中文核心期刊

SCOPUS 数据库收录期刊

中国科技核心期刊

美国《化学文摘》来源期刊

中国优秀冶金期刊

美国EBSCO数据库收录期刊

RCCSE中国核心学术期刊

美国《剑桥科学文摘》来源期刊

中国应用核心期刊(CACJ)

美国《乌利希期刊指南》收录期刊

中国学术期刊综合评价统计源刊

俄罗斯《文摘杂志》来源期刊

优秀中文科技期刊(西牛计划)

日本《科学技术文献数据库》(JST)收录刊

留言板

尊敬的读者、作者、审稿人, 关于本刊的投稿、审稿、编辑和出版的任何问题, 您可以本页添加留言。我们将尽快给您答复。谢谢您的支持!

姓名
邮箱
手机号码
标题
留言内容
验证码

铵钒氧化物的可控水热合成及其储锌性能

杨智 汤云淇 卢超 龚铭

杨智, 汤云淇, 卢超, 龚铭. 铵钒氧化物的可控水热合成及其储锌性能[J]. 钢铁钒钛, 2023, 44(6): 24-31. doi: 10.7513/j.issn.1004-7638.2023.06.004
引用本文: 杨智, 汤云淇, 卢超, 龚铭. 铵钒氧化物的可控水热合成及其储锌性能[J]. 钢铁钒钛, 2023, 44(6): 24-31. doi: 10.7513/j.issn.1004-7638.2023.06.004
Yang Zhi, Tang Yunqi, Lu Chao, Gong Ming. Controllable hydrothermal synthesis and zinc storage properties of ammonium vanadium oxides[J]. IRON STEEL VANADIUM TITANIUM, 2023, 44(6): 24-31. doi: 10.7513/j.issn.1004-7638.2023.06.004
Citation: Yang Zhi, Tang Yunqi, Lu Chao, Gong Ming. Controllable hydrothermal synthesis and zinc storage properties of ammonium vanadium oxides[J]. IRON STEEL VANADIUM TITANIUM, 2023, 44(6): 24-31. doi: 10.7513/j.issn.1004-7638.2023.06.004

铵钒氧化物的可控水热合成及其储锌性能

doi: 10.7513/j.issn.1004-7638.2023.06.004
基金项目: 教育部产学合作协同育人项目(220804429175326);成都大学2021年高等教育人才培养质量和教学改革项目(cdjgb2022094);四川省粉末冶金工程技术研究中心开放基金 (SC-FMYJ2021-11);成都大学大学生创新创业训练计划项目(CDUCX2022071)。
详细信息
    作者简介:

    杨智,1996年出生,男,四川宜宾人,在读硕士研究生,主要从事水系锌离子电池材料的研究,E-mail:1263168633@qq.com

    通讯作者:

    卢超,1985年出生,男,湖北咸宁人,博士(后),讲师,主要从事新型储能电池材料、先进复合陶瓷材料的研究,E-mail:luchao@cdu.edu.cn

  • 中图分类号: TF841.3,TM911

Controllable hydrothermal synthesis and zinc storage properties of ammonium vanadium oxides

  • 摘要: 铵钒氧化物作为水系锌离子电池正极材料具有轻质、高容量等特点,但其可控合成仍面临挑战。采用乙二醇(EG)辅助调控的一步水热法成功制备出一系列物相与形貌不同的铵钒氧化物。研究表明,当EG添加量由0 mL增加到1.6 mL,水热产物由带状(NH4)2V6O16转变为棒状NH4V4O10;当EG添加量为18 mL时,所得产物为片状(NH4)2V4O9。对比发现,棒状NH4V4O10表现出最佳的电化学性能,其在0.1 A/g电流密度下展现出415.8 mAh/g的高比容量,经过12000次循环(10 A/g电流密度下)后的容量保持率高达94.1%。NH4V4O10卓越的电化学性能得益于其单连接的氧原子与NH4+之间相互作用形成的稳定层状结构,有效增强了其循环稳定性,纳米棒状形貌以及明显的电容效应提升了其倍率性能和动力学特性。
  • 图  1  样品的物相结构与元素价态

