6 107.92 97.10 187.99 189.72 245.24 246.69 285.00 286.38 0.8 109.27 101.76 190.24 196.01 250.82 253.86 293.55 292.59 注:a/c为0.2、0.4、0.6、0.8时,KⅡ平均相对误差依次为6.01%、4.01%、3.14%、2.56%。 表 4 裂纹最深处点KⅢ对比
Table 4. Comparison of KⅢ at deepest point of crack
a/t KⅢ(a/c=0.2) KⅢ(a/c=0.4) KⅢ(a/c=0.6) KⅢ(a/c=0.8) 近似解 FEM解 近似解 FEM解 近似解 FEM解 近似解 FEM解 0.2 −161.54 −167.24 −203.96 −206.79 −220.27 −218.38 −224.1 −218.28 0.4 −169.45 −173.9 −209.62 −210.68 −223.97 −220.99 −226.30 −219.86 0.6 −187.01 −184 −221.20 −218.56 −231.25 −226.75 −230.46 −224.22 0.8 −213.32 −211.61 −236.21 −239.74 −239.91 −242.18 −234.98 −236.22 注:a/c为0.2、0.4、0.6、0.8时,KⅢ平均相对误差依次为2.14%、1.15%、1.27%、2.18%。 -
[1] An Zhongsheng, Chen Yan, Zhao Wei. Report on China titanium industry in 2021[J]. Iron Steel Vanadium Titanium, 2022,43(4):1−9. (安仲生, 陈岩, 赵巍. 2021年中国钛工业发展报告[J]. 钢铁钒钛, 2022,43(4):1−9. [2] Zhao Qing, Chang Le, Zheng Yixiang, et al. Tensile mechanical properties and constitutive model of commercial pure titanium TA2 welded joints at medium-low temperature[J]. Iron Steel Vanadium Titanium, 2022,43(5):81−89. (赵青, 常乐, 郑逸翔, 等. TA2工业纯钛焊接接头中低温拉伸力学性能及本构模型[J]. 钢铁钒钛, 2022,43(5):81−89. [3] Chen Xiangwei, He Xiaohua, Dai Qiao, et al. Failure assessment curve of commercial pure titanium TA2[J]. Rare Metal Materials and Engineering, 2013,42(7):1469−1473. (陈祥伟, 贺小华, 代巧, 等. 工业纯钛TA2失效评定曲线研究[J]. 稀有金属材料与工程, 2013,42(7):1469−1473. doi: 10.3969/j.issn.1002-185X.2013.07.031 [4] Qin Xiaofeng, Xie Liyang, He Xuehong, et al. Research on influencing factors of stress intensity factors for double axial surface cracks in thick walled cylinders[J]. Pressure Vessel Technology, 2011,28(12):18−22,53. (秦晓峰, 谢里阳, 何雪浤, 等. 厚壁筒双轴向表面裂纹尖端应力强度因子影响因素的研究[J]. 压力容器, 2011,28(12):18−22,53. doi: 10.3969/j.issn.1001-4837.2011.12.004 [5] Raju I S, Newman J C. Stress-intensity factors for a wide range of semi-elliptical surface cracks in finite-thickness plates[J]. Engineering Fracture Mechanics, 1979,11(4):817−829. doi: 10.1016/0013-7944(79)90139-5 [6] Newman J C, Raju I S. An empirical stress-intensity factor equation for the surface crack[J]. Engineering Fracture Mechanics, 1981,15(1):185−192. [7] Isida M, Noguchi H, Yoshida T. Tension and bending of finite thickness plates with a semi-elliptical surface crack[J]. International Journal of Fracture, 1984,26(3):157−188. doi: 10.1007/BF01140626 [8] Holdbrook S J, Dover W D. The stress intensity factor for a deep surface crack in a finite plate[J]. Engineering Fracture Mechanics, 1979,12(3):347−364. doi: 10.1016/0013-7944(79)90049-3 [9] Xie W, Tu S W, Huang Q Q, et al. Investigation on mixed mode stress intensity factors for inclined surface crack in finite-thickness plates and parameters influence[J]. Advanced Materials Research, 2011,217-218:330−335. doi: 10.4028/www.scientific.net/AMR.217-218.330 [10] Toribio J, González B, Matos J C, et al. Stress intensity factors for embedded, surface, and corner cracks in finite-thickness plates subjected to tensile loading[J]. Materials, 2021,14(11):2807. doi: 10.3390/ma14112807 [11] 张俊清. 高速列车空心车轴表面裂纹应力强度因子研究[D]. 北京: 北京交通大学, 2011.Zhang Junqing. Research on stress intensity factor of surface crack of high-speed train hollow axle[D]. Beijing: Beijing Jiaotong University, 2011. [12] Ayhan A O. Mixed mode stress intensity factors for deflected and inclined surface cracks in finite-thickness plates[J]. Engineering Fracture Mechanics, 2004,71(7):1059−1079. [13] Ayhan A O. Three-dimensional mixed-mode stress intensity factors for cracks in functionally graded materials using enriched finite elements[J]. International Journal of Solids and Structures, 2009,46(3):796−810. [14] Ayhan A O, Yücel U. Stress intensity factor equations for mixed-mode surface and corner cracks in finite-thickness plates subjected to tension loads[J]. International Journal of Pressure Vessels and Piping, 2011,88(5):181−188. [15] Yang Hui, Cao Ping, Jang Xueliang, et al. Analytical and numerical research of stress intensity factor with a closed-crack in finite-rock-plates under biaxial compression[J]. Journal of Central South University(Science and Technology), 2008,(4):850−855. (杨慧, 曹平, 江学良, 等. 双轴压缩下闭合裂纹应力强度因子的解析与数值方法[J]. 中南大学学报(自然科学版), 2008,(4):850−855. [16] Li Nianbin, Dong Shiming, Hua Wen. Analysis of the effect of crack face contact on stress intensity factors for a centrally cracked Brazilian disk[J]. Rock and Soil Mechanics, 2017,38(8):2395−2401. (李念斌, 董世明, 华文. 裂纹面接触对中心裂纹圆盘应力强度因子影响分析[J]. 岩土力学, 2017,38(8):2395−2401. doi: 10.16285/j.rsm.2017.08.029 [17] Zhu F J, Liu H Y, Yao L H, et al. Stress field analysis of an infinite plate with a central closed inclined crack under uniaxial compression[J]. Theoretical and Applied Fracture Mechanics, 2021,116:103111. doi: 10.1016/j.tafmec.2021.103111 [18] Xu Zhiqian, Liang Yunhao, Yan Yifei, et al. Analysis of hole edge cracking behavior of perforating casing based on fracture mechanics[J]. Pressure Vessel Technology, 2020,37(4):50−56. (许志倩, 梁云浩, 闫怡飞, 等. 基于断裂力学的射孔套管孔边开裂行为分析[J]. 压力容器, 2020,37(4):50−56. doi: 10.3969/j.issn.1001-4837.2020.04.008 [19] Jin L Z, Pei Q, Yu C Y, et al. T-stresses solution and out-of-plane constraint for central cracked plate (CCP) with I-II mixed mode crack under uniaxial compression[J]. Theoretical and Applied Fracture Mechanics, 2021,115:103040. doi: 10.1016/j.tafmec.2021.103040 [20] Wang Y Z, Miao X T, Zhou C Y, et al. A study of Txx-stress on mixed mode I-II semi-elliptical surface crack in plates[J]. Theoretical and Applied Fracture Mechanics, 2019,103:102305. doi: 10.1016/j.tafmec.2019.102305 [21] 中华人民共和国国家质量监督检验检疫总局. GB/T 19624-2019. 在用含缺陷压力容器安全评定[S]. 北京: 中国标准出版社, 2019.General Administration of Quality Supervision, Inspection and Quarantine of the People's Republic of China. GB/T 19624-2019. Safety assessment of in-service pressure vessels containing defects[S]. Beijing: Standards Press of China, 2019. [22] Noda N A, Kihara T, Beppu D. Variations of stress intensity factor of a semi-elliptical surface crack subjected to mixed mode loading[J]. International Journal of Fracture, 2004,127(2):167−191. doi: 10.1023/B:FRAC.0000035054.88722.43 -
下载:



