中文核心期刊

SCOPUS 数据库收录期刊

中国科技核心期刊

美国《化学文摘》来源期刊

中国优秀冶金期刊

美国EBSCO数据库收录期刊

RCCSE中国核心学术期刊

美国《剑桥科学文摘》来源期刊

中国应用核心期刊(CACJ)

美国《乌利希期刊指南》收录期刊

中国学术期刊综合评价统计源刊

俄罗斯《文摘杂志》来源期刊

优秀中文科技期刊(西牛计划)

日本《科学技术文献数据库》(JST)收录刊

留言板

尊敬的读者、作者、审稿人, 关于本刊的投稿、审稿、编辑和出版的任何问题, 您可以本页添加留言。我们将尽快给您答复。谢谢您的支持!

姓名
邮箱
手机号码
标题
留言内容
验证码

CoCrFeNiMn高熵合金拉伸力学性能和塑性变形机理对尺寸的依赖研究

安敏荣 姚俊凡 陈轩 王博 吕江艺 朱志浩 权凯 李藤

安敏荣, 姚俊凡, 陈轩, 王博, 吕江艺, 朱志浩, 权凯, 李藤. CoCrFeNiMn高熵合金拉伸力学性能和塑性变形机理对尺寸的依赖研究[J]. 钢铁钒钛, 2023, 44(6): 179-185. doi: 10.7513/j.issn.1004-7638.2023.06.025
引用本文: 安敏荣, 姚俊凡, 陈轩, 王博, 吕江艺, 朱志浩, 权凯, 李藤. CoCrFeNiMn高熵合金拉伸力学性能和塑性变形机理对尺寸的依赖研究[J]. 钢铁钒钛, 2023, 44(6): 179-185. doi: 10.7513/j.issn.1004-7638.2023.06.025
An Minrong, Yao Junfan, Chen Xuan, Wang Bo, Lü Jiangyi, Zhu Zhihao, Quan Kai, Li Teng. Study on size-dependence of tensile mechanical properties and plastic deformation mechanism in CoCrFeNiMn high entropy alloy[J]. IRON STEEL VANADIUM TITANIUM, 2023, 44(6): 179-185. doi: 10.7513/j.issn.1004-7638.2023.06.025
Citation: An Minrong, Yao Junfan, Chen Xuan, Wang Bo, Lü Jiangyi, Zhu Zhihao, Quan Kai, Li Teng. Study on size-dependence of tensile mechanical properties and plastic deformation mechanism in CoCrFeNiMn high entropy alloy[J]. IRON STEEL VANADIUM TITANIUM, 2023, 44(6): 179-185. doi: 10.7513/j.issn.1004-7638.2023.06.025

CoCrFeNiMn高熵合金拉伸力学性能和塑性变形机理对尺寸的依赖研究

doi: 10.7513/j.issn.1004-7638.2023.06.025
基金项目: 陕西省自然科学基金重点项目(2021JZ-53); 大学生创新创业训练计划项目(X202110705001)
详细信息
    作者简介:

    安敏荣,1987年出生,女,博士,讲师,主要从事金属材料的试验和数值模拟研究,E-mail: anminrong@xsyu.edu.cn

  • 中图分类号: TG13,O34

Study on size-dependence of tensile mechanical properties and plastic deformation mechanism in CoCrFeNiMn high entropy alloy

  • 摘要: 采用分子动力学模拟方法研究了不同横截面尺寸的CoCrFeNiMn高熵合金在拉伸载荷下的力学性能。模拟采用修正的嵌入原子势函数描述Co、Cr、Fe、Ni和Mn原子之间的相互作用。研究表明,CoCrFeNiMn高熵合金的拉伸性能和变形机制依赖于横截面的尺寸。峰值应力在横截面尺寸为7.00 nm时,出现了临界值,这与其中位错成核点的数目相关。随着横截面尺寸增加,塑性变形机制从非晶化主导转变为位错滑移和FCC结构向HCP结构的相变主导。该研究结果对于设计和制备高性能的高熵合金具有一定的科学价值和指导意义。
  • 图  1  CoCrFeNiMn高熵合金模型

