中文核心期刊

SCOPUS 数据库收录期刊

中国科技核心期刊

美国《化学文摘》来源期刊

中国优秀冶金期刊

美国EBSCO数据库收录期刊

RCCSE中国核心学术期刊

美国《剑桥科学文摘》来源期刊

中国应用核心期刊(CACJ)

美国《乌利希期刊指南》收录期刊

中国学术期刊综合评价统计源刊

俄罗斯《文摘杂志》来源期刊

优秀中文科技期刊(西牛计划)

日本《科学技术文献数据库》(JST)收录刊

留言板

尊敬的读者、作者、审稿人, 关于本刊的投稿、审稿、编辑和出版的任何问题, 您可以本页添加留言。我们将尽快给您答复。谢谢您的支持!

姓名
邮箱
手机号码
标题
留言内容
验证码

TA9钛合金高温拉伸变形行为的研究

董晓锋 王冠军 张明玉 杨再江 杨学新 叶红川 高填

董晓锋, 王冠军, 张明玉, 杨再江, 杨学新, 叶红川, 高填. TA9钛合金高温拉伸变形行为的研究[J]. 钢铁钒钛, 2023, 44(2): 77-83. doi: 10.7513/j.issn.1004-7638.2023.02.011
引用本文: 董晓锋, 王冠军, 张明玉, 杨再江, 杨学新, 叶红川, 高填. TA9钛合金高温拉伸变形行为的研究[J]. 钢铁钒钛, 2023, 44(2): 77-83. doi: 10.7513/j.issn.1004-7638.2023.02.011
Dong Xiaofeng, Wang Guanjun, Zhang Mingyu, Yang Zaijiang, Yang Xuexin, Ye Hongchuan, Gao Tian. Study on high-temperature tensile deformation behavior of TA9 titanium alloy[J]. IRON STEEL VANADIUM TITANIUM, 2023, 44(2): 77-83. doi: 10.7513/j.issn.1004-7638.2023.02.011
Citation: Dong Xiaofeng, Wang Guanjun, Zhang Mingyu, Yang Zaijiang, Yang Xuexin, Ye Hongchuan, Gao Tian. Study on high-temperature tensile deformation behavior of TA9 titanium alloy[J]. IRON STEEL VANADIUM TITANIUM, 2023, 44(2): 77-83. doi: 10.7513/j.issn.1004-7638.2023.02.011

TA9钛合金高温拉伸变形行为的研究

doi: 10.7513/j.issn.1004-7638.2023.02.011
基金项目: 自治区创新环境(人才、基地)建设专项(XJQY2009);新疆钛基新材料重点实验室项目(XR/KY-XD-21005)。
详细信息
    作者简介:

    董晓锋,1982年出生,男,陕西西安人,硕士,高级工程师,研究方向:钛合金塑性成形与热处理,E-mail:xrunjc@163.com

  • 中图分类号: TF823,TG146.2

Study on high-temperature tensile deformation behavior of TA9 titanium alloy

  • 摘要: 采用高温拉伸试验,得到TA9钛合金在800~920 ℃温度范围内和应变速率为0.001~0.125 s−1条件下的应力应变曲线,分析在拉应力条件下,变形温度、应变速率和流变应力三者之间的关系,构造了Arrhenius双曲正弦函数本构方程,并进行了应变修正,绘制出变形量为20%和50%时的热加工图,总结出不同变形条件下合金显微组织演变规律。结果表明:流变应力随变形温度的提高和应变速率的降低而降低,由本构方程计算出两相区变形激活能为569.453 kJ/mol,热加工图中的失稳区主要有四个区域,分别是在800~845 ℃和870~920 ℃时,应变速率在大于0.07 s−1和0.002~0.03 s−1处。此外,断裂位置显微组织中α相沿着合金变形的方向被拉长,α晶界变成锯齿状,这与动态回复过程中α向沿亚晶界破碎、分割和晶界突出有关。当变形温度一定时,等轴α晶粒尺寸随应变速率的提高而减小,当应变速率一定时,等轴α晶粒尺寸随温度的升高而变大。
  • 图  1  TA9钛合金原始组织

