中文核心期刊

SCOPUS 数据库收录期刊

中国科技核心期刊

美国《化学文摘》来源期刊

中国优秀冶金期刊

美国EBSCO数据库收录期刊

RCCSE中国核心学术期刊

美国《剑桥科学文摘》来源期刊

中国应用核心期刊(CACJ)

美国《乌利希期刊指南》收录期刊

中国学术期刊综合评价统计源刊

俄罗斯《文摘杂志》来源期刊

优秀中文科技期刊(西牛计划)

日本《科学技术文献数据库》(JST)收录刊

留言板

尊敬的读者、作者、审稿人, 关于本刊的投稿、审稿、编辑和出版的任何问题, 您可以本页添加留言。我们将尽快给您答复。谢谢您的支持!

姓名
邮箱
手机号码
标题
留言内容
验证码

时效温度对Monel K500合金微观结构与性能的影响

贾雪梅 王杰 刘庭耀 郑淮北 王勤英 西宇辰 董立谨

贾雪梅, 王杰, 刘庭耀, 郑淮北, 王勤英, 西宇辰, 董立谨. 时效温度对Monel K500合金微观结构与性能的影响[J]. 钢铁钒钛, 2023, 44(6): 160-166. doi: 10.7513/j.issn.1004-7638.2023.06.022
引用本文: 贾雪梅, 王杰, 刘庭耀, 郑淮北, 王勤英, 西宇辰, 董立谨. 时效温度对Monel K500合金微观结构与性能的影响[J]. 钢铁钒钛, 2023, 44(6): 160-166. doi: 10.7513/j.issn.1004-7638.2023.06.022
Jia Xuemei, Wang Jie, Liu Tingyao, Zheng Huaibei, Wang Qinying, Xi Yuchen, Dong Lijin. Effect of aging temperature on microstructure and properties of Monel K500 alloy[J]. IRON STEEL VANADIUM TITANIUM, 2023, 44(6): 160-166. doi: 10.7513/j.issn.1004-7638.2023.06.022
Citation: Jia Xuemei, Wang Jie, Liu Tingyao, Zheng Huaibei, Wang Qinying, Xi Yuchen, Dong Lijin. Effect of aging temperature on microstructure and properties of Monel K500 alloy[J]. IRON STEEL VANADIUM TITANIUM, 2023, 44(6): 160-166. doi: 10.7513/j.issn.1004-7638.2023.06.022

时效温度对Monel K500合金微观结构与性能的影响

doi: 10.7513/j.issn.1004-7638.2023.06.022
基金项目: 四川省自然科学基金(2022NSFSC0325)。
详细信息
    作者简介:

