中文核心期刊

SCOPUS 数据库收录期刊

中国科技核心期刊

美国《化学文摘》来源期刊

中国优秀冶金期刊

美国EBSCO数据库收录期刊

RCCSE中国核心学术期刊

美国《剑桥科学文摘》来源期刊

中国应用核心期刊(CACJ)

美国《乌利希期刊指南》收录期刊

中国学术期刊综合评价统计源刊

俄罗斯《文摘杂志》来源期刊

优秀中文科技期刊(西牛计划)

日本《科学技术文献数据库》(JST)收录刊

留言板

尊敬的读者、作者、审稿人, 关于本刊的投稿、审稿、编辑和出版的任何问题, 您可以本页添加留言。我们将尽快给您答复。谢谢您的支持!

姓名
邮箱
手机号码
标题
留言内容
验证码

高碳铬轴承钢中初生碳化物尺寸的预测研究

冯乾 曾亚南 李俊国 王一同 王亚军 唐国章

冯乾, 曾亚南, 李俊国, 王一同, 王亚军, 唐国章. 高碳铬轴承钢中初生碳化物尺寸的预测研究[J]. 钢铁钒钛, 2023, 44(6): 198-204. doi: 10.7513/j.issn.1004-7638.2023.06.028
引用本文: 冯乾, 曾亚南, 李俊国, 王一同, 王亚军, 唐国章. 高碳铬轴承钢中初生碳化物尺寸的预测研究[J]. 钢铁钒钛, 2023, 44(6): 198-204. doi: 10.7513/j.issn.1004-7638.2023.06.028
Feng Qian, Zeng Yanan, Li Junguo, Wang Yitong, Wang Yajun, Tang Guozhang. Prediction of primary carbide size in high carbon chromium bearing steel[J]. IRON STEEL VANADIUM TITANIUM, 2023, 44(6): 198-204. doi: 10.7513/j.issn.1004-7638.2023.06.028
Citation: Feng Qian, Zeng Yanan, Li Junguo, Wang Yitong, Wang Yajun, Tang Guozhang. Prediction of primary carbide size in high carbon chromium bearing steel[J]. IRON STEEL VANADIUM TITANIUM, 2023, 44(6): 198-204. doi: 10.7513/j.issn.1004-7638.2023.06.028

高碳铬轴承钢中初生碳化物尺寸的预测研究

doi: 10.7513/j.issn.1004-7638.2023.06.028
基金项目: 国家自然科学基金面上项目(52274333);国家自然科学基金联合基金项目(U21A20112);高等学校科学技术研究重点项目(ZD2019001);唐山市重点研发计划项目(19140255F);河北省研究生创新项目(CXZZBS2021097)
详细信息
    作者简介:

    冯乾,1995年出生,男,博士研究生,研究方向:铸坯质量与控制,第一性原理计算,E-mail:fengqiannan@163.com

    通讯作者:

