中文核心期刊

SCOPUS 数据库收录期刊

中国科技核心期刊

美国《化学文摘》来源期刊

中国优秀冶金期刊

美国EBSCO数据库收录期刊

RCCSE中国核心学术期刊

美国《剑桥科学文摘》来源期刊

中国应用核心期刊(CACJ)

美国《乌利希期刊指南》收录期刊

中国学术期刊综合评价统计源刊

俄罗斯《文摘杂志》来源期刊

优秀中文科技期刊(西牛计划)

日本《科学技术文献数据库》(JST)收录刊

留言板

尊敬的读者、作者、审稿人, 关于本刊的投稿、审稿、编辑和出版的任何问题, 您可以本页添加留言。我们将尽快给您答复。谢谢您的支持!

姓名
邮箱
手机号码
标题
留言内容
验证码

生物质热解产物强化海砂矿选择性还原-磁选分离

黄柱成 舒阳 李屹鑫 唐婷婷 谢晨曦

黄柱成, 舒阳, 李屹鑫, 唐婷婷, 谢晨曦. 生物质热解产物强化海砂矿选择性还原-磁选分离[J]. 钢铁钒钛, 2023, 44(3): 16-22. doi: 10.7513/j.issn.1004-7638.2023.03.003
引用本文: 黄柱成, 舒阳, 李屹鑫, 唐婷婷, 谢晨曦. 生物质热解产物强化海砂矿选择性还原-磁选分离[J]. 钢铁钒钛, 2023, 44(3): 16-22. doi: 10.7513/j.issn.1004-7638.2023.03.003
Huang Zhucheng, Shu Yang, Li Yixin, Tang Tingting, Xie Chenxi. Biomass pyrolysis product-enhanced selective reduction-magnetic separation of iron sand[J]. IRON STEEL VANADIUM TITANIUM, 2023, 44(3): 16-22. doi: 10.7513/j.issn.1004-7638.2023.03.003
Citation: Huang Zhucheng, Shu Yang, Li Yixin, Tang Tingting, Xie Chenxi. Biomass pyrolysis product-enhanced selective reduction-magnetic separation of iron sand[J]. IRON STEEL VANADIUM TITANIUM, 2023, 44(3): 16-22. doi: 10.7513/j.issn.1004-7638.2023.03.003

生物质热解产物强化海砂矿选择性还原-磁选分离

doi: 10.7513/j.issn.1004-7638.2023.03.003
基金项目: 国家自然科学基金资助项目(52174330)。
详细信息
    作者简介:

    舒阳,1996年出生,男,湖南怀化人,硕士研究生,主要从事低碳清洁冶金相关工作,E-mail:205611026@csu.edu.cn

    通讯作者:

    黄柱成,1964年出生,男,博士生导师,教授,从事钢铁冶金与资源综合利用研究,E-mail:zchuangcsu@126.com

  • 中图分类号: TF55

Biomass pyrolysis product-enhanced selective reduction-magnetic separation of iron sand

  • 摘要: 以清洁、碳中性、高活性、可再生的生物质作为还原剂,通过密封性气塞限制热解产物的逃逸,对海砂矿内配生物质直接还原行为进行了研究,研究表明,限制生物质热解产生热解产物(CO、H2、CO2、H2O 、CxHyOz)的逃逸,在反应罐内迅速形成了60 kPa的压力,有利于H2、CO的参与还原。其中焦油具有更高的活性,且保障了后期H2的来源,促进了海砂矿的低温快速还原。在还原温度1120 ℃、还原80 min的条件下,可获得金属化率为97.81%、铁回收率为97.81%的铁粉,以及TiO2回收率为69.98%和V2O5回收率59.93%的富钛渣。
  • 图  1  海砂矿的XRD谱

    Figure  1.  XRD spectrum of iron sand

    图  2  海砂矿的SEM-EDS形貌

    Figure  2.  SEM-EDS map of iron sand

    图  3  破碎后生物质的微观结构

    Figure  3.  Microstructure of crushed biomass

    图  4  生物质在氦气下TG-DTG曲线

    Figure  4.  TG-DTG diagram of biomass under helium gas

    图  5  海砂矿内配生物质还原工艺流程

    Figure  5.  Process flow diagram of biomass reduction allotted within iron sand

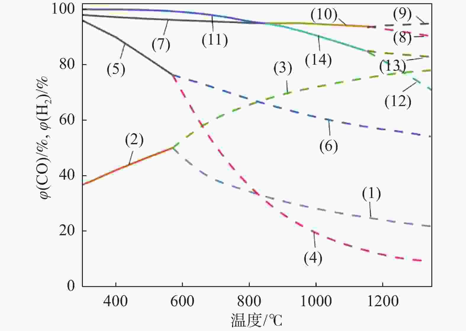
    图  6  FeTi2O4与Fe3O4还原反应气相平衡

    Figure  6.  Gas phase equilibrium diagram of FeTi2O4 and Fe3O4 reduction reaction

    图  7  还原时间为80 min时反应罐内压力随时间的变化

    Figure  7.  Variation of pressure in the reaction tank with time for a reduction time of 80 min

    图  8  不同温度下海砂矿的金属化率和残碳含量

    Figure  8.  Metallization rate and residual carbon content of sea sand ore at different temperatures

    图  9  不同还原温度下海砂矿的还原及分离富集效果

    Figure  9.  Reduction and separation enrichment effect of iron sand under different reduction temperatures

    图  10  不同温度下海砂矿的还原产物SEM形貌

    A-金属铁;B-富钛相;C-硅酸盐相

    Figure  10.  SEM images of the reduction products of sea sand ore at different temperatures

    (a) 1000 ℃;(b) 1040 ℃;(c) 1080 ℃;(d) 1120 ℃

    图  11  1120 ℃下所得还原产物的SEM-EDS谱

    Figure  11.  SEM-EDS map of the reduction products obtained at 1120 ℃

    表  1  海砂矿化学成分

    Table  1.   Chemical composition of iron sand %

    TFeFeOFe2O3TiO2V2O5SiO2Al2O3CaOMgOMnONa2OK2OSP烧失
    54.2729.0845.2710.880.684.013.670.483.680.440.0790.0200.0590.0270.29
    下载: 导出CSV

    表  2  海砂矿粒度组成

    Table  2.   Iron sand particle size composition

    粒度/μm粒级含量/%
    +21222.22
    150~21223.30
    75~15052.14
    45~751.78
    −450.56
    合计100
    下载: 导出CSV

    表  3  还原剂分析

    Table  3.   Analysis of reducing agents %

    生物质工业分析生物质元素分析
    水分挥发分固定碳灰分CHONCl
    5.5580.1312.611.7148.576.0943.820.180.014
    下载: 导出CSV

    表  4  生物质灰分分析

    Table  4.   Analysis of ash content of biomass %

    SiO2Al2O3CaOMgONa2OK2OCl
    16.133.3461.607.160.832.940.013
    下载: 导出CSV
  • [1] Bai Fenglong, He Yongjun, Li Jun. Exploration, mining and sustainable development of sea sand resources in China[J]. Mineral Deposits, 2010,29(S1):771−772. (白凤龙, 何拥军, 李军. 中国海砂资源勘查、开采与可持续发展[J]. 矿床地质, 2010,29(S1):771−772. doi: 10.16111/j.0258-7106.2010.s1.557

    Bai Fenglong, He Yongjun, Li Jun. Exploration, mining and sustainable development of sea sand resources in China[J]. Mineral Deposits, 2010, 29(S1): 771-772. doi: 10.16111/j.0258-7106.2010.s1.557
    [2] Li Xingyun. Study on the exploitation, utilization and ownership management of sea sand resources at home and abroad[J]. Co-Operative Economy & Science, 2018,(24):49−51. (李杏筠. 国内外海砂资源开采利用与权属管理探讨[J]. 合作经济与科技, 2018,(24):49−51. doi: 10.3969/j.issn.1672-190X.2018.24.018

