中文核心期刊

SCOPUS 数据库收录期刊

中国科技核心期刊

美国《化学文摘》来源期刊

中国优秀冶金期刊

美国EBSCO数据库收录期刊

RCCSE中国核心学术期刊

美国《剑桥科学文摘》来源期刊

中国应用核心期刊(CACJ)

美国《乌利希期刊指南》收录期刊

中国学术期刊综合评价统计源刊

俄罗斯《文摘杂志》来源期刊

优秀中文科技期刊(西牛计划)

日本《科学技术文献数据库》(JST)收录刊

留言板

尊敬的读者、作者、审稿人, 关于本刊的投稿、审稿、编辑和出版的任何问题, 您可以本页添加留言。我们将尽快给您答复。谢谢您的支持!

姓名
邮箱
手机号码
标题
留言内容
验证码

Ti-55511合金热变形行为及组织演变研究

牟芃威 吕书锋 杨培杰 康煦东 杜赵新

牟芃威, 吕书锋, 杨培杰, 康煦东, 杜赵新. Ti-55511合金热变形行为及组织演变研究[J]. 钢铁钒钛, 2023, 44(5): 61-67. doi: 10.7513/j.issn.1004-7638.2023.05.010
引用本文: 牟芃威, 吕书锋, 杨培杰, 康煦东, 杜赵新. Ti-55511合金热变形行为及组织演变研究[J]. 钢铁钒钛, 2023, 44(5): 61-67. doi: 10.7513/j.issn.1004-7638.2023.05.010
Mu Pengwei, Lü Shufeng, Yang Peijie, Kang Xudong, Du Zhaoxin. Study on thermal deformation behavior and microstructure evolution of Ti-55511 alloy[J]. IRON STEEL VANADIUM TITANIUM, 2023, 44(5): 61-67. doi: 10.7513/j.issn.1004-7638.2023.05.010
Citation: Mu Pengwei, Lü Shufeng, Yang Peijie, Kang Xudong, Du Zhaoxin. Study on thermal deformation behavior and microstructure evolution of Ti-55511 alloy[J]. IRON STEEL VANADIUM TITANIUM, 2023, 44(5): 61-67. doi: 10.7513/j.issn.1004-7638.2023.05.010

Ti-55511合金热变形行为及组织演变研究

doi: 10.7513/j.issn.1004-7638.2023.05.010
基金项目: 国家自然科学基金项目(12172182,52071185);内蒙古自治区直属高校基本科研业务费项目(JY20220086);国家级大学生创新创业训练项目 (202210128005)。
详细信息
    作者简介:

    牟芃威,2001年出生,男,内蒙古呼和浩特人,学士,主要从事钛合金微观结构与力学性能表征方面的研究,E-mail:1359047891@qq.com

    通讯作者:

    吕书锋,1983年出生,男,内蒙古宁城人,博士,教授,长期从事复合材料层合板非线性动力学方面的研究,E-mail:shufenglu@163.com

  • 中图分类号: TF823,TG146.2

Study on thermal deformation behavior and microstructure evolution of Ti-55511 alloy

  • 摘要: 通过等温热压缩模拟方法在温度为700~950 ℃和应变速率为0.001~10 s−1的工艺下研究了Ti-55511合金的热变形行为。结果表明,合金的软化机制对热加工参数的变化很敏感,在高应变速率及低变形温度的匹配下,合金因动态回复/再结晶所造成的软化行为在与形变硬化的竞争中占据主导地位,表现为流变应力的降低。此外,再结晶软化与形变硬化在高变形温度与低应变速率的匹配下达到平衡状态。对比功率耗散因子(η)可以发现,低应变速率条件下的η值较高,组织分布较为均匀,热加工性能良好。
  • 图  1  Ti-55511合金锻态组织

    Figure  1.  As-forged microstructure of Ti-55511 alloy

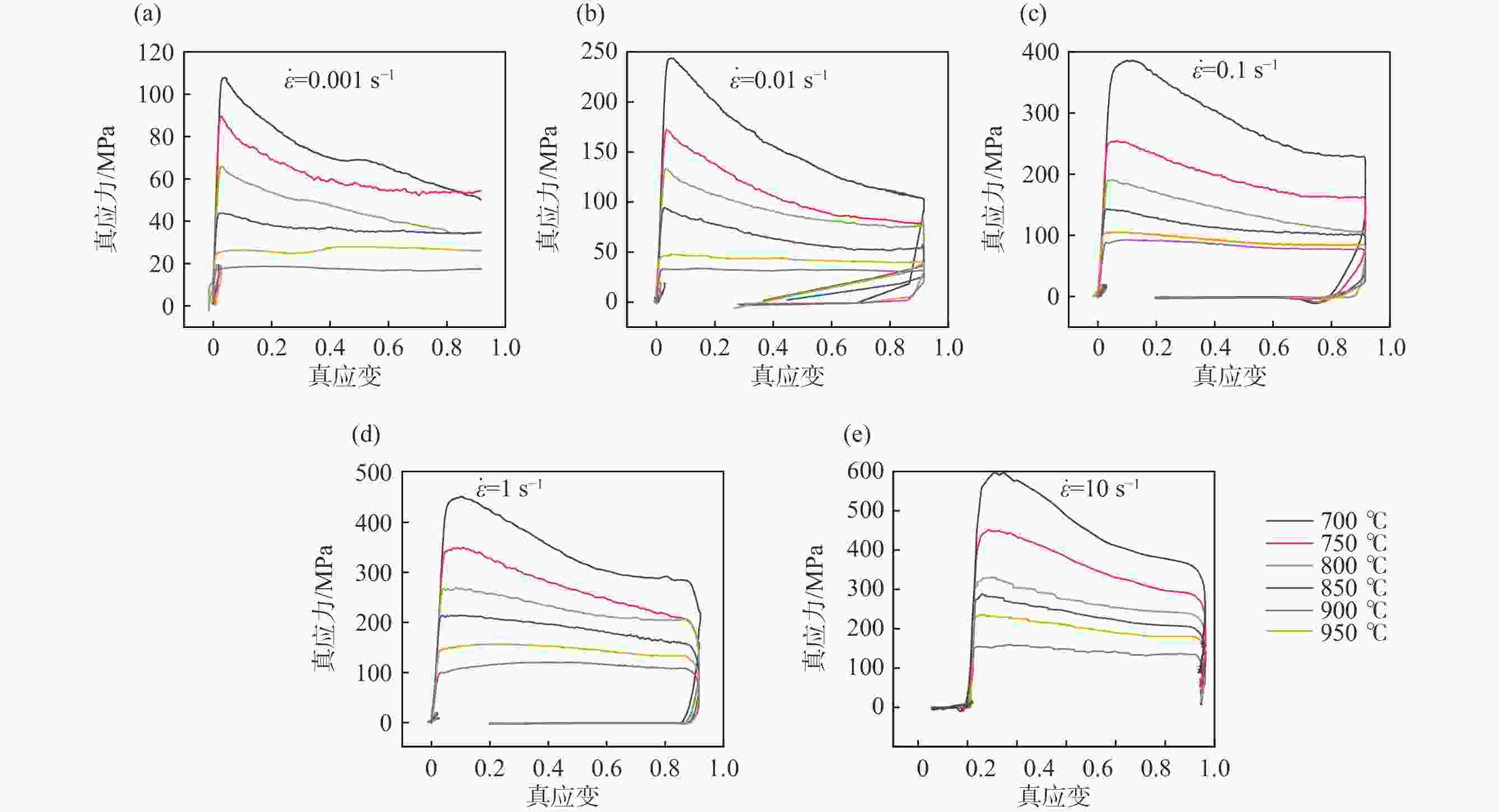
    图  2  Ti-55511合金在相同应变速率不同变形温度下的真应力-应变曲线

    Figure  2.  True stress-strain curves of Ti-55511 alloy at the same strain rate and different deformation temperatures

    (a)0.001 s−1;(b)0.01 s−1;(c)0.1 s−1;(d)1 s−1;(e)10 s−1

    图  3  Ti-55511合金在相同变形温度不同应变速率下真应力-真应变曲线

    Figure  3.  True stress-true strain curves of Ti-55511 alloy at the same deformation temperature and different strain rates

    (a)700 ℃;(b)750 ℃;(c)800 ℃;(d)850 ℃;(e)900 ℃;(f)950 ℃

    图  4  Ti-55511合金在0.01 s−1应变速率下不同温度的微观组织

    (a)950 ℃;(b)900 ℃;(c)850 ℃;(d)800 ℃;(e)750 ℃;(f)700 ℃;(c1)~(f1)为相应温度的放大倍数图片

    Figure  4.  Microstructure of Ti-55511 alloy at different temperatures at 0.01 s−1 strain rate

    图  5  Ti-55511合金在750 ℃和850 ℃变形温度条件下不同应变速率的微观组织

    Figure  5.  Microstructure of Ti-55511 alloy at different strain rates at 750 ℃ and 850 ℃

    (a)0.001 s−1, 750 ℃;(b)10 s−1, 750 ℃;(c)0.001 s−1, 850 ℃;(d)1 s−1, 850 ℃;(f)10 s−1, 850 ℃

    图  6  (a)$ \ln\dot{\varepsilon } $-$ \ln\sigma $三次样条差值拟合曲线;(b)Ti-55511合金的功率耗散图($ \varepsilon = $0.9); (c)$ \ln\left[m/\left(m+1\right)\right] $-$ \ln\dot{\varepsilon } $三次样条差值拟合曲线;(d)Ti-55511合金Prasad准则下的热加工图($ \varepsilon = $0.9);(e)-(e1$ \eta $=0.99时的Ti-55511合金微观组织;(f)-(f1$ \eta $=0.57时的Ti-55511合金微观组织

    Figure  6.  (a) Cubic spline difference fitting graph of $ \ln\dot{\varepsilon } $-$ \ln\sigma $; (b) Power dissipation diagram of Ti-55511 alloy ($\varepsilon =$0.9); (c) Cubic spline difference fitting graph of $ \ln\left[m/\left(m+1\right)\right] $-$\ln\dot{\varepsilon }$; (d) Hot working diagram of Ti-55511 alloy under Prasad criterion ($\varepsilon =$0.9); (e)-(e1) Microstructure of Ti-55511 alloy when $ \eta $=0.99 ; (f)-(f1) Microstructure of Ti-55511 alloy when $ \eta $=0.57

