中文核心期刊

SCOPUS 数据库收录期刊

中国科技核心期刊

美国《化学文摘》来源期刊

中国优秀冶金期刊

美国EBSCO数据库收录期刊

RCCSE中国核心学术期刊

美国《剑桥科学文摘》来源期刊

中国应用核心期刊(CACJ)

美国《乌利希期刊指南》收录期刊

中国学术期刊综合评价统计源刊

俄罗斯《文摘杂志》来源期刊

优秀中文科技期刊(西牛计划)

日本《科学技术文献数据库》(JST)收录刊

留言板

尊敬的读者、作者、审稿人, 关于本刊的投稿、审稿、编辑和出版的任何问题, 您可以本页添加留言。我们将尽快给您答复。谢谢您的支持!

姓名
邮箱
手机号码
标题
留言内容
验证码

考虑应变、应变率和温度耦合作用下航空不锈钢0Cr17Ni4Cu4Nb本构模型的建立

张继林 张又铭 罗文翠 易湘斌 唐林虎 姚家宝

张继林, 张又铭, 罗文翠, 易湘斌, 唐林虎, 姚家宝. 考虑应变、应变率和温度耦合作用下航空不锈钢0Cr17Ni4Cu4Nb本构模型的建立[J]. 钢铁钒钛, 2023, 44(6): 149-159. doi: 10.7513/j.issn.1004-7638.2023.06.021
引用本文: 张继林, 张又铭, 罗文翠, 易湘斌, 唐林虎, 姚家宝. 考虑应变、应变率和温度耦合作用下航空不锈钢0Cr17Ni4Cu4Nb本构模型的建立[J]. 钢铁钒钛, 2023, 44(6): 149-159. doi: 10.7513/j.issn.1004-7638.2023.06.021
Zhang Jilin, Zhang Youming, Luo Wencui, Yi Xiangbin, Tang Linhu, Yao Jiabao. Establishment of a constitutive model of aviation stainless steel 0Cr17Ni4Cu4Nb considering the coupling effects of strain, strain rate and temperature[J]. IRON STEEL VANADIUM TITANIUM, 2023, 44(6): 149-159. doi: 10.7513/j.issn.1004-7638.2023.06.021
Citation: Zhang Jilin, Zhang Youming, Luo Wencui, Yi Xiangbin, Tang Linhu, Yao Jiabao. Establishment of a constitutive model of aviation stainless steel 0Cr17Ni4Cu4Nb considering the coupling effects of strain, strain rate and temperature[J]. IRON STEEL VANADIUM TITANIUM, 2023, 44(6): 149-159. doi: 10.7513/j.issn.1004-7638.2023.06.021

考虑应变、应变率和温度耦合作用下航空不锈钢0Cr17Ni4Cu4Nb本构模型的建立

doi: 10.7513/j.issn.1004-7638.2023.06.021
基金项目: 国家自然科学基金项目(51965031);甘肃省青年科技基金计划项目(21JR7RA351);甘肃省科技计划项目(22JR11RA156);甘肃省高等学校产业支撑(2021-CYZC-52);甘肃省重点人才项目 (甘组通字 [2022]77号);国家级大学生创新创业训练计划项目(DC2201-07)。
详细信息
    作者简介:

    张继林,1987年出生,男,甘肃民乐人,硕士,副教授,主要从事材料的动态力学性能、材料疲劳性能以及切削性能研究,E-mail:zjl-0111@163.com

    通讯作者:

    罗文翠,1969年出生,男,甘肃靖远人,硕士,教授,主要从事材料的动态力学性能、材料疲劳性能以及切削性能研究,E-mail:496021016@qq.com

  • 中图分类号: TG115.5,TG142.1

Establishment of a constitutive model of aviation stainless steel 0Cr17Ni4Cu4Nb considering the coupling effects of strain, strain rate and temperature