    Li Xingyun. Study on the exploitation, utilization and ownership management of sea sand resources at home and abroad[J]. Co-Operative Economy & Science, 2018(24): 49-51. doi: 10.3969/j.issn.1672-190X.2018.24.018
    [3] Sun Lijun, Lv Xianjun, Chen Ping, et al. Experimental study on the mineralogical characteristics and processing technique of beach placer[J]. Mining Research and Development, 2010,30(2):62−65. (孙丽君, 吕宪俊, 陈平, 等. 某海滨砂矿的矿物学特征与选矿试验研究[J]. 矿业研究与开发, 2010,30(2):62−65. doi: 10.13827/j.cnki.kyyk.2010.02.013

    Sun Lijun, Lu Xianjun, Chen Ping, et al. Experimental study on the mineralogical characteristics and processing technique of beach placer[J]. Mining Research and Development, 2010, 30(2): 62-65. doi: 10.13827/j.cnki.kyyk.2010.02.013
    [4] Liu Zhangzheng, Cao Zhicheng, Peng Cheng, et al. Study on direct reduction of sea sand ore containing vanadium and titanium by rotary hearth furnace[J]. Conservation and Utilization of Mineral Resources, 2020,40(4):52−57. (刘长正, 曹志成, 彭程, 等. 钒钛海砂矿转底炉直接还原研究[J]. 矿产保护与利用, 2020,40(4):52−57. doi: 10.13779/j.cnki.issn1001-0076.2020.07.008

    Liu Zhangzheng, Cao Zhicheng, Peng Cheng, et al. Study on direct reduction of sea sand ore containing vanadium and titanium by rotary hearth furnace[J]. Conservation and Utilization of Mineral Resources, 2020, 40(04): 52-57. doi: 10.13779/j.cnki.issn1001-0076.2020.07.008
    [5] Yan Fangxing, Zhang Qifu, Cao Chaozhen, et al. Experimental study on direct reduction of vanadium and titanium-bearing sea sand ore pellets in gas-based shaft furnace[J]. Iron Steel Vanadium Titanium, 2020,41(4):7−11. (闫方兴, 章启夫, 曹朝真, 等. 气基竖炉用含钒钛海滨砂矿球团直接还原试验研究[J]. 钢铁钒钛, 2020,41(4):7−11. doi: 10.7513/j.issn.1004-7638.2020.04.002

    Yan Fangxing, Zhang Qifu, Cao Chaozhen, et al. Experimental study on direct reduction of vanadium and titanium-bearing sea sand ore pellets in gas-based shaft furnace[J]. Iron Steel Vanadium Titanium, 2020, 41(4): 7-11. doi: 10.7513/j.issn.1004-7638.2020.04.002
    [6] Hu Bing, Xie Zhicheng, Huang Zhucheng, et al. A new process for rapid direct reduction by low temperature of marine placer containing vanadic titanomagnetite[J]. Sintering and Pelletizing, 2020,45(6):16−22. (胡兵, 谢志诚, 黄柱成, 等. 钒钛磁铁海砂矿低温快速直接还原新工艺[J]. 烧结球团, 2020,45(6):16−22. doi: 10.13403/j.sjqt.2020.06.078

    Hu Bing, Xie Zhicheng, Huang Zhucheng, et al. A new process for rapid direct reduction by low temperature of marine placer containing vanadic titanomagnetite[J]. Sintering and Pelletizing, 2020, 45(6): 16-22. doi: 10.13403/j.sjqt.2020.06.078
    [7] Hu Chengfei, Yi Lingyun, Zhang Nan, et al. Mechanism for reduction-separation of indonesia iron sand intensified by pre-oxidation treatment[J]. Mining and Metallurgical Engineering, 2021,41(6):161−166. (胡程飞, 易凌云, 张楠, 等. 预氧化强化印尼海砂矿还原分离及机理研究[J]. 矿冶工程, 2021,41(6):161−166. doi: 10.3969/j.issn.0253-6099.2021.06.039