    曾亚南,1983年出生,男,博士,副教授,研究方向:铸坯质量与控制,E-mail: zengyanann@126.com

  • 中图分类号: TF76

Prediction of primary carbide size in high carbon chromium bearing steel

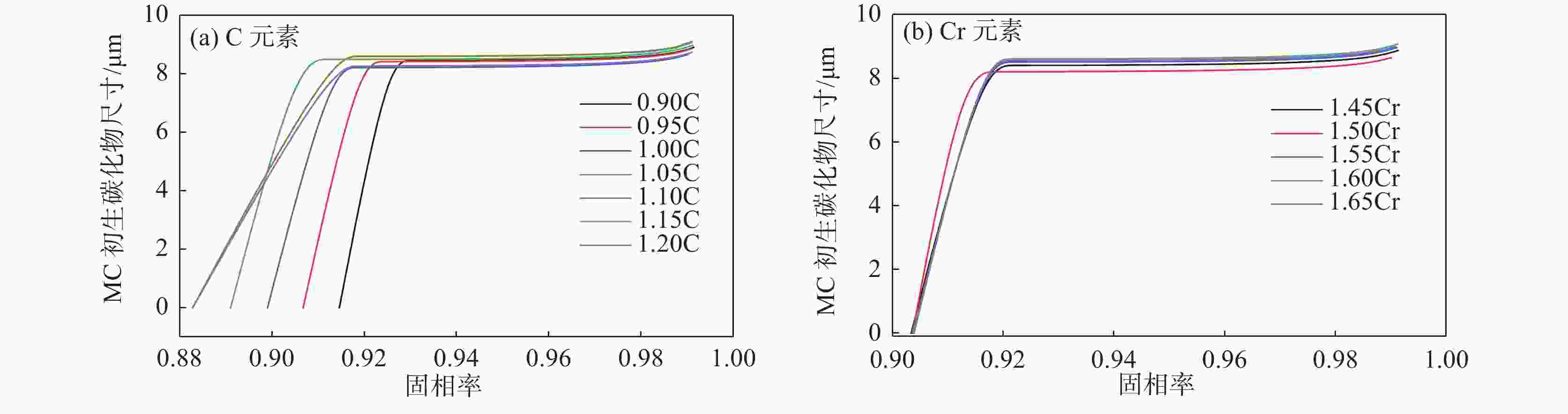
  • 摘要: 采用Thermo-Calc热力学计算软件对轴承钢凝固过程相转变规律、初生碳化物物相类型、初生碳化物析出温度进行热力学分析。基于Scheil偏析模型和Goto模型对轴承钢凝固过程中初生碳化物粒子尺寸进行预测,并通过热模拟试验和碳化物显微形貌定量分析对预测结果进行试验验证。计算结果表明,轴承钢凝固过程初生碳化物为(Fe,Cr)C型碳化物,析出温度为1158 ℃。其析出行为主要是凝固末端残留液相中C和Cr元素偏析所引起的,当固相率为0.92时,残留液相中C元素的质量分数达到4.12%;残留液相中的Cr元素质量分数达到2.59%,初生碳化物尺寸为8.2 μm。此外,钢液中C元素的增加可以使初生碳化物析出温度提高,初生碳化物尺寸增大。但是,凝固过程中初生碳化物的尺寸主要是由冷却速率决定的,当冷却速率由0.2 ℃/s增加到3 ℃/s时,初生碳化物最大尺寸由19.25 μm减小至5.02 μm,其影响机制是冷却速率增大会使初生碳化物晶体各界面附近原子扩散速率降低,使得碳化物晶体各界面各向异性生长受阻,最终导致初生碳化物尺寸减小。
  • 图  1  Thermo- Calc计算结果

    Figure  1.  Thermo-Calc calculation results of phase diagram during solidification

    图  2  GCr15轴承钢残留液相中溶质元素随固相率的变化

    Figure  2.  Variation of solute elements in residual liquid phase of GCr15 bearing steel with solid phase ratio

    图  3  凝固过程中初生碳化物尺寸随固相率的变化规律

    Figure  3.  Variation of primary carbide size with solid phase ratio during solidification

    图  4  凝固过程后初生碳化显微形貌及定性分析

    Figure  4.  Micromorphology and qualitative analysis of primary carbonization after solidification

    图  5  溶质元素含量对初生碳化物MC尺寸的影响

    Figure  5.  Effect of solute element content on MC size of primary carbide

    图  6  凝固过程不同冷却速率下初生碳化物MC尺寸的变化规律

    Figure  6.  Change MC size of primary carbide under different cooling rates during solidification

    表  1  GCr15轴承主要化学成分

    Table  1.   Main chemical composition of GCr15 bearing steel %

    CSiMnPSCrAl
    0.970.210.320.0170.0011.490.0019
    下载: 导出CSV
  • [1] 顾超. 高品质轴承钢疲劳寿命预测模型及夹杂物影响规律研究[D]. 北京: 北京科技大学, 2019.

    Gu Chao. Study on the fatigue life prediction model and the influence of inclusions on high quality bearing steel[D].Beijing: Beijing University of Science and Technology, 2019.
    [2] Wang Kun, Hu Feng, Zhou Wen, et al. Research status and development trend of bearing steel[J]. China Metallurgy, 2020,30(9):119−128. (王坤, 胡锋, 周雯, 等. 轴承钢研究现状及发展趋势[J]. 中国冶金, 2020,30(9):119−128.