    贾雪梅,1997年出生,女,甘肃漳县人,研究生,研究方向:金属表面改性,E-mail:2629231247@qq.com

  • 中图分类号: TG146.1

Effect of aging temperature on microstructure and properties of Monel K500 alloy

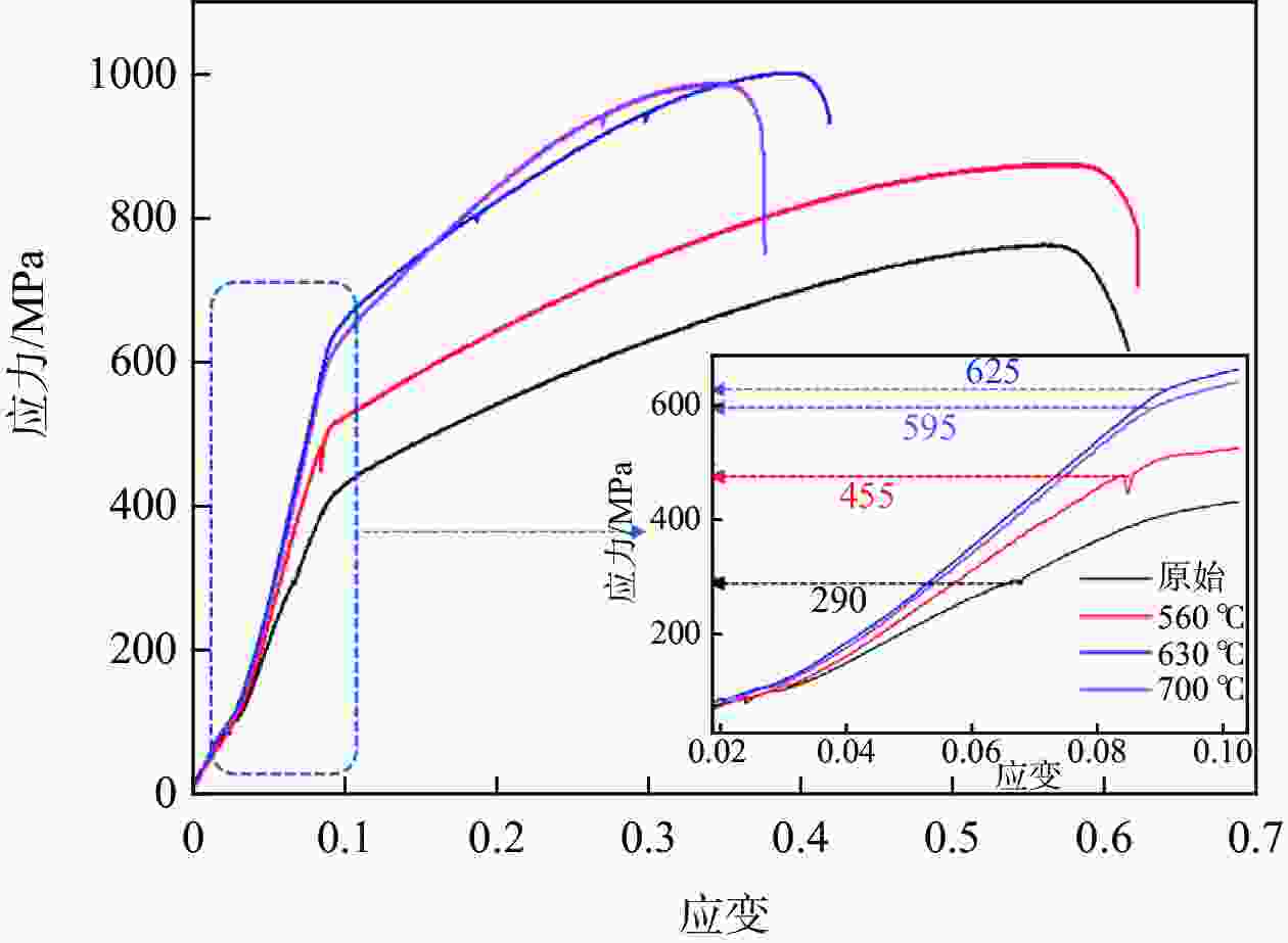
  • 摘要: 采用固溶+时效工艺对Monel K500合金进行了时效处理,通过显微硬度和拉伸性能测试,以及OM、SEM、TEM、XRD等分析表征,研究了时效温度对Monel K500合金组织结构以及性能的影响。结果表明,时效处理后形成的多边形TiC颗粒强化相主要分布在晶界处,同时晶界处Al元素含量增多,过饱和固溶体发生脱溶分解,Al、Ti元素以Ni3(Al, Ti)第二相形式析出,合金硬度与强度提高。经电化学腐蚀后,该合金生成腐蚀产物NiO和CuO。随着时效温度的升高,第二相含量逐渐增加,但过高的温度导致第二相长大,故时效温度为560~700 ℃时,强化效果随着温度升高呈先升高后降低趋势。时效温度为630 ℃时,合金的硬度(HV)为329.26,强度994.56 MPa,均达到最大值,但耐腐蚀性能在该温度下反而有所降低。
  • 图  1  Monel K500合金微观组织形貌