    Figure  1.  Phase structure and valence states of the samples

    图  2  样品的SEM微观形貌

    Figure  2.  SEM images of the samples

    图  3  样品的倍率性能与循环性能

    Figure  3.  Rate capability and cycling performance of the samples

    图  4  样品的电化学可逆性

    Figure  4.  Electrochemical reversibility of the samples

    图  5  样品的电化学动力学

    Figure  5.  Electrochemical kinetics of the samples

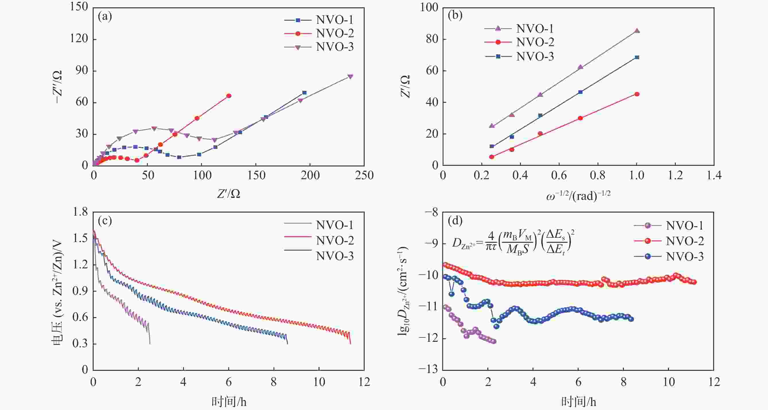
    图  6  样品的(a) 电化学阻抗谱, (b) 低频区Z'-ω−1/2关系拟合曲线, (c) GITT 曲线和(d) 锌离子扩散系数

    Figure  6.  (a) Electrochemical impedance spectra, (b) fitting curves of Z'-ω−1/2 in low frequency region, (c) GITT curves, and (d) Zn2+ diffusion coefficient of the samples

  • [1] Randau Simon, Weber Dominik A, Kötz Olaf, et al. Benchmarking the performance of all-solid-state lithium batteries[J]. Nature Energy, 2020,5(3):259−270. doi: 10.1038/s41560-020-0565-1
    [2] Ma Zhuo, Wang Kaixuan, Qiu Yunfeng, et al. Nitrogen and sulfur co-doped porous carbon derived from bio-waste as a promising electrocatalyst for zinc-air battery[J]. Energy, 2018,143:43−55. doi: 10.1016/j.energy.2017.10.110
    [3] Ma T, Wu S, Wang F, et al. Degradation mechanism study and safety hazard analysis of overdischarge on commercialized lithium-ion batteries[J]. ACS Appl Mater Interfaces, 2020,12(50):56086−56094. doi: 10.1021/acsami.0c18185
    [4] Essl Christiane, Golubkov Andrey W, Gasser Eva, et al. Comprehensive hazard analysis of failing automotive lithium-ion batteries in overtemperature experiments[J]. Batteries, 2020,6(2):30. doi: 10.3390/batteries6020030
    [5] Alfaruqi Muhammad H, Mathew Vinod, Song Jinju, et al. Electrochemical zinc intercalation in lithium vanadium oxide: A high-capacity zinc-ion battery cathode[J]. Chemistry of Materials, 2017,29(4):1684−1694. doi: 10.1021/acs.chemmater.6b05092
    [6] Ming Jun, Guo Jing, Xia Chuan, et al. Zinc-ion batteries: Materials, mechanisms, and applications[J]. Materials Science and Engineering:R:Reports, 2019,135:58−84. doi: 10.1016/j.mser.2018.10.002
    [7] Cai Kexing, Luo Shaohua, Feng Jie, et al. Recent advances on spinel zinc manganate cathode materials for zinc-ion batteries[J]. Chemical Record, 2021,22(1):1−24.
    [8] Liu Zhexuan, Qin Liping, Chen Xingyu, et al. Improving stability and reversibility via fluorine doping in aqueous zinc–manganese batteries[J]. Materials Today Energy, 2021,22:100851. doi: 10.1016/j.mtener.2021.100851
    [9] Heng Yongli, Gu Zhenyi, Guo Jinzhi, et al. Research progresses on vanadium-based cathode materials for aqueous zinc-ion batteries[J]. Acta Physico-Chimica Sinica, 2021,37(3):17−32. (衡永丽, 谷振一, 郭晋芝, 等. 水系锌离子电池用钒基正极材料的研究进展[J]. 物理化学学报, 2021,37(3):17−32.