    Figure  1.  Original microstructure of TA9 titanium alloy

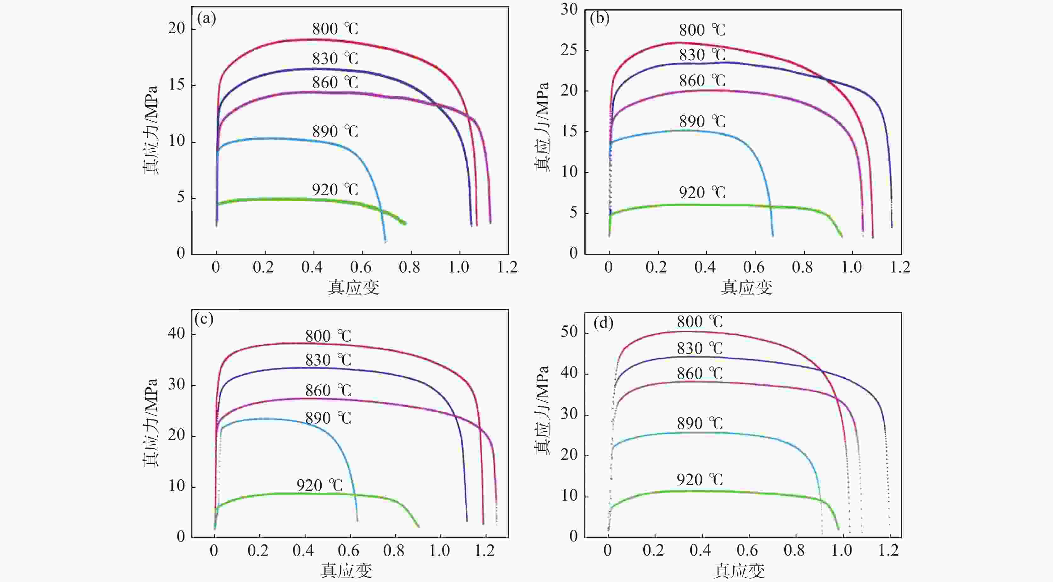
    图  2  不同应变速率下TA9钛合金真应力-应变曲线

    Figure  2.  True stress-strain curves for TA9 titanium alloy under different conditions

    (a) 0.001 s−1; (b) 0.005 s−1; (c) 0.025 s−1; (d) 0.125 s−1

    图  3  不同应变速率下TA9钛合金峰值应力与变形温度的关系

    Figure  3.  Relationship between peak stress and deformation temperature of TA9 titanium alloy at different strain rates

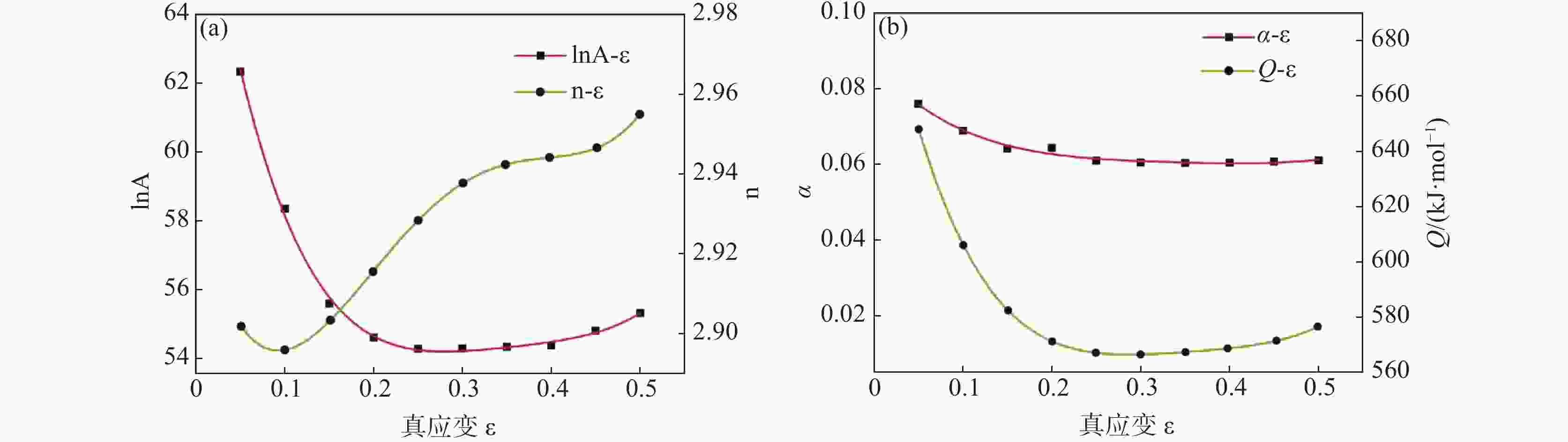
    图  4  本构方程中各参数与真应变的关系曲线

    Figure  4.  Relationship curves between various parameters in the constitutive and true strain