    表  1  Ti-55511钛合金化学成分

    Table  1.   Chemical composition of Ti-55511 alloy %

    AlMoVCrFeCSiZrONHTi
    5.474.524.811.031.50.0130.0110.1210.140.0064<0.001Bal.
    下载: 导出CSV

    表  2  Ti-55511合金高温变形参数

    Table  2.   High temperature deformation parameters of Ti-55511 alloy

    变形量/%真应变应变速率/s−1变形温度/ ℃
    600.920.001,0.01,0.1,
    1,10
    700,750,800,
    850,900,950
    下载: 导出CSV
  • [1] Banerjee D, Williams J C. Perspectives on titanium science and technology[J]. Acta Materialia, 2013,61(3):844−879. doi: 10.1016/j.actamat.2012.10.043
    [2] Viswanathan G B, Karthikeyan S R W. Creep behaviour of Ti-6Al-2Sn-4Zr-2Mo: II. Mechanisms of deformation[J]. Acta Materialia, 2002,50(20):4965−4980. doi: 10.1016/S1359-6454(02)00280-X
    [3] Nyakana S L, Fanning J C, Boyer R R. Quick reference guide for β titanium alloys in the 00s[J]. Journal of Materials Engineering and Performance, 2005,14(6):799−811. doi: 10.1361/105994905X75646
    [4] Weiss I, Semiatin S L. Flow behavior and globularization kinetics during hot working of Ti-6Al-4V with a colony alpha microstructure[J]. Materials Science and Engineering: A, 1998,243(1):46−65.
    [5] Chen Y Y, Du Z X, Xiao S L, et al. Effect of aging heat treatment on microstructure and tensile properties of a new β high strength titanium alloy[J]. Journal of Alloys and Compounds, 2014,586:588−592. doi: 10.1016/j.jallcom.2013.10.096
    [6] Jones N G, Dashwood R J, Dye D, et al. Thermomechanical processing of Ti-5Al-5Mo-5V-3Cr[J]. Materials Science and Engineering: A, 2008,490(1):369−377.
    [7] Jones N G, Dashwood R J, Dye D, et al. The flow behavior and microstructural evolution of Ti-5Al-5Mo-5V-3Cr during subtransus isothermal forging[J]. Metallurgical and Materials Transactions A, 2009,40(8):1944−1954. doi: 10.1007/s11661-009-9866-5
    [8] Dikovits M, Poletti C, Warchomicka F. Deformation mechanisms in the near-β titanium alloy Ti-55531[J]. Metallurgical and Materials Transactions A, 2014,45(3):1586−1596. doi: 10.1007/s11661-013-2073-4
    [9] Li L, Li M Q, Luo J. Mechanism in the β phase evolution during hot deformation of Ti-5Al-2Sn-2Zr-4Mo-4Cr with a transformed microstructure[J]. Acta Materialia, 2015,94:36−45. doi: 10.1016/j.actamat.2015.04.045
    [10] Li C M, Huang L, Zhao M J, et al. Hot deformation behavior and mechanism of a new metastable β titanium alloy Ti-6Cr-5Mo-5V-4Al in single phase region[J]. Materials Science and Engineering: A, 2021,814:141231. doi: 10.1016/j.msea.2021.141231
    [11] Shu Ying, Zeng Weidong, Zhou Jun, et al. A study of hot deformation behavior for BT20 aloy[J]. Materials Science and Technology, 2005,(1):66−69. (舒滢, 曾卫东, 周军, 等. BT20合金高温变形行为的研究[J]. 材料科学与工艺, 2005,(1):66−69.

    Shu Ying, Zeng Weidong, Zhou Jun, et al. A study of hot deformation behavior for BT20 aloy[J]. Materials Science and Technology, 2005(1): 66-69.
    [12] Mcqueen H J, Yue S, Ryan N D. Hot working characteristics of steels in austenitic state[J]. Journal of Materials Processing Technology, 1995,53(1):293−310.
    [13] 王丽敏. 高强度硼钢板热冲压成形过程及数值模拟研究[D]. 南昌: 南昌大学, 2011.

    Wang Limin. Study on hot stamping process and numerical simulation of high strength boron steel sheet[D]. Nanchang: Nanchang University, 2011.
    [14] Prasad Y V R K, Gegel H L, Doraivelu S M, et al. Modeling of dynamic material behavior in hot deformation: Forging of Ti-6242[J]. Metallurgical Transactions A, 1984,15(10):1883−1892. doi: 10.1007/BF02664902
  • 加载中
图(6) / 表(2)
计量
  • 文章访问数:  307
  • HTML全文浏览量:  192
  • PDF下载量:  19
  • 被引次数: 0
出版历程
  • 收稿日期:  2023-01-01
  • 网络出版日期:  2023-10-31
  • 刊出日期:  2023-10-31

目录

    /

    返回文章
    返回