    Figure  1.  Morphology of Monel K500 alloy

    图  2  不同温度时效处理后Monel K500合金OM以及SEM形貌

    Figure  2.  OM and SEM images of Monel K500 alloy aged at different temperature

    (a) (a1) (a2)560 ℃;(b) (b1) (b2) 630 ℃;(c) (c1) (c2) 700 ℃

    图  3  不同温度时效处理后Monel K500合金微观形貌

    (a)原始K500合金 ;时效后: (b) 560 ℃; (c) 630 ℃; (d) 700 ℃

    Figure  3.  Microstructure of Monel K500 alloy aged at different temperature

    图  4  不同温度时效处理后Monel K500合金XRD谱

    Figure  4.  XRD patterns of Monel K500 alloy aged at different temperatures

    图  5  Monel K500合金透射电镜形貌

      (a)(a1)(a2)聚焦离子束透射电镜制样;原始K500合金: (b1)晶面间距;(b2)高分辨透射图片;时效温度630 ℃合金: (c1) 晶面间距;(c2)高分辨透射图片;(c3)衍射花样1时效处理;(c4)衍射花样2

    Figure  5.  Transmission electron microscope image of Monel K500 alloy

    图  6  TEM暗场图像: (a)原始材料;(b)630 ℃时效处理

    Figure  6.  TEM dark field images: (a) Raw K500; (b) Monel K500 after aging treatment

    图  7  Monel K500合金不同温度时效处理后应力应变曲线

    Figure  7.  Stress-strain curves of Monel K500 alloy aged at different temperatures

    图  8  时效处理前后Monel K500合金拉伸断口形貌

    (a)、(e) 原始态K500;时效后: (b)、(f) 560 ℃ ;(c)、(g) 630 ℃ ;(d)、(h) 700 ℃

    Figure  8.  Morphologies of the fracture surface of Monel K500 alloy after heat treatment at different temperatures

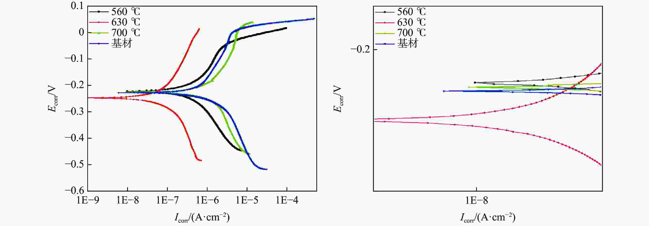
    图  9  基材和不同时效温度Monel K500合金的极化曲线

    Figure  9.  Polarization curves of the original and aged Monel K500 alloy at different aging temperatures

    图  10  Monel K500电化学腐蚀机理示意

    Figure  10.  Schematic diagram showing electrochemical corrosion mechanism

    表  1  不同温度时效处理Monel K500合金元素分布

    Table  1.   Element distribution of Monel K500 alloy aged at different temperatures

    T/ ℃位置y/%
    AlTiNiCuFeMnSi
    2513.050.6866.9127.321.090.790.16
    2526.630.2264.2926.431.040.770.22
    56037.270.5666.2824.091.230.560.00
    56046.371.1965.9024.701.170.650.00
    63057.420.7563.6226.690.8990.640.00
    63067.361.2762.9926.561.130.620.07
    70077.410.9163.3226.491.190.690.00
    70086.431.2163.4626.860.960.940.14
    下载: 导出CSV

    表  2  630 ℃时效处理Monel K500合金元素分布

    Table  2.   Element distribution in Monel K500 alloy aged at 630 ℃

    区域y/%
    AlSiTiMnFeCuNi
    1#3.021.911.322.373.3330.66bal.
    2#3.401.901.262.451.3422.72bal.
    3#6.431.323.272.152.4323.43bal.
    4#4.151.701.062.240.2035.93bal.
    下载: 导出CSV

    表  3  不同温度时效处理后Monel K500合金及显微硬度

    Table  3.   Microhardness of Monel K500 alloy aged at different temperatures

    时效温度/ ℃显微硬度(HV)
    测点1测点2测点3测点4测点5平均值
    基材243.2229.1221.0249.3248.5238.22
    560242.0243.0275.7263.4240.8252.98
    630317.0333.7326.5340.6328.5329.26
    700273.0292.8268.5280.7296.8282.36
    下载: 导出CSV

    表  4  不同温度时效处理后K500合金拉伸力学性能

    Table  4.   Tensile properties of K500 alloy aged at different temperatures

    温度/ ℃拉伸速率/

    (mm·s−1)
    抗拉强度/

    MPa
    屈服强度/

    MPa
    延伸率/
    %
    基材1.5777.2029053.80
    5601.5863.9245544.02
    6301.5994.5662533.82
    7001.5976.0459527.73
    下载: 导出CSV

    表  5  电化学腐蚀测试结果

    Table  5.   Electrochemical corrosion test results

    温度/ ℃Ecorr/mVIcorr/(A·cm−2)腐蚀速率/(mm·a−1)
    基材−227.32.190×10−62.050
    560−221.91.185×10−61.959
    630−246.24.161×10−62.868
    700−224.92.089×10−62.003
    下载: 导出CSV
  • [1] Jia Chengtao. Characteristics and application of nickel base corrosion resistant alloy[J]. China New Technology and New Products, 2017,(1):2. (贾成涛. 镍基耐蚀合金特性及其应用研究分析[J]. 中国新技术新产品, 2017,(1):2.

    Jia Chengtao. Characteristics and application of nickel base corrosion resistant alloy [J]. China New Technology and New Products, 2017(1): 2.
    [2] Shi Xiaoyu, Wen Daosheng, Wang Shouren, et al. Investigation on friction and wear performance of laser cladding Ni-based alloy coating on brake disc[J]. Optik-International Journal for Light and Electron Optics, 2021,242:167227. doi: 10.1016/j.ijleo.2021.167227
    [3] Huang Xu, Zhang Jiacheng, Cheng Yuan, et al. Effect of h-BN addition on the microstructure characteristics, residual stress and tribological behavior of WC-reinforced Ni-based composite coatings[J]. Surface and Coatings Technology, 2021,405:126534. doi: 10.1016/j.surfcoat.2020.126534
    [4] Zhu Zongyuan, Li Bangjun. Study on performance of Monel K500 alloy electric submersible pump shaft[J]. Shanghai Metals, 1997,19(6):28−32. (朱宗元, 李邦俊. 蒙乃尔K500合金潜油电泵轴性能的研宄[J]. 上海金属, 1997,19(6):28−32.

    Zhu Zongyuan, Li Bangjun. Study on performance of Monel K500 alloy electric submersible pump shaft [J]. Shanghai Metals, 1997, 19(6): 28-32.
    [5] Xu Wei, Xu Ting, Wang Lulu, et al. Research status and prospect of hard particle reinforced nickel base alloy composite coating[J]. Machinery Manufacturing & Automation, 2016,45(2):40−42. (许伟, 徐婷, 汪路路, 等. 硬质颗粒增强镍基合金复合镀层研究现状与展望[J]. 机械制造与自动化, 2016,45(2):40−42. doi: 10.3969/j.issn.1671-5276.2016.02.011

    Xu Wei, Xu Ting, Wang Lulu, et al. Research status and prospect of hard particle reinforced nickel base alloy composite coating [J]. Machinery Manufacturing & Automation, 2016, 45(2): 40-42. doi: 10.3969/j.issn.1671-5276.2016.02.011
    [6] 李赛. GH600热变形行为及显微组织分析[D]. 鞍山: 辽宁科技大学, 2012.

    Li Sai. Thermal deformation behavior and microstructure analysis of GH600 [D]. Anshan: University of Science and Technology Liaoning, 2012.
    [7] Wang Rui. Research and aplication of nickel-based high temperature alloy[J]. Modern Chemical Research, 2017,(7):50−51. (王睿. 镍基高温合金的研究和应用[J]. 当代化工研究, 2017,(7):50−51.

    Wang Rui. Research and aplication of nickel-based high temperature alloy[J]. Modern Chemical Research, 2017(7): 50-51.
    [8] Yang Qian, Huang Wanzhen, Kong Fanzhi. Microstructure and corrosion resistance of laser cladding TiC-H13 coating[J]. Hot Working Technology, 2016,45(2):117−119,122. (杨倩, 黄宛真, 孔凡志. 激光熔覆TiC-H13涂层的微结构及耐腐蚀性能的研究[J]. 热加工工艺, 2016,45(2):117−119,122.

