Influence of microstructure and carbide evolution of low-carbon martensitic stainless steel on tool performance
-
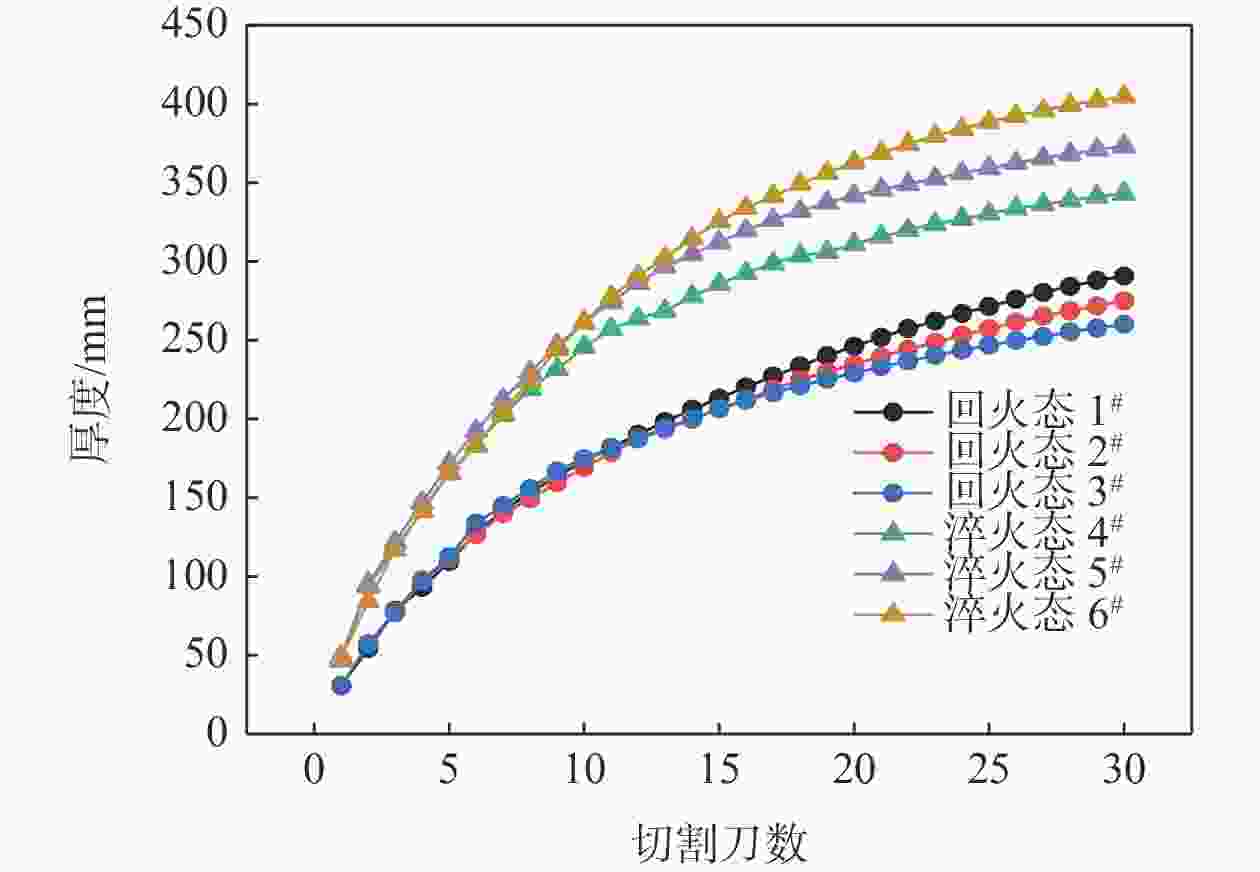
摘要: 为研究碳化物的分布、种类与刀具锋利度之间的关系,分别对30Cr13材料刀具的淬火态和回火态进行了锋利度测试和显微组织表征。结果分析表明,经过300 ℃、30 min回火处理后的刀具,其初始锋利度下降了34.6%,累计切割厚度下降了26.4%。但回火态的刀具单次切割下损失的锋利度值更小,有更好的耐用性。其原因是回火后M23C6型碳化物大量析出,通过弥散强化增强了耐磨性,而淬火马氏体中的碳减少,硬度下降,刀具锋利度降低。Abstract: In the current study, the sharpness test and microstructure characterization for the 30Cr13 cutter under the regime of quenching and tempering processes was performed to investigate the relationship between distribution and type of carbides and sharpness of cutting tools. After the tempering process (300 ℃, 30 min), the initial sharpness and cumulative thickness cuts of the cutter decrease by 34.6% and 26.4%, respectively. However, the tool under the state of tempering have a less loss of sharpness in single cutting and a better durability, and the following reasons should be considered for these results: (i) the increase of the M23C6 carbide precipitates after tempering enhances wear resistance of tools through dispersion strengthening and (ii) the reduction of carbon in the quenched martensite leads to lower hardness and sharpness of the cutter.