    (a) lnA-ε,n-ε; (b) α-ε, Q

    图  5  TA9合金不同变形量的热加工图

    Figure  5.  Thermal processing maps of TA9 alloy at different strains

    (a) 20%;(b) 50%

    图  6  不同热拉伸条件TA9 钛合金的显微组织

    Figure  6.  Microstructure of TA9 titanium alloy under different thermal tensile conditions

    (a) 800 ℃, 0.025 s−1; (b) 830 ℃, 0.025 s−1; (c) 860 ℃, 0.001 s−1; (d) 860 ℃, 0.005 s−1; (e) 860 ℃, 0.025 s−1; (f) 860 ℃, 0.125 s−1; (g) 890 ℃,0.025 s−1; (h) 920 ℃, 0.025 s−1

  • [1] Ye Yong, Wang Jinyan. An overview on application status and processing technology development of titanium alloy[J]. Materials Reports, 2012,26(20):360−363. (叶勇, 王金彦. 钛合金的应用现状及加工技术发展概况[J]. 材料导报, 2012,26(20):360−363. doi: 10.3969/j.issn.1005-023X.2012.z1.097
    [2] Li Yi, Zhao Yongqing, Zeng Weidong, et al. Application and development of aerial titanium alloys[J]. Materials Reports, 2020,34(z1):280−282. (李毅, 赵永庆, 曾卫东, 等. 航空钛合金的应用及发展趋势[J]. 材料导报, 2020,34(z1):280−282.
    [3] Zhang Haiyang, Shi Jinliang, Zhang Xuhu, et al. Near-net-shaping hot isostatic pressing of complicated titanium alloy air inlet[J]. Journal of Propulsion Technology, 2022,43(8):383−389. (张海洋, 史金靓, 张绪虎, 等. 复杂钛合金进气道热等静压近净成形技术研究[J]. 推进技术, 2022,43(8):383−389. doi: 10.13675/j.cnki.tjjs.200967
    [4] Chai Xiyang, Gao Zhiyu, Pan Tao, et al. Constitutive equation for flow behavior of commercially pure titanium TA2 during hot deformation[J]. Chinese Journal of Engineering, 2018,40(2):226−232. (柴希阳, 高志玉, 潘涛, 等. 工业纯钛TA2 热变形过程的流变行为本构方程[J]. 工程科学学报, 2018,40(2):226−232.
    [5] Xu Meng, Jia Weiju, Zhang Zhihao, et al. Hot compression deformation behavior and processing map of TA15 alloy.[J]. Rare Metal Materials and Engineering, 2017,46,(9):2708. (徐猛, 贾蔚菊, 张志豪. TA15 钛合金高温热压缩变形行为及热加工图[J]. 稀有金属材料与工程, 2017,46,(9):2708.
    [6] 夏麒帆, 梁益龙, 杨春林, 等, TC4 钛合金拉伸变形行为的研究[J]. 稀有金属, 2019, 43(7): 765.

    Xia Qifan, Liang Yilong, Yang Chunlin, et al. Tensile deformation behavior of TC4 titanium alloy[J]. Chinese Journal of Rare Metals, 2019, 43(7): 765.
    [7] Wu Jingyi. Hot compression deformation behaviors and processing map of new-type Ti-V-Mo based alloy[J]. Rare Metal Materials and Engineering, 2021,50(6):2061−2068. (吴静怡. 新型Ti-V-Mo系钛合金热变形行为及热加工图研究[J]. 稀有金属材料与工程, 2021,50(6):2061−2068.
    [8] Zheng Baoxing, Deng Xiaohu, Wu Chuan. Establishment of constitutive equation and dynamic recrystallization model for Ti55531 titanium alloy[J]. Journal of Plasticity Engineering, 2021,28(9):161−169. (郑宝星, 邓小虎, 武川. Ti55531钛合金本构方程及动态再结晶模型建立[J]. 塑性工程学报, 2021,28(9):161−169. doi: 10.3969/j.issn.1007-2012.2021.09.021
    [9] Wu Chuan, Liu Bin, Zhou Yujie, et al. Investigation on hot deformation behavior and microstructural evolution of Ti6554 titanium alloy[J]. Journal of Netshape Forming Engineering, 2022,14(1):114−124. (武川, 刘斌, 周宇杰. Ti6554 钛合金高温变形行为与微观组织演化机制研究[J]. 精密成形工程, 2022,14(1):114−124. doi: 10.3969/j.issn.1674-6457.2022.01.014
    [10] Sellars C M, Mctegart W J. On the mechanism of hot deformation[J]. Acta Metallurgica, 1966,14(9):11.
    [11] 刘全坤. 材料成形基本原理[M]. 北京: 机械工业出版社, 2010: 214-235.

    Liu Quankun . Principles of material forming[M]. Beijing: China Machine Press, 2010: 214-235.
    [12] Zhang Mingyu, Yun Xinbing, Fu Hongwang. Effect of different heat treatment processes on microstructure and properties of TC10 titanium alloy[J]. Journal of Plasticity Engineering, 2021,28(12):237. (张明玉, 运新兵, 伏洪旺. 不同热处理工艺对TC10钛合金组织及性能的影响[J]. 塑性工程学报, 2021,28(12):237. doi: 10.3969/j.issn.1007-2012.2021.12.030
    [13] Peng Jiahao, Sun Qianjiang, Zhou Jianwei, et al. High temperature thermal deformation and processing of TC4-DT titanium alloy[J]. The Chinese Journal of Nonferrous Metals, 2022,32(4):994. (彭嘉豪, 孙前江, 周建伟, 等. TC4-DT钛合金高温热变形及加工[J]. 中国有色金属学报, 2022,32(4):994.
    [14] Liu Dong, Luo Zijian. The constitutive relationship for GH169 alloy as afunction of Zener-Hollomon parameter[J]. Journal of Plasticity Engineering, 1995,2(1):15. (刘东, 罗子健. 以Zener-Hollomon参数表示的GH169合金的本构关系[J]. 塑性工程学报, 1995,2(1):15.
    [15] Prasad Y V R K, GegeL H L, Doraivelu S M, et al. Modeling of dynamic material behavior in hot deformation: Forging of Ti-6242[J]. Metallurgical Transactions A, 1984,15(10):1883−1892. doi: 10.1007/BF02664902
    [16] Zhou Lin, Liu Yunxi, Chen Wei, et al. Thermal deformation behavior and processing map of Ti-4Al-5Mo-6Cr-5V-1Nb alloy[J]. Chinese Journal of Rare Metals, 2020,46(1):27. (周琳, 刘运玺, 陈玮, 等. Ti-4Al-5Mo-6Cr-5V-1Nb合金的热变形行为及热加工图[J]. 稀有金属, 2020,46(1):27.
    [17] Wang Liying, Yang You, Liu Chunlan, et al. Rheological behavior and microstructure evolution on Ti-6Al-4V titanium alloy by hot machining[J]. Forging & Stamping Technology, 2020,45(12):183. (王立颖, 杨友, 刘春兰, 等. 热机械加工Ti-6Al-4V钛合金的流变行为和显微组织演变[J]. 锻压技术, 2020,45(12):183.
    [18] 郑志莹. Ti-5Al-5Mo-5V-3Cr-1Fe亚稳β钛合金热变形行为及组织演变机理研究[D]. 重庆: 重庆理工大学, 2021.

    Zheng Zhiying. Study on hot deformation behavior and microstructure evolution mechanism of Ti-5Al-5Mo-5V-3Cr-1Fe metastable β titanium alloy[D]. Chongqing: Chongqing University of Technology, 2021.
    [19] Zhao Qinyang, Chen Yongnan, Xu Yiku, et al. Dynamic recrystallization mechanism of as-cast metastable β titanium alloy during high-strain-rate deformation[J]. The Chinese Journal of Nonferrous Metals, 2022,32(5):1310−1319. (赵秦阳, 陈永楠, 徐义库, 等. 铸态亚稳β钛合金高应变速率动态再结晶机理[J]. 中国有色金属学报, 2022,32(5):1310−1319.
    [20] 尚筱迪. 工业纯钛TA2热压缩变形行为及微观组织演变[D]. 西安: 西安建筑科技大学, 2019.

    Shang Xiaodi. Hot deformation behavior and microstructure evolution of TA2[D]. Xi’an: Xi’an University of Architecture and Technology, 2019.
  • 加载中
图(6)
计量
  • 文章访问数:  428
  • HTML全文浏览量:  286
  • PDF下载量:  20
  • 被引次数: 0
出版历程
  • 收稿日期:  2022-09-22
  • 刊出日期:  2023-04-30

目录

    /

    返回文章
    返回