Funds: This work was financially supported by the Natural Science Foundation of China (XXXXXXXX).
  • 摘要: 航空不锈钢0Cr17Ni4Cu4Nb具有优良的特性,广泛应用在各个机械的重要零部件上,零件的加工过程伴随着大应变、高温和高应变率,基于此考虑耦合关系建立能够真实反映切削力学性能的本构模型,为切削仿真提供可靠的数据。以航空不锈钢0Cr17Ni4Cu4Nb为研究对象,利用万能试验机(UTM5305)和高温分离式霍普金森试验装置(Split Hopkinson Pressure Bar,SHPB,ALT1000)分别进行准静态压缩试验(温度为25 ℃,应变率为0.1、0.01、0.001s−1)和动态冲击试验(温度为25、350、500、650 ℃,应变率为750、1500、2000、260035004500 s−1),获得该材料的应力应变关系,并分析其力学性能,结果表明该材料具有应变硬化效应、温度软化效应、应变率强化效应和增塑效应。综合应变、应变率和温度三者相互作用,建立耦合作用下的Johnson-Cook(JC)本构方程,统计分析了试验数据与预测数据(原JC本构方程和修正JC本构方程数据),原JC本构方程的相关系数(R)和平均相对误差(AARE)分别为0.96833和4.77%;修正JC本构方程的相关系数(R)和平均相对误差(AARE)分别为0.987513和0.51%,表明修正JC本构方程更加准确、可靠预测高应变率下应力应变的关系。
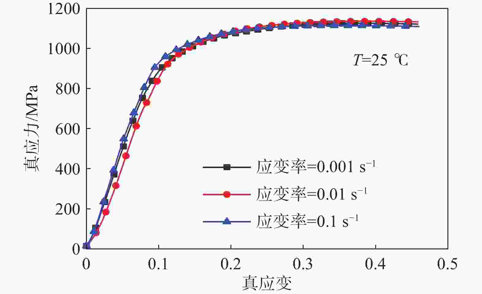
  • 图  1  准静态压缩试验的$ \varepsilon - \sigma $曲线

    Figure  1.  $ \varepsilon - \sigma $ curves by quasi-static compression tests

    图  2  不同应变率下SHPB试验$ \varepsilon - \sigma $曲线

    Figure  2.  $ \varepsilon - \sigma $ curves of SHPB under different strain rates

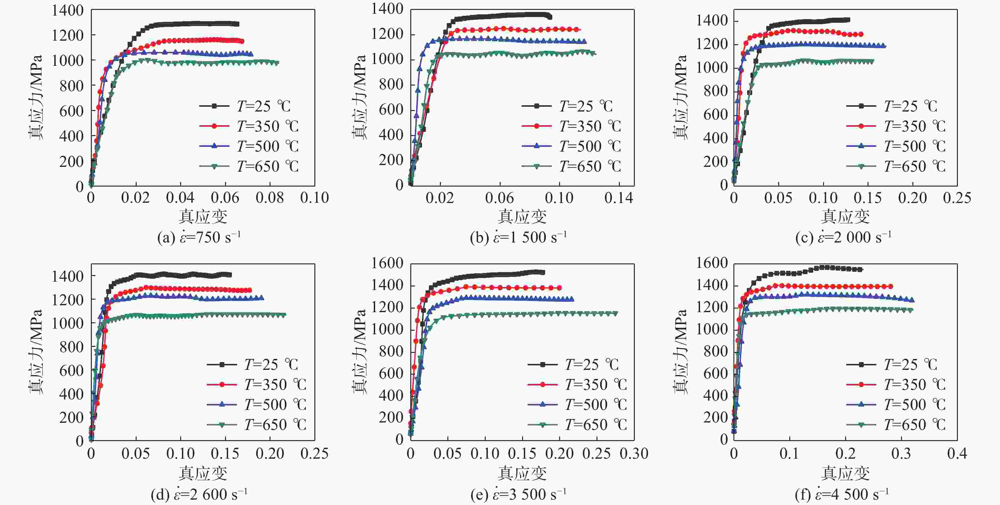
    图  3  不同温度下SHPB试验$ \varepsilon - \sigma $曲线

    Figure  3.  $ \varepsilon - \sigma $ curves of SHPB under different temperatures

    图  4  动态冲击时应变($ \varepsilon $)与应变率敏感指数($ m $)的关系

    Figure  4.  Relationship between strain ($ \varepsilon $) and strain rate sensitivity index ($ m $)

    图  5  动态冲击时应变率的对数(lg$ \dot \varepsilon $)与应变率敏感指数($ m $)的关系

    Figure  5.  The relationship between the logarithm of the strain rate (lg$ \dot \varepsilon $) and strain rate sensitivity index ($ m $)

    图  6  不同条件下试样变形

    Figure  6.  Specimen deformation under different conditions

    图  7  试验前后的试样

    Figure  7.  Samples before and after the tests

    图  8  应变项拟合曲线

    Figure  8.  Fitting curve of strain item

    图  9  原JC本构模型、修正JC本构模型真应力预测和试验值比较

    Figure  9.  Comparison of the predicted and tested true stress values between the original and modified JC constitutive models