    Yang Qian, Huang Wanzhen, Kong Fanzhi. Microstructure and corrosion resistance of laser cladding TiC-H13 coating [J]. Hot Working Technology, 2016, 45(2): 117-119, 122.
    [9] Shahmoradi A R, Talebibahmanbigloo N, Javidparvar A A, et al. Studying the adsorption/inhibition impact of the cellulose and lignin compounds extracted from agricultural waste on the mild steel corrosion in HCl solution[J]. J Mol Liq, 2020,304:112751. doi: 10.1016/j.molliq.2020.112751
    [10] Zou Juntao, Lei Chunjuan, Hong Bo, et al. Effects of melt holding time on microstructure and hardness of silicon Monel alloy[J]. Hot Working Technology, 2013,42(15):22−25. (邹军涛, 雷春娟, 洪波, 等. 熔体保温时间对含硅蒙乃尔合金组织与硬度的影响[J]. 热加工工艺, 2013,42(15):22−25.

    Zou Juntao, Lei Chunjuan, Hong Bo, et al. Effects of melt holding time on microstructure and hardness of silicon Monel alloy [J]. Hot Working Technology, 2013, 42(15): 22-25.
    [11] Han Chang, Zou Juntao, Fan Zhikan. Effect of heat treatment on microstructure and hardness of monel alloy containing silicon[J]. Transactions of Materials and Heat Treatment, 2009,30(2):105−109. (韩昶, 邹军涛, 范志康. 热处理对含Si蒙乃尔合金组织及硬度的影响[J]. 材料热处理学报, 2009,30(2):105−109.

    Han Chang, Zou Juntao, Fan Zhikan. Effect of heat treatment on microstructure and hardness of monel alloy containing silicon[J]. Transactions of Materials and Heat Treatment, 2009, 30(2): 105-109.
    [12] Prabhu Ashwin G, Sathishkumar N, Pravinkumar K, et al. Heat treatment and analysis of nickel super alloy for gas turbine applications[J]. Materials Today: Proceedings, 2021,(39):1417−1421.
    [13] Zhang Zuogui, Liu Xiangfa, Bian Xiufang. Thermodynamics and kinetic of forming TiC in Al-Ti-C system[J]. ACTA Metallurgica Sinaca, 2000,36(10):1025−1029. (张作贵, 刘相法, 边秀房. Al-Ti-C系中TiC形成的热力学与动力学研究[J]. 金属学报, 2000,36(10):1025−1029.

    Zhang Zuogui, Liu Xiangfa, Bian Xiufang. Thermodynamics and kinetic of forming TiC in Al-Ti-C system[J]. ACTA Metallurgica Sinaca, 2000, 36(10): 1025-1029
    [14] Dey G K, Tewari R, Rao P, et al. Precipitation hardening in nickel-copper base alloy monel K500[J]. Metallurgical and Materials Transactions A, 1993,24A:2709−2719.
    [15] 杨东光. Al、Si、Ti对时效Monel合金强化及抗氟性能的影响[D]. 昆明: 昆明理工大学, 2012.

    Yang Dongguang. Effect of Al、Si、Ti on strengthening and fluorine resistance of aging Monel alloy[D]. Kunming: Kunming University of Science and Technology, 2012.
    [16] Javidparvar A, Naderi R, Ramezanzadeh B. L-cysteine reduced/functionalized graphene oxide application as a smart/control release nanocarrier of sustainable cerium ions for epoxy coating anti-corrosion properties improvement[J]. J Hazard Mater, 2020,389:122−135.
  • 加载中
图(10) / 表(5)
计量
  • 文章访问数:  448
  • HTML全文浏览量:  140
  • PDF下载量:  22
  • 被引次数: 0
出版历程
  • 收稿日期:  2023-02-27
  • 网络出版日期:  2023-12-28
  • 刊出日期:  2023-12-28

目录

    /

    返回文章
    返回