    (a)初始构型 ;(b)经公共近邻分析得到的原子结构

    Figure  1.  Schematic diagram of CoCrFeNiMn high-entropy alloy model

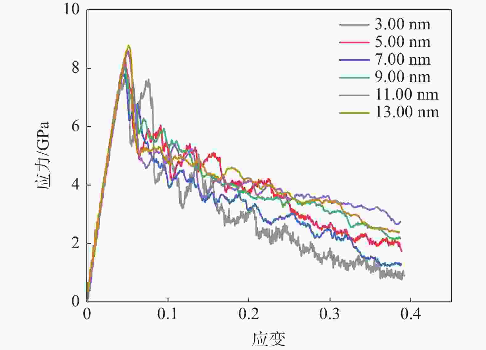
    图  2  不同横截面尺寸高熵合金的应力-应变曲线

    Figure  2.  Stress-strain curves of CoCrFeNiMn high-entropy alloys with different cross-section sizes

    图  3  高熵合金的峰值应力和平均流动应力随横截面尺寸大小的变化关系

    Figure  3.  Variation of peak stress and average flow stress of CoCrFeNiMn high-entropy alloys with different cross-section sizes

    图  4  横截面尺寸为3.00 nm的高熵合金在不同拉伸应变下的原子结构快照

    Figure  4.  Atomic configuration evolutions of the CoCrFeNiMn high-entropy alloys with cross-section of 3.00 nm at different tensile strains

    图  5  横截面尺寸为7.00 nm的高熵合金在不同拉伸应变下的结构快照

    Figure  5.  Atomic configuration evolutions of the CoCrFeNiMn high-entropy alloys with cross-section of 7.00 nm at different tensile strains

    图  6  横截面尺寸为13.00 nm的高熵合金在不同拉伸应变下的原子结构快照

    Figure  6.  Atomic configuration evolutions of the CoCrFeNiMn high-entropy alloys with cross-section of 13.00 nm at different strains

    图  7  不同横截面尺寸高熵合金在拉伸过程中的不同结构原子比例变化

    Figure  7.  Atomic fraction evolutions of different structures of the CoCrFeNiMn high-entropy alloys with different cross section size

    图  8  晶体相中的变形机理细节示意

    Figure  8.  The details of the plastic deformation mechanism in crystalline structure

  • [1] Yeh J W, Chen S K, Lin S J, et al. Nanostructured high-entropy alloys with multiple principal elements: Novel alloy design concepts and outcomes[J]. Advanced Engineering Materials, 2004,6:299−303. doi: 10.1002/adem.200300567
    [2] George E P, Raabe D, Ritchie R O. High-entropy alloys[J]. Nature Reviews Materials, 2019,4:515−534.
    [3] 乔珺威. 面心立方结构高熵合金[M]. 北京: 冶金工业出版社, 2021.

    Qiao Junwei. High entropy alloy with face-centered cubic structure [M].Beijing: Metallurgical Industry Press, 2021.
    [4] 王龙. 高熵合金涂层的微结构与耐腐蚀性能研究[D]. 自贡: 四川理工学院, 2015.

    Wang Long. Study on microstructure and corrosion resistance of high entropy alloy coatings[D]. Zigong: Sichuan University of Science and Technology, 2015.
    [5] 鲁一荻, 张骁勇, 侯硕. 高熵合金的发展及工业应用展望[J]. 稀有金属材料与工程, 2021, 50(1): 333-341.

    Lu Yidi, Zhang Xiaoyong, Hou Shuo, et al. Development and industrial application prospect of high entropy alloys[J]. Rare Metal Materials and Engineering, 2021, 50(1): 333-341.
    [6] 张荣, 祁文军, 张爽. AlxCoCrFeNi拉伸力学性能的分子动力学模拟[J]. 钢铁钒钛, 2022, 43(6): 173-179.

    Zhang Rong, Qi Wenjun, Zhang Shuang. Molecular dynamics simulation of tensile mechanical properties of AlxCoCrFeNi[J], Iron Steel Vanadium Titanium, 2022,43(6):173-179.
    [7] Zhao Haichao, Qiao Yulin, Liang Xiubing, et al. Research progress and prospect of lightweight high entropy alloys[J]. Rare Metal Materials and Engineering, 2020,49(4):1457−1468. (赵海朝, 乔玉林, 梁秀兵, 等. 轻质高熵合金的研究进展与展望[J]. 稀有金属材料与工程, 2020,49(4):1457−1468.

    Zhao Haichao, Qiao Yulin, Liang Xiubing et al. Research progress and prospect of Lightweight High Entropy Alloys [J]. Rare Metal Materials and Engineering, 2020, 49(04): 1457-1468.
    [8] Csikor F F, Motz C, Weygand D, et al. Dislocation avalanches, strain bursts, and the problem of plastic forming at the micrometer scale[J]. Science, 2017,318:251−254.
    [9] Xie K, Sirestha S, Cao Y, et al. The effect of pre-existing defects on the strength and deformation behavior of a-Fe nanopillars[J]. Acta Materialia, 2013,61:439−452. doi: 10.1016/j.actamat.2012.09.022
    [10] Zhang J Y, Lei S Y, Liu Y, et al. Length scale-dependent deformation behavior of nanolayered Cu/Zr micropillars[J]. Acta Materialia, 2012,(60):1610−1622.
    [11] Zhang J Y, Liu G, Lei S Y, et al. Transition from homogeneous-like to shear-band deformation in nanolayered crystalline Cu/amorphous Cu–Zr micropillars: Intrinsic vs. extrinsic size effect[J]. Acta Materialia, 2012,(60):7183−7196.
    [12] Yu Zou, Soumyadipta Maiti, Walter Steurer, et al. Size-dependent plasticity in an Nb25Mo25Ta25W25 refractory high-entropyalloy[J]. Acta Materialia, 2014,65:85−97. doi: 10.1016/j.actamat.2013.11.049
    [13] Indranil Basu, Vaclav Ocelík, Jeff Th M, et al. Size dependent plasticity and damage response in multiphase body centered cubic high entropy alloys[J]. Acta Materialia, 2018,150:104−116. doi: 10.1016/j.actamat.2018.03.015
    [14] An Minrong, Li Silan, Su Mengjia. Molecular dynamics simulation of size-dependent plastic deformation mechanism of CoCrFeNiMn crystal/amorphous biphase high entropy alloy[J]. Acta Physica Sinica, 2022,(24):146−157. (安敏荣, 李思澜, 宿梦嘉. 尺寸依赖的CoCrFeNiMn晶体/非晶双相高熵合金塑性变形机制的分子动力学模拟研究[J]. 物理学报, 2022,(24):146−157. doi: 10.7498/aps.71.20221368

    An Minrong, Li Silan, Su Mengjia. Molecular dynamics simulation of size-dependent plastic deformation mechanism of CoCrFeNiMn crystal/amorphous biphase high entropy alloy. Acta Physica Sinica. doi: 10.7498/aps.71.20221368.
    [15] Xiao L L, Zheng Z Q, Guo S W, et al. Ultra-strong nanostructured CrMnFeCoNi high entropy alloys[J]. Materials and Design, 2020,194:108895. doi: 10.1016/j.matdes.2020.108895
    [16] Ji W, Wu M S. Nanoscale origin of the crystalline-to-amorphous phase transformation and damage tolerance of Cantor alloys at cryogenic temperatures[J]. Acta Materialia, 2022,226:117639. doi: 10.1016/j.actamat.2022.117639
    [17] Zhao S, Li Z, Zhu C, et al. Amorphization in extreme deformation of the CrMnFeCoNi high-entropy alloy[J]. Science Advance, 2021,7:eabb3108.
    [18] Li J, Bai Z, Max Powers. et al. Deformation mechanisms in crystalline-amorphous high-entropy composite multilayers[J]. Materials Science & Engineering A, 2022, 848: 143144.
    [19] Ren J, Sun J, Xiao L, et al. Size-dependent of compression yield strength and deformation mechanism in titanium single-crystal nanopillars orientated [0001] and [11-20][J]. Materials Science & Engineering A, 2014,615:22−28.
    [20] Shuichi Nosé. A unified formulation of the constant temperature molecular dynamics methods[J]. The Journal of Chemical Physics, 1984, 81: 511.
    [21] Won-Mi Choi, Yong Hee Jo, Seok Su Sohn, et al. Understanding the physical metallurgy of the CoCrFeMnNi high-entropy alloy: an atomistic simulation study[J]. NPJ Computational Materials, 2018,4:1. doi: 10.1038/s41524-017-0060-9
    [22] Utt D, Lee S, Xing Y, et al. The origin of jerky dislocation motion in high-entropy alloys[J]. Nature Communications, 2022,13:4777. doi: 10.1038/s41467-022-32134-1
    [23] Hayakawa S, Xu H. Temperature-dependent mechanisms of dislocation-twin boundary interactions in Ni-based equiatomic alloys[J]. Acta Materialia, 2021,211:116886. doi: 10.1016/j.actamat.2021.116886
    [24] Plimpton S, Fast parallel algorithms for short-range molecular dynamics[J].Journal of Computational Physics, 1995, 117: 1-19.
    [25] Stukowski A. Visualization and analysis of atomistic simulation data with OVITO-the open visualization tool [J].Modelling and Simulation in Materials Science and Engineering, 2009, 18: 015012.
    [26] Faken D, Jónsson H. Systematic analysis of local atomic structure combined with 3D computer graphics [J]. Computational Materials Science, 1994, 2: 279-286.
    [27] Li J, Chen H, Feng H, et al. Microstructure evolution and deformation mechanism of amorphous/crystalline high-entropy-alloy composites[J]. Journal of Materials Science & Technology, 2020,54:14−19.
    [28] Shen Tianzhan, Song Haiyang, An Minrong. Molecular dynamics simulation of the effect of twin boundary on mechanical behavior of Cr26Mn20Fe20Co20Ni14 high entropy alloy[J]. Acta Physica Sinica, 2021,70(18):186201. (申天展, 宋海洋, 安敏荣. 孪晶界对Cr26Mn20Fe20Co20Ni14高熵合金力学行为影响的分子动力学模拟[J]. 物理学报, 2021,70(18):186201. doi: 10.7498/aps.70.20210324

    Shen Tianzhan, Song Haiyang, An MinRong. Molecular dynamics simulation of the effect of twin boundary on mechanical behavior of Cr26Mn20Fe20Co20Ni14 high entropy alloy[J]. Acta Physica Sinica, 2021, 70(18): 186201. doi: 10.7498/aps.70.20210324
    [29] Qi Y M, Zhao M, Feng M L. Molecular simulation of microstructure evolution and plastic deformation of nanocrystalline CoCrFeMnNi high-entropy alloy under tension and compression[J]. Journal of Alloys and Compounds, 2021,851:156923. doi: 10.1016/j.jallcom.2020.156923
    [30] Fang Q H, Chen Y, Li J, et al. Probing the phase transformation and dislocation evolution in dual-phase high-entropy alloys[J]. International Journal of Plasticity, 2019,114:161−173. doi: 10.1016/j.ijplas.2018.10.014
    [31] Chowdhury P, Canadinc D, Sehitoglu H. On deformation behavior of Fe-Mn based structural alloys[J]. Materials Science and Engineering R, 2017, 122: 1-28.
  • 加载中
图(8)
计量
  • 文章访问数:  510
  • HTML全文浏览量:  124
  • PDF下载量:  23
  • 被引次数: 0
出版历程
  • 收稿日期:  2022-10-27
  • 网络出版日期:  2023-12-28
  • 刊出日期:  2023-12-28

目录

    /

    返回文章
    返回