    图  10  原JC本构模型、修正JC本构预测值和试验值之间的关系

    Figure  10.  Relationship between the original and modified JC constitutive model prediction values and experimental values

    图  11  原JC本构模型、修正JC本构模型平均相对误差比

    Figure  11.  Comparison of the average relative errors of the original and modified JC constitutive models

    表  1  0Cr17Ni4Cu4Nb不锈钢化学成分

    Table  1.   Chemical composition of 0Cr17Ni4Cu4Nb stainless steel %

    CSiCrNiMnPSCuNbFe
    0.060.8016.253.600.820.0300.0223.830.28Bal.
    下载: 导出CSV

    表  2  准静态下不同应变率和应变处的强化指数$ n $

    Table  2.   Strengthening exponent $ n $ at different strain rates and strains under quasi-static state

    $ \dot \varepsilon /{{\text{s}}^{ - 1}} $n
    $ \varepsilon $=0.20$ \varepsilon $=0.25$ \varepsilon $=0.30$ \varepsilon $=0.35$ \varepsilon $=0.40$ \varepsilon $=0.45
    0.0010.14180.12500.06250.03350.02100.0425
    0.010.16120.08490.06110.02390.01190.0390
    0.10.11870.06440.02600.00040.01450.0267
    下载: 导出CSV

    表  3  准静态试样变形量

    Table  3.   Deformation of quasi-static specimens

    应变率/$ {{\text{s}}^{ - 1}} $直径/mm厚度/mm
    0.0017.294.31
    0.017.434.11
    0.17.673.78
    下载: 导出CSV

    表  4  动态试样变形量(T=25 T=650 )

    Table  4.   Deformation of quasi-static specimens

    T/℃$ \dot \varepsilon /{{\text{s}}^{ - 1}} $$ d/{\text{mm}} $$ h/{\text{mm}} $
    257503.122.68
    15003.182.47
    2 0003.642.06
    26003.771.86
    35004.011.65
    45004.420.76
    6507503.362.40
    15003.552.22
    2 0003.711.97
    26004.131.56
    35004.371.51
    45004.470.77
    下载: 导出CSV

    表  5  应变项参数值

    Table  5.   Parameter values of strain item

    B0B1B2B3B4
    509.015815908.285821498.5435937.29523318.67
    下载: 导出CSV

    表  6  应变率项参数值

    Table  6.   Parameter values of strain rate item

    C0C1C2C3C4
    2.422660.699410.063710.0019211.18017
    C5C6C7C8C9
    3.045599.696151.586250.180260.06239
    下载: 导出CSV

    表  7  温度项参数值

    Table  7.   Parameter values of temperature item

    a0a1a2a3a4a5
    67.508369.61375118.52129333.9020215.061351.08320
    a6a7a8a9a10
    0.025521.079630.000003.530050.39414
    下载: 导出CSV
  • [1] 郭亚欢. 0Cr17Ni4Cu4Nb不锈钢热处理工艺及性能研究[D]. 哈尔滨: 哈尔滨工程大学, 2011.

    Guo Yahuan. Effect of heat treatment processes on properties of 0Cr17Ni4Cu4Nb steel[D]. Harbin: Harbin Engineering University, 2011.
    [2] 吕义郎. 0Cr17Ni4Cu4Nb不锈钢薄壁环形件胀形工艺研究[D]. 哈尔滨: 哈尔滨工程大学, 2018.

    Lü Yilang. Bulging process of 0Cr17Ni4Cu4Nb stainless steel thin-walled ring research[D]. Harbin: Harbin Engineering University, 2018.
    [3] 夏德贵. 0Cr17Ni4Cu4Nb马氏体沉淀硬化不锈钢耐海水腐蚀性能研究[D]. 哈尔滨: 哈尔滨工程大学, 2007.

    Xia Degui. Seawater corrosion resistance property of 0Cr17Ni4Cu4Nb martensitic precipitation hardening stainless steel[D]. Harbin: Harbin Engineering University, 2007.
    [4] 朱凯旋. 0Cr17Ni4Cu4Nb燃气轮机叶片材料砂带磨削的表面质量研究[D]. 重庆: 重庆大学, 2006.

    Zhu Kaixuan. Study on surface quality of the material 0Cr17Ni4Cu4Nb gas turbine blade ground by coated abrasive belt[D]. Chongqing: Chongqing University, 2006.
    [5] Remington B A, Bazan G, Belak J, et al. Materials science under extreme conditions of pressure and strain rate[J]. Metallurgical & Materials Transactions A, 2004,35(9):2587−2607.
    [6] Tian Xianhua, Yan Kuicheng, Zhao Jun, et al. Properties at elevated temperature and high strain rate and establishment of Johnson-Cook constitutive model for GH2132[J]. China Mechanical Engineering, 2022,33(7):872−881. (田宪华, 闫奎呈, 赵军, 等. GH2132高温高应变率下力学性能分析与Johnson-Cook本构模型的建立[J]. 中国机械工程, 2022,33(7):872−881.

    Tian Xianhua, Yan Kuicheng, Zhao Jun, et al. Properties at elevated temperature and high strain rate and establishment of Johnson-Cook constitutive model for GH2132[J]. China Mechanical Engineering, 2022, 33(7): 872-881.
    [7] Jamwal A, Agrawal R, Sharma M, et al. Application of optimization techniques in metal cutting operations: A biliometric analysis[J]. Materials Today: Proceedings, 2020,38(1):365−370.
    [8] Zhang Jilin, Jia Haishen, Yi Xiangbin, et al. Dynamic mechanical properties and comparison of two constitutive models for martensitic stainless steel 0Cr17Ni4Cu4Nb[J]. Materials Research Express, 2021,8(10):106501. doi: 10.1088/2053-1591/ac29f5
    [9] Chen G, Ren C, Yang X, et al. Evidence of thermoplastic instability about segmented chip formation process for Ti-6Al-4V alloy based on the finite-element method[J]//Proceedings of the Institution of Mechanical Engineers, Part C: Journal of Mechanical Engineering, 2011, 225(6): 1407-1417.
    [10] Shi Jing, Zhang Weiqiang, Guo Jin. Constitutive model of plastic deformation for metal[J]. Materials Reports, 2010,24(4):82−85. (是晶, 张伟强, 郭金. 金属塑性变形的本构模型研究[J]. 材料导报, 2010,24(4):82−85.

    Shi Jing, Zhang Weiqiang, Guo Jin. Constitutive model of plastic deformation for metal[J]. Materials Reports, 2010, 24(4): 82-85.
    [11] Zhan Lishui, Liu Cheng, Ye Junqing, et al. Research on refinement of heat treatment for improving hardness of 17-4PH (0Cr17Ni4Cu4Nb) forgings[J]. Forging & Stamping Technology, 2021,46(9):212−215. (占立水, 刘成, 叶俊青, 等. 改善17-4PH(0Cr17Ni4Cu4Nb)锻件硬度的热处理精细化研究[J]. 锻压技术, 2021,46(9):212−215.

    Zhan Lishui, Liu Cheng, Ye Junqing, et al. Research on refinement of heat treatment for improving hardness of 17-4 PH (0 Cr17 Ni4 Cu4 Nb) forgings[J]. Forging & Stamping Technology, 2021, 46(9): 212-215.
    [12] He Li. Vacuum heat treatment of 0Cr17Ni4Cu4Nb stainless steel base[J]. Heat Treatment of Metals, 2021,46(8):189−192. (贺利. 0Cr17Ni4Cu4Nb不锈钢底座的真空热处理[J]. 金属热处理, 2021,46(8):189−192.

    He Li. Vacuum heat treatment of 0 Cr17 Ni4 Cu4 Nb stainless steel base[J]. Heat Treatment of Metals, 2021, 46(8): 189-192.
    [13] Zhang Xuezhen, Lü Kang, Shi Yaocheng, et al. Study on drill thrust and chip in ultrasonic vibration drilling of 0Cr17Ni4Cu4Nb[J]. Machine Tool & Hydraulics, 2018,46(19):53−55, 66. (张学忱, 吕康, 史尧臣, 等. 0Cr17Ni4Cu4Nb超声振动钻削的钻削力和切屑研究[J]. 机床与液压, 2018,46(19):53−55, 66.

    Zhang Xuezhen, Lv Kang, Shi Yaocheng, et al. Study on drill thrust and chip in ultrasonic vibration drilling of 0 Cr17 Ni4 Cu4 Nb[J]. Machine Tool & Hydraulics, 2018, 46(19): 53-55, 66.
    [14] Hu Chunyan, Liu Xinling, Tao Chunhu, et al. Failure analysis on 0Cr17Ni4Cu4Nb screws[J]. Journal of Materials Engineering, 2012,(12):21−23, 28. (胡春燕, 刘新灵, 陶春虎, 等. 0Cr17Ni4Cu4Nb钢制螺钉断裂原因分析[J]. 材料工程, 2012,(12):21−23, 28.

    Hu Chunyan, Liu Xinling, Tao Chunhu, et al. Failure analysis on 0 Cr17 Ni4 Cu4 Nb screws[J]. Journal of Materials Engineering, 2012(12): 21-23, 28.
    [15] He Zhu, Zhao Shougen, Yang Jialing, et al. Experimental investigation of the dynamic material property of stainless steel: 0Crl7Ni4Cu4Nb[J]. Journal of Materials Science and Engineering, 2007,25(3):418−421. (何著, 赵寿根, 杨嘉陵, 等. 0Crl7Ni4Cu4Nb不锈钢动态力学性能研究[J]. 材料科学与工程学报, 2007,25(3):418−421.

    He Zhu, Zhao Shougeng, Yang Jialing, et al. Experimental investigation of the dynamic material property of stainless steel: 0 Crl7 Ni4 Cu4 Nb[J]. Journal of Materials Science and Engineering, 2007, 25(3): 418-421.
    [16] 王建军. 典型金属塑性流动中反常应力峰及其本构关系[D]. 西安: 西北工业大学, 2017.

    Wang Jianjun. Anomalous stress peak in the plastic flow of typical metals and its constitutive model[D]. Xi, an: Northwestern Polytechnical University, 2017.
    [17] Johnson G R, Cook W H. A constitutive model and data for metals subjected to large strains, high strain rates and high temperatures[J]. Engineering Fracture Mechanics, 1983,21:541−548.
    [18] Liang R, Khan A S. A critical review of experimental results and constitutive models for BCC and FCC metals over a wide range of strain rates and temperatures[J]. International Journal of Plasticity, 1999,15(9):869−890. doi: 10.1016/S0749-6419(99)00016-9
    [19] 王礼立. 冲击动力学进展[M]. 北京: 中国科学技术大学出版社, 1992.

    Wang Lili. Advances in impact dynamics[M]. Beijng: University of Science and Technology of China Press, 1992.
    [20] Fang Jian, Wei Yijing, Wang Chengzhong. Analytical measurement and mechanical study on the tensile strain hardening exponent[J]. Journal of Plasticity Engineering, 2003,10(3):12−17. (方健, 魏毅静, 王承忠. 拉伸应变硬化指数的解析测定及力学分析[J]. 塑性工程报, 2003,10(3):12−17.

    Fang Jian, Wei Yijing, Wang Chengzhong. Analytical measurement and mechanical study on the tensile strain hardening exponent[J]. Journal of Plasticity Engineering, 2003, 10(3): 12-17.
    [21] Sun Xuewei, Ling Yongzhuo, Sun Jisong, et al. A method of determinig strain-hardening exponents[J]. Journal of Mechanical Strength, 1995,17(4):27−28. (孙学伟, 令永卓, 孙吉松, 等. 材料硬化指数n的确定方法[J]. 机械强度, 1995,17(4):27−28.

    Sun Xuewei, Ling Yongzhuo, Sun Jisong, et al. A method of determinig strain-hardening exponents[J]. Journal of Mechanical Strength, 1995, 17(4): 27-28.
    [22] 曹育菡. Ni-Co-Cr-Fe基高熵合金的应变强化研究[D]. 西安: 西安理工大学, 2020.

    Cao Yuhan. Study on strain hardening of Ni-Co-Cr-Fe based high entropy alloys[D]. Xi'an: Xi'an University of Technology, 2020.
    [23] 王相宇. 高温合金GH4169的切削加工性评价方法和本构模型研究[D]. 济南: 山东大学, 2016.

    Wang Xiangyu. Study on cutting performance evaluation and constitutive model of superalloy GH4169[D]. Jinan: Shandong University, 2016.
    [24] 姬芳芳. 高速切削GH4169切削区材料塑性行为研究[D]. 长春: 长春工业大学, 2018.

    Ji Fangfang. Study on cutting performance evaluation and constitutive model of superalloy GH4169[D]. Changchun: Changchun Industrial College, 2018.
    [25] Wang Xiangyu, Huang Chuanzhen, Zou Bin. Dynamic behavior and a modified Johnson–Cook constitutive model of Inconel 718 at high strain rate and elevated temperature[J]. Materials Science & Engineering A, 2013, 58(15): 385-390.
    [26] Yang Xuemei, Guo Hongzhen, Yao Zekun. Strain rate sensitivity, temperature sensitivity, and strain hardening during the isothermal compression of BT25y alloy[J]. Journal of Materials Research, 2016,31(18):2863−2875. doi: 10.1557/jmr.2016.294
    [27] Tang Changguo, Zhu Jinhua, Zhou Huijiu. Phenomena and analysis of plastisity-increasing induced by high strain rate for some metallic materials[J]. Chinese Journal of Materials Research, 1996,(1):19−24. (唐长国, 朱金华, 周惠久. 金属材料拉伸的高应变率增塑现象及分析[J]. 材料研究学报, 1996,(1):19−24.

    Tang Changguo, Zhu Jinhua, Zhou Huijiu. Phenomena and analysis of plastisity-increasing induced by high strain rate for some metallic materials[J]. Chinese Journal of Materials Research, 1996(1): 19-24.
    [28] 冯端. 金属物理学-金属力学性能[M]. 北京: 科学出版社, 1999.

    Feng Duan. Metal physics-metal mechanical properties[M]. Beijng: Science Press, 1999.
    [29] 李庆生. 材料强度学[M]. 太原: 山西科学教育出版社, 1999.

    Li Qingsheng. Material strength[M]. Taiyuan: Shanxi Science Education Press, 1999.
    [30] 李川平. Ti6Al4V钛合金动态本构模型与高速切削有限元模拟研究[D]. 兰州: 兰州理工大学, 2011.

    Li Chuangping. The research on dynamic constitutive model of Ti6Al4V titanium alloy and finite element simulation of high-speed cutting[D]. Lanzhou: Lanzhou University of Technology, 2011.
    [31] Niu D X, Zhao C, Li D X, et al. Constitutive modeling of the flow stress behavior for the hot deformation of Cu-15Ni-8Sn alloys[J]. Frontiers in Materials, 2022,7(12):577867.
    [32] Ma Bin, Li Ping, Liang Qiang. Comparison on high-temperature flow behavior of HNi55-7-4-2 alloy predicted by modified JC model and BP-ANN algorithm[J]. Chinese Journal of Materials Research, 2021,45(1):92−99. (马斌, 李平, 梁强. 基于修正JC模型和BP-ANN算法预测HNi55-7-4-2合金高温流变行为的对比[J]. 机械工程材料, 2021,45(1):92−99.

    Ma Bing, Li Ping, Liang Qiang. Comparison on high-temperature flow behavior of HNi55-7-4-2 alloy predicted by modified JC model and BP-ANN algorithm[J]. Chinese Journal of Materials Research, 2021, 45(1): 92-99.
    [33] Su Nan, Chen Minghe, Xie Lansheng, et al. Dynamic mechanical characteristics and constitutive model of TC2 Ti-alloy[J]. Materials for Mechanical Engineering, 2021,35(3):201−208. (苏楠, 陈明和, 谢兰生, 等. TC2钛合金的动态力学特征及其本构模型[J]. 材料研究学报, 2021,35(3):201−208.

    Su Nan, Chen Minghe, Xie Lansheng, et al. Dynamic mechanical characteristics and constitutive model of TC2 Ti-alloy[J]. Materials for Mechanical Engineering, 2021, 35(3): 201-208.
    [34] Jia Haishen, Luo Wencui, Zhang Jilin, et al. Study on dynamic mechanical properties and constitutive model of 022Cr18Ni14Mo2 stainless steel under impact load[J]. Iron Steel Vanadium Titanium, 2022,43(2):178−185. (贾海深, 罗文翠, 张继林, 等. 冲击载荷下022Cr18Ni14Mo2不锈钢动态力学特性及其本构模型研究[J]. 钢铁钒钛, 2022,43(2):178−185. doi: 10.7513/j.issn.1004-7638.2022.02.027

    Jia Haishen, Luo Wencui, Zhang Jilin, et al. Study on dynamic mechanical properties and constitutive model of 022 Cr18 Ni14 Mo2 stainless steel under impact load[J]. Iron Steel Vanadium Titanium, 2022, 43(2): 178-185. doi: 10.7513/j.issn.1004-7638.2022.02.027
  • 加载中
图(11) / 表(7)
计量
  • 文章访问数:  504
  • HTML全文浏览量:  161
  • PDF下载量:  17
  • 被引次数: 0
出版历程
  • 收稿日期:  2023-02-06
  • 网络出版日期:  2023-12-28
  • 刊出日期:  2023-12-28

目录

    /

    返回文章
    返回