-
Key words:
- low-carbon martensitic stainless steel /
- 30Cr13 /
- sharpness /
- carbide /
- heat treatment /
- abrasion resistance
-
表 1 试验刀具的化学成分
Table 1. The chemical composition of the experimental steel blade
% C Mn Si P S Cr 0.30~0.36 0.50~0.70 0.50~0.70 ≤0.028 ≤0.008 12.50~13.50 表 2 淬火态和回火态刀片的洛氏硬度(HRC)测试
Table 2. Rockwell hardness (HRC) test of quenched and tempered steel blade
硬度(HRC) 点1 点2 点3 点4 点5 平均值 回火态 44.1 46.1 46.3 45.5 47.8 45.96 淬火态 49.7 48.1 48.9 49.5 51.5 49.54 -
[1] 朱勤天. 8Cr13MoV钢碳化物控制及对刀具锋利性能的影响[D]. 北京: 北京科技大学, 2019.Zhu Qintian. Effect of the control of carbides on the sharpness of knives made of 8Cr13MoV steel[D]. Beijing : University of Science and Technology Beijing, 2019. [2] Chen Jiaxin, Nie Yuesheng, Peng Zhidi, et al. Analysis of affecting factors of sharpness and edge retention of stainless steel kitchen knife[J]. Physics Examination and Testing, 2021,39(2):1−5. (陈家欣, 聂月生, 彭智迪, 等. 不锈钢厨刀锋利度和耐用度影响因素分析[J]. 物理测试, 2021,39(2):1−5. doi: 10.13228/j.boyuan.issn1001-0777.20200043Chen Jiaxin, Nie Yuesheng, Peng Zhidi, et al. Analysis of affecting factors of sharpness and edge retention of stainless steel kitchen knife[J]. Physics Examination and Testing, 2021, 39(2): 1-5. doi: 10.13228/j.boyuan.issn1001-0777.20200043 [3] 文磊. ZG1Cr11Ni2WMoV低碳马氏体不锈钢的组织与性能控制[D]. 上海: 上海交通大学, 2013.Wen Lei. Control of microstructure and mechanical properties of low carbon stainless steel ZG1Cr11Ni2WMoV[D]. Shanghai: Shanghai Jiao Tong University, 2013. [4] Wei Gaoyang, Lu Siyuan, Li Jihui, et al. Effect of inclusion on corrosion resistance of 30Cr13 and StavaxESR martensitic stainless steels[J]. Ansactions of Materialsand Heat Treatment, 2019,40(1):125−132. (魏高洋, 鲁思渊, 李积回, 等. 夹杂物对30Cr13和StavaxESR马氏体不锈钢耐蚀性能的影响[J]. 材料热处理学报, 2019,40(1):125−132.Wei Gaoyang, Lu Siyuan, Li Jihui, et al. Effect of inclusion on corrosion resistance of 30 Cr13 and StavaxESR martensitic stainless steels[J]. Ansactions of Materialsand Heat Treatment, 2019, 40(1): 125-132. [5] Zhang Hao, Zhou Min, Tang Jiping, et al. Correlation of wear resistance with carbides for Cr12MoV Steel[J]. Shanghai Metals, 2021,43(1):42−49. (章昊, 周敏, 唐季平, 等. Cr12MoV钢的耐磨性与其碳化物相关性研究[J]. 上海金属, 2021,43(1):42−49. doi: 10.3969/j.issn.1001-7208.2021.01.008Zhang Hao, Zhou Min, Tang Jiping, etal. Correlation ofwear resistance with carbides for Cr12 MoV Steel [J]. Shanghai Metals, 2021, 43(1): 42-49. doi: 10.3969/j.issn.1001-7208.2021.01.008 -
下载: