中文核心期刊

SCOPUS 数据库收录期刊

中国科技核心期刊

美国《化学文摘》来源期刊

中国优秀冶金期刊

美国EBSCO数据库收录期刊

RCCSE中国核心学术期刊

美国《剑桥科学文摘》来源期刊

中国应用核心期刊(CACJ)

美国《乌利希期刊指南》收录期刊

中国学术期刊综合评价统计源刊

俄罗斯《文摘杂志》来源期刊

优秀中文科技期刊(西牛计划)

日本《科学技术文献数据库》(JST)收录刊

留言板

尊敬的读者、作者、审稿人, 关于本刊的投稿、审稿、编辑和出版的任何问题, 您可以本页添加留言。我们将尽快给您答复。谢谢您的支持!

姓名
邮箱
手机号码
标题
留言内容
验证码

工业硫酸氧钛溶液制备高比表面积二氧化钛及其性能研究

蒲洪 张桓

蒲洪, 张桓. 工业硫酸氧钛溶液制备高比表面积二氧化钛及其性能研究[J]. 钢铁钒钛, 2023, 44(3): 33-38. doi: 10.7513/j.issn.1004-7638.2023.03.005
引用本文: 蒲洪, 张桓. 工业硫酸氧钛溶液制备高比表面积二氧化钛及其性能研究[J]. 钢铁钒钛, 2023, 44(3): 33-38. doi: 10.7513/j.issn.1004-7638.2023.03.005
Pu Hong, Zhang Huan. Preparation of titania with high surface area by industrial titanyl sulfate solution and its properties study[J]. IRON STEEL VANADIUM TITANIUM, 2023, 44(3): 33-38. doi: 10.7513/j.issn.1004-7638.2023.03.005
Citation: Pu Hong, Zhang Huan. Preparation of titania with high surface area by industrial titanyl sulfate solution and its properties study[J]. IRON STEEL VANADIUM TITANIUM, 2023, 44(3): 33-38. doi: 10.7513/j.issn.1004-7638.2023.03.005

工业硫酸氧钛溶液制备高比表面积二氧化钛及其性能研究

doi: 10.7513/j.issn.1004-7638.2023.03.005
基金项目: 四川省自然科学基金(2022NSFSC0307);攀枝花市指导性科技计划项目(2020ZD-G-9);四川省高校重点实验室开发基金项目(LYJ2103)。
详细信息
    作者简介:

    蒲洪,1986年出生,男,四川南充人,硕士研究生,主要从事功能材料及制备技术的研究,E-mail:puhongyongde@126.com

  • 中图分类号: TF823,TQ621

Preparation of titania with high surface area by industrial titanyl sulfate solution and its properties study

  • 摘要: 以工业硫酸氧钛溶液为钛源,利用水热法制备高比表面积二氧化钛,考察了水热反应时间、煅烧温度对比表面积影响。采用BET、XRD、XPS、SEM、TEM、紫外可见漫反射等对样品进行表征,并以罗丹明B对二氧化钛可见光催化性能进行评价。研究表明,恰当的水热反应时间和较低的煅烧温度有利于制备出高比表面积二氧化钛。水热反应3 h、煅烧温度300 ℃所得二氧化钛具有最高的比表面积,达214.3 m2/g,其在可见光降解罗丹明B时表现出明显优于商品二氧化钛P25的活性,2 h降解率达90.3%,这是因为所制二氧化钛具有更高的比表面积和较优的可见光吸收。
  • 图  1  不同偏钛酸比表面积

    Figure  1.  Specific surface area of titanic acid at different hydrothermal time

    图  2  不同煅烧温度所得二氧化钛的XRD谱

    Figure  2.  XRD patterns of titania obtained at different calcination temperature

    图  3  不同温度煅烧二氧化钛红外光谱

    Figure  3.  FT-IR patterns of titania obtained at different calcination temperature

    图  4  300 ℃煅烧所得二氧化钛的SEM形貌(a)和TEM形貌(b)

    Figure  4.  Scanning electron microscopy image (a) and transmission electron microscopy image (b) of titania calcined at 300 ℃

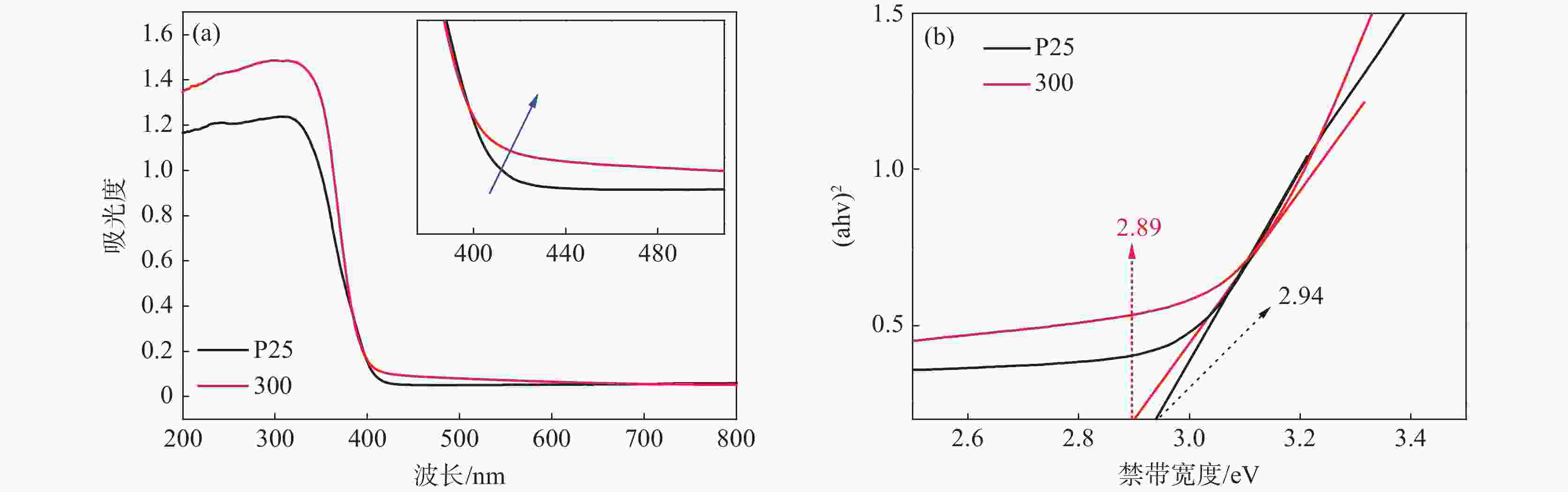
    图  5  (a)300 ℃煅烧温度所得二氧化钛和P25的紫外可见漫反射,插图为放大图片,(b)样品禁带宽度

    Figure  5.  (a) UV-vis spectra of titania calcined at 300 ℃ and P25, enlarged image(inset), (b) their corresponding estimated band gaps

    图  6  300 ℃煅烧二氧化钛的XPS分析:(a)全谱;(b)O高分辨图;(c)Ti高分辨图

    Figure  6.  XPS analysis of titania calcined at 300 ℃: (a) Complete spectra of sample, (b)Deconvoluted peak of O 1s , (c) Deconvoluted Ti 2p peak

    图  7  不同煅烧温度所得二氧化钛可见光(λ≥420 nm)降解罗丹明B

    Figure  7.  Comparison of photocatalytic activity (λ ≥ 420 nm) of RhB by titania obtained at different calcination temperature

  • [1] Zhang H, Zhang H, Zhu P, et al. Morphological effect in photocatalytic degradation of direct blue over mesoporous TiO2 catalysts[J]. Chemistry Select, 2017,(2):3282−3288.
    [2] Ali A M, Emanuelsson E A C. Conventional versus lattice photocatalysed reactions: Implications of the lattice oxygen participation in the liquid phase photocatalytic oxidation with nanostructured ZnO thin films on reaction products and mechanism at both 254 nm and 340 nm[J]. Appl. Catal. B:Environ., 2011,106:323−336. doi: 10.1016/j.apcatb.2011.05.033
    [3] Kurnaravel V, Mathew S, Bartlett J, et al. Photocatalytic hydrogen production using metal doped TiO2: A review of recent advances[J]. Appl. Catal. B:Environ., 2019,244:1021−1064. doi: 10.1016/j.apcatb.2018.11.080
    [4] Do H H, Nguyen D L T, Nguyen X C, et al. Recent progress in TiO2-based photocatalysts for hydrogen evolution reaction: A review[J]. Arab. J. Chem., 2020,13:3653−3671. doi: 10.1016/j.arabjc.2019.12.012
    [5] Malato S, Blanco J, Alarćon D C, et al. Photocatalytic decontamination and disinfection of water with solar collectors[J]. Catal. Today, 2007,122:137−149. doi: 10.1016/j.cattod.2007.01.034
    [6] Wang X, Wang X J, Zhao J F, et al. Solar light-driven photocatalytic destruction of cyanobacteria by F-Ce-TiO2/expanded perlite floating composites[J]. Chem. Eng. J., 2017,320:253−263. doi: 10.1016/j.cej.2017.03.062
    [7] Wang X, Hu R, Lei Y, et al. Highly efficient and selective photocatalytic CO2 reduction based on water-soluble CdS QDs modified by the mixed ligands in one pot[J]. Catalysis Science & Technology, 2020,10(9):2821−2829.
    [8] Li H, Gao Y, Xiong Z, et al. Enhanced selective photocatalytic reduction of CO2 to CH4 over plasmonic Au modified g-C3N4 photocatalyst under UV-vis light irradiation[J]. Applied Surface Science, 2018,439:552−559. doi: 10.1016/j.apsusc.2018.01.071
    [9] Chen Dongjie, Cheng Yanling, Zhou Nan, et al. Photocatalytic degradation of organic pollutants using TiO2-based photocatalysts: A review[J]. Journal of Cleaner Production, 2020,268:121725. doi: 10.1016/j.jclepro.2020.121725
    [10] Mo Zhangchao, Zhu Fang, Fu Mengyu, et al. Preparation and characterization of a high surface area titanium dioxide nano-microspheres[J]. Journal of Anhui University of Technology (Natural Science), 2020,37(3):236−240. (莫章超, 朱芳, 付梦雨, 等. 一种高比表面积二氧化钛纳米微球的制备与表征[J]. 安徽工业大学学报(自然科学版), 2020,37(3):236−240.

    Mo Zhangchao, Zhu Fang, Fu Mengyu, et al. Preparation and characterization of a high surface area titanium dioxide nano-microspheres[J]. J. of Anhui University of Technology (Natural Science), 2020, 37(3): 236-240.
    [11] Long Caiyan, Liu Chengchao, Zhao Yanxi, et al. Preparation of mesoporous TiO2 with high surface area and study on the performance of Fischer-Tropsch synthesis of supported cobalt catalyst[J]. Journal of Molecular Science, 2020,36(3):205−211. (龙彩燕, 刘成超, 赵燕熹, 等. 高比表面积介孔TiO2的制备及负载钴基催化剂费-托合成反应性能研究[J]. 分子科学学报, 2020,36(3):205−211.

    Long Caiyan, Liu Chengchao, Zhao Yanxi, et al. Preparation of mesoporous TiO2 with high surface area and study on the performance of Fischer-Tropsch synthesis of supported cobalt catalyst[J]. Journal of Molecular Science, 2020, 36(3): 205-211.
    [12] Chen Xiaoyun, Lu Dongfang, Tan Fei, et al. Synthesis and photocatalytic activity of mesoporous TiO2 from ionic liquid-water solvent mixture[J]. Transactions of Materials and Heat Treatment, 2013,34(10):17−24. (陈孝云, 陆东芳, 谭非, 等. 离子液体-水混合介质中合成介孔TiO2及光催化活性[J]. 材料热处理学报, 2013,34(10):17−24.