    Hu Chengfei, Yi Lingyun, Zhang Nan, et al. Mechanism for reduction-separation of indonesia iron sand intensified by pre-oxidation treatment[J]. Mining and Metallurgical Engineering, 2021, 41(6): 161-166. doi: 10.3969/j.issn.0253-6099.2021.06.039
    [8] Taylor P R, Shuey S A, Vidal E E, et al. Extractive metallurgy of vanadium-containing titaniferous magnetite ores: a review[J]. Mining, Metallurgy & Exploration, 2006,23(2):80−86.
    [9] Ghiyats Muhammad Faris, Maksum Ahmad, Soedarsono Johny Wahyuadi. Preliminary study on the use of rice husk as a reducing agent in iron sand reduction[J]. IOP Conference Series:Materials Science and Engineering, 2019,553:12036. doi: 10.1088/1757-899X/553/1/012036
    [10] Geng Chao, Sun Tichang, Yang Huifen, et al. Effect of additives on titanium and iron separation from beach titanomagnetite by direct reduction followed by magnetic separation[J]. The Chinese Journal of Nonferrous Metals, 2017,27(8):1720−1728. (耿超, 孙体昌, 杨慧芬, 等. 添加剂对海滨钛磁铁矿直接还原磁选钛铁分离的影响[J]. 中国有色金属学报, 2017,27(8):1720−1728. doi: 10.19476/j.ysxb.1004.0609.2017.08.23

    Geng Chao, Sun Tichang, Yang Huifen, et al. Effect of additives on titanium and iron separation from beach titanomagnetite by direct reduction followed by magnetic separation[J]. The Chinese Journal of Nonferrous Metals, 2017, 27(8): 1720-1728. doi: 10.19476/j.ysxb.1004.0609.2017.08.23
    [11] Liu Songli, Bai Chenguang. Technology research and development trend of direct reduction[J]. Journal of Iron and Steel Research, 2011,23(3):1−5. (刘松利, 白晨光. 直接还原技术的进展与展望[J]. 钢铁研究学报, 2011,23(3):1−5. doi: 10.13228/j.boyuan.issn1001-0963.2011.03.009

    Liu Songli, Bai Chenguang. Technology research and development trend of direct reduction[J]. Journal of Iron and Steel Research, 2011, 23(3): 1-5. doi: 10.13228/j.boyuan.issn1001-0963.2011.03.009
    [12] Maurício C Bagatini, Tao Kan, Tim J Evans, et al. Iron ore reduction by biomass volatiles[J]. Journal of Sustainable Metallurgy, 2021,(prepublish):215−226.
    [13] Huang Zhucheng, Cai Wei, Yi Lingyun, et al. Conversion characteristics of biomass gasification using vanadium titanomagnetite as oxygen carrier[J]. The Chinese Journal of Nonferrous Metals, 2020,30(12):2980−2988. (黄柱成, 蔡威, 易凌云, 等. 钒钛磁铁矿为氧载体的生物质气化转化特性[J]. 中国有色金属学报, 2020,30(12):2980−2988. doi: 10.11817/j.ysxb.1004.0609.2020-36481

    Huang Zhucheng, Cai Wei, Yi Lingyun, et al. Conversion characteristics of biomass gasification using vanadium titanomagnetite as oxygen carrier[J]. The Chinese Journal of Nonferrous Metals, 2020, 30(12): 2980-2988. doi: 10.11817/j.ysxb.1004.0609.2020-36481
    [14] Guo Dabin, Hu Mian, Pu Chengxi, et al. Kinetics and mechanisms of direct reduction of iron ore-biomass composite pellets with hydrogen gas[J]. International Journal of Hydrogen Energy, 2015,40(14):4733−4740. doi: 10.1016/j.ijhydene.2015.02.065
    [15] Chen Wenxuan, Liu Peng, Li Xueqin, et al. Research progress of catalytic cracking catalysts for biomass tar[J]. China Forest Products Industry, 2022,59(3):41−48. (陈文轩, 刘鹏, 李学琴, 等. 生物质焦油催化裂解催化剂的研究进展[J]. 林产工业, 2022,59(3):41−48.

    Chen Wenxuan, Liu Peng, Li Xueqin, et al. Research progress of catalytic cracking catalysts for biomass tar[J]. China Forest Products Industry, 2022, 59(3): 41-48.
  • 加载中
图(11) / 表(4)
计量
  • 文章访问数:  411
  • HTML全文浏览量:  156
  • PDF下载量:  13
  • 被引次数: 0
出版历程
  • 收稿日期:  2023-03-16
  • 刊出日期:  2023-06-30

目录

    /

    返回文章
    返回