    Heng Yongli, Gu Zhenyi, Guo Jinzhi, et al. Research progresses on vanadium-based cathode materials for aqueous zinc-ion batteries[J]. Acta Physico-Chimica Sinica, 2021, 37(3): 17-32
    [10] Zong Quan, Du Wei, Liu Chaofeng, et al. Enhanced reversible zinc ion intercalation in deficient ammonium vanadate for high-performance aqueous zinc-ion battery[J]. Nano-Micro Letters, 2021,13(1):116. doi: 10.1007/s40820-021-00641-3
    [11] Bai Youcun, Zhang Heng, Hu Qin, et al. Tuning the kinetics of binder-free ammonium vanadate cathode via defect modulation for ultrastable rechargeable zinc ion batteries[J]. Nano Energy, 2021,90:106596. doi: 10.1016/j.nanoen.2021.106596
    [12] Prześniak-Welenc Marta, Nadolska Małgorzata, Nowak Andrzej P, et al. Pressure in charge neglected parameter in hydrothermal synthesis turns out to be crucial for electrochemical properties of ammonium vanadates[J]. Electrochimica Acta, 2020,339:135919. doi: 10.1016/j.electacta.2020.135919
    [13] Sarkar S, Veluri Ps, Mitra Sagar. Morphology controlled synthesis of layered NH4V4O10 and the impact of binder on stable high rate electrochemical performance[J]. Electrochimica Acta, 2014,132:448−456. doi: 10.1016/j.electacta.2014.03.144
    [14] Kang Wenpei, Zhao Chenhao, Liu Rui, et al. Ethylene glycol-assisted nanocrystallization of LiFePO4 for a rechargeable lithium-ion battery cathode[J]. Cryst Eng Comm, 2012,14(6):2245−2250. doi: 10.1039/c2ce06423e
    [15] Sheng Rui, Hou Lihua, Wang Lei, et al. Morphology-modulation of (NH4)2V4O9 nanostructures for enhanced electrochemical performance as cathode material for aqueous rechargeable zinc ion batteries[J]. Solid State Ionics, 2022,385:116023. doi: 10.1016/j.ssi.2022.116023
    [16] Lu Chao, Yang Zhi, Ding Yi, et al. Enhanced electrochemical performance of ammonium vanadate (NH4V4O10) cathode for rechargeable aqueous zinc-ion batteries by altering pH regulators[J]. Materials Today Communications, 2023,35:105993. doi: 10.1016/j.mtcomm.2023.105993
    [17] Fei Hailong, Wu Xiaomin, Li Huan, et al. Novel sodium intercalated (NH4)2V6O16 platelets: High performance cathode materials for lithium-ion battery[J]. Journal of Colloid and Interface Science, 2014,415:85−88. doi: 10.1016/j.jcis.2013.10.025
    [18] Sun Rui, Qin Zhaoxia, Liu Xinlong, et al. Intercalation mechanism of the ammonium vanadate (NH4V4O10) 3D decussate superstructure as the cathode for high-performance aqueous zinc-ion batteries[J]. ACS Sustainable Chemistry & Engineering, 2021,9(35):11769−11777.
    [19] Cui Fuhan, Hu Fang, Yu Xin, et al. In-situ tuning the NH4+ extraction in (NH4)2V4O9 nanosheets towards high performance aqueous zinc ion batteries[J]. Journal of Power Sources, 2021,492:229629. doi: 10.1016/j.jpowsour.2021.229629
    [20] Jeong Unyong, Wang Yuliang, Ibisate Marta, et al. Some new developments in the synthesis, functionalization, and utilization of monodisperse colloidal spheres[J]. Advanced Functional Materials, 2005,15(12):1907−1921. doi: 10.1002/adfm.200500472
    [21] Liu Hongying, Liang Xiaoping, Jiang Tao, et al. Analysis of structural morphological changes from 3D OM V2O5 film to V2O5 nanorods film and its application in electrochromic device[J]. Solar Energy Materials and Solar Cells, 2022,238:111627. doi: 10.1016/j.solmat.2022.111627
    [22] Zhang Yifu, Jiang Hanmei, Xu Lei, et al. Ammonium vanadium oxide [(NH4)2V4O9] sheets for high capacity electrodes in aqueous zinc ion batteries[J]. ACS Applied Energy Materials, 2019,2(11):7861−7869. doi: 10.1021/acsaem.9b01299
    [23] Meng Jiashen, Liu Ziang, Niu Chaojiang, et al. A synergistic effect between layer surface configurations and K ions of potassium vanadate nanowires for enhanced energy storage performance[J]. Journal of Materials Chemistry A, 2016,4(13):4893−4899. doi: 10.1039/C6TA00556J
    [24] Xu Lei, Zhang Yifu, Jiang Hanmei, et al. Facile hydrothermal synthesis and electrochemical properties of (NH4)2V6O16 nanobelts for aqueous rechargeable zinc ion batteries[J]. Colloids and Surfaces A:Physicochemical and Engineering Aspects, 2020,593:124621. doi: 10.1016/j.colsurfa.2020.124621
    [25] Esparcia Eugene A, Chae Munseok S, Ocon Joey D, et al. Ammonium vanadium bronze (NH4V4O10) as a high-capacity cathode material for nonaqueous magnesium-ion batteries[J]. Chemistry of Materials, 2018,30(11):3690−3696. doi: 10.1021/acs.chemmater.8b00462
    [26] Lu Chao, Yang Zhi, Wang Yujie, et al. Effect of hydrothermal reaction time on electrochemical properties of (NH4)2V4O9 as cathode material for aqueous zinc ion batteries[J]. Iron Steel Vanadium Titanium, 2022,43(4):62−68. (卢超, 杨智, 汪玉洁, 等. 水热反应时间对水系锌离子电池正极材料(NH4)2V4O9电化学性能的影响[J]. 钢铁钒钛, 2022,43(4):62−68.

    Lu Chao, Yang Zhi, Wang Yujie, et al. Effect of hydrothermal reaction time on electrochemical properties of (NH4)2V4O9 as cathode material for aqueous zinc ion batteries[J]. Iron Steel Vanadium Titanium, 2022, 43(4): 62-68
    [27] Zhu Kaiyue, Wu Tao, Huang Kevin. NaCa0.6V6O16· 3H2O as an ultra-stable cathode for Zn-ion batteries: The roles of pre-inserted dual-cations and structural water in V3O8 layer[J]. Advanced Energy Materials, 2019,9(38):1901968. doi: 10.1002/aenm.201901968
    [28] Lu Chao, Yang Zhi, Wang Yujie, et al. Effect of pH regulation on zinc-storage performance of (NH4)2V4O9 electrode materials[J]. China Nonferrous Metallurgy, 2022,51(5):1−7. (卢超, 杨智, 汪玉洁, 等. pH值调控对(NH4)2V4O9电极材料储锌性能的影响[J]. 中国有色冶金, 2022,51(5):1−7.

    Lu Chao, Yang Zhi, Wang Yujie, et al. Effect of pH regulation on zinc-storage performance of (NH4)2V4O9 electrode materials[J]. China Nonferrous Metallurgy. 2022, 51(5): 1-7
    [29] Pan Zikang, Ru Qiang, Zheng Minghui, et al. Construction of hierarchical flower-shaped (NH4) 2V3O8/rGO with enhanced zinc storage performance[J]. Chem Electro Chem, 2021,8(23):4618−4824.
    [30] Zheng Jiqi, Liu Chaofeng, Tian Meng, et al. Fast and reversible zinc ion intercalation in Al-ion modified hydrated vanadate[J]. Nano Energy, 2020,70:104519. doi: 10.1016/j.nanoen.2020.104519
  • 加载中
图(6)
计量
  • 文章访问数:  408
  • HTML全文浏览量:  108
  • PDF下载量:  18
  • 被引次数: 0
出版历程
  • 收稿日期:  2023-06-27
  • 网络出版日期:  2023-12-28
  • 刊出日期:  2023-12-28

目录

    /

    返回文章
    返回