    Chen Xiaoyun, Lu Dongfang, Tan fei, et al. Synthesis and photocatalytic activity of mesoporous TiO2 from ionic liquid-water solvent mixture[J]. Transactions of Materials and Heat Treatment, 2013, 34(10): 17-24.
    [13] Yang Huanping, Peng Tianyou, Xiao Jiangrong, et al. Synthesis and characterization of porous anatase titania with high thermal stability[J]. Journal of Wuhan University (Natural Science Edition), 2006,52(4):415−420. (杨焕平, 彭天右, 肖江蓉, 等. 高热稳定的多孔锐钛矿二氧化钛的制备及表征[J]. 武汉大学学报(理学版), 2006,52(4):415−420. doi: 10.14188/j.1671-8836.2006.04.007

    Yang Huanping, Peng Tianyou, Xiao Jiangrong, et al. Synthesis and characterization of porous anatase titania with high thermal stability[J]. Journal of Wuhan University (Natural Science Edition), 2006, 52(4): 415-420. doi: 10.14188/j.1671-8836.2006.04.007
    [14] Yang Yujiao, Wang Xiao, Wang Gang, et al. Preparation of hollow microspheres of titania with nanosheets by alkaline hydrothermal method[J]. Journal of the Chinese Ceramic Society, 2014,42(10):1219−1224. (杨玉娇, 王啸, 王刚, 等. 水热法制备大比表面积二氧化钛纳米片空心微球[J]. 硅酸盐学报, 2014,42(10):1219−1224. doi: 10.7521/j.issn.0454-5648.2014.10.01

    Yang Yujiao, Wang Xiao, Wang Gang, et al. Preparation of hollow microspheres of titania with nanosheets by alkaline hydrothermal method[J]. Journal of the Chinese Ceramic Society, 2014, 42(10): 1219-1224. doi: 10.7521/j.issn.0454-5648.2014.10.01
    [15] Yu J, Xiang Q, Zhou M. Preparation, characterization and visible-light-driven photocatalytic activity of Fe-doped titania nanorods and first-principles study for electronic structures[J]. Appl. Catal. B:Environ., 2009,90:595−602. doi: 10.1016/j.apcatb.2009.04.021
    [16] Tayade R J, Surolia P K, Lazar M A, et al. Enhanced photocatalytic activity by silver metal ion exchanged NaY zeolite photocatalysts for the degradation of organic contaminants and dyes in aqueous medium[J]. Ind. Eng. Chem. Res., 2008,47:7545−7551. doi: 10.1021/ie800441c
    [17] Krishnan P, Alexander J D, Butler B J, et al. Reflectance technique for predicting soil organic matter[J]. Soil Science Society of America Journal, 1980,44(6):1282−1285. doi: 10.2136/sssaj1980.03615995004400060030x
    [18] 田从学. 从工业TiOSO4液合成介孔二氧化钛分子筛的工艺及机理研究[D]. 成都: 四川大学, 2007.

    Tian Congxue. Study on synthesis of mesoporous titania and its formation mechanism from industrial titanyl sulfate solution[D]. Chengdu : Sichuan University, 2007.
    [19] Hao R, Wang G, Jiang C, et al. In situ hydrothermal synthesis of g-C3N4/TiO2 heterojunction photocatalysts with high specific surface area for Rhodamine B degradation[J]. Appl. Surf. Sci., 2017,411:400−410. doi: 10.1016/j.apsusc.2017.03.197
    [20] Guo X, Zhang G, Cui H, et al. Porous TiB2-TiC/TiO2 heterostructures: Synthesis and enhanced photocatalytic properties from nanosheets to sweetened rolls[J]. Appl. Catal. B:Environ., 2017,217:12−20. doi: 10.1016/j.apcatb.2017.05.079
  • 加载中
图(7)
计量
  • 文章访问数:  499
  • HTML全文浏览量:  290
  • PDF下载量:  35
  • 被引次数: 0
出版历程
  • 收稿日期:  2022-12-16
  • 刊出日期:  2023-06-30

目录

    /

    返回文章
    返回