    Wang Kun, Hu Feng, Zhou Wen, Wu Kaiming. Research Status and Development Trend of Bearing Steel[J]. China Metallurgy, 2020, 30 (09): 119-128
    [3] Lü Haotian, Yang Liang, Chen Hao, et al. Long life design of bearing steel[J]. China Metallurgy, 2020,30(11):16−22. (吕皓天, 杨亮, 陈浩, 等. 轴承钢的长寿命化设计[J]. 中国冶金, 2020,30(11):16−22.

    Lv Haotian, Yang Liang, Chen Hao, et al. Long Life Design of Bearing Steel[J]. China Metallurgy, 2020, 30 (11): 16-22
    [4] 关健. 航空滚动轴承用M50钢的接触疲劳损伤行为研究[D]. 哈尔滨: 哈尔滨工业大学, 2019.

    Guan Jian. Study on contact fatigue damage behavior of M50 steel for aerospace rolling bearings[D]. Harbin: Harbin Institute of Technology, 2019.
    [5] Zheng Kai, Cao Wenquan, Yu Feng, et al. Research and development status and progress of high temperature stainless carburizing bearing steel[J]. Iron and Steel, 2022,57(7):125−136. (郑凯, 曹文全, 俞峰, 等. 高温不锈渗碳轴承钢的研发现状与进展[J]. 钢铁, 2022,57(7):125−136.

    Zheng Kai, Cao Wenquan, Yu Feng, et al. Research and Development Status and Progress of High Temperature Stainless Carburizing Bearing Steel[J]. Iron and Steel, 2022, 57 (07): 125-136
    [6] 呙如兵. 高速列车轴箱轴承材料微观结构及力学性能演化规律研究[D]. 北京: 北京交通大学, 2019.

    Guo Rubing. Study on microstructure and mechanical property evolution of high-speed train axle box bearing materials[D].Beijing: Beijing Jiaotong University, 2019.
    [7] 马泽铭. 高速列车轴承微观组织与力学性能演化规律及断裂机理研究[D]. 石家庄: 石家庄铁道大学, 2021.

    Ma Zeming. Study on the evolution law and fracture mechanism of microstructure and mechanical properties of high speed train bearings[D]. Shijiazhuang: Shijiazhuang Railway University, 2021.
    [8] 韩伟. 高速精密机床球轴承力学特性分析[D]. 武汉: 武汉科技大学, 2016.

    Han Wei. Mechanical characteristics analysis of ball bearings in high speed and precision machine tools[D]. Wuhan: Wuhan University of Science and Technology, 2016.
    [9] 安立愿, 李朋, 刘德义, 等. 352226X2-2RZ轴承渗碳内圈剥离失效分析[J]. 大连交通大学学报, 2020, 40(1): 80-84.

    An Liyuan, Li Peng, Liu Deyi, et al. Failure analysis on peeling of carburized inner ring of 352226X2-2RZ bearing[J]. Journal of Dalian Jiaotong University, 2020, 40 (1): 80-84.
    [10] Fu Hanwei, Cui Yinan, Zhang Chi, et al. Progress in research on rolling contact fatigue of bearing steel[J]. China Metallurgy, 2020,30(9):11−23. (付悍巍, 崔一南, 张弛, 等. 轴承钢滚动接触疲劳研究进展[J]. 中国冶金, 2020,30(9):11−23.

    Fu Humiwei, Cui Yinan, Zhang Chi, et al. Progress in research on rolling contact fatigue of bearing steel[J]. China Metallurgy, 2020, 30 (09): 11-23
    [11] Liu Ye, Yin Qing, Li Feng, et al. Quality evaluation of ultra long fatigue life bearing steel[J]. China Metallurgy, 2020,30(9):37−40. (刘烨, 尹青, 李锋, 等. 超长疲劳寿命轴承钢的质量评价[J]. 中国冶金, 2020,30(9):37−40.

    Liu Ye, Yin Qing, Li Feng, et al. Quality Evaluation of Ultra Long Fatigue Life Bearing Steel[J]. China Metallurgical Journal, 2020, 30 (09): 37-40
    [12] Khan F A. The effect of soaking on segregation and primary-carbide dissolution in ingot-cast bearing steel[J]. Metal, 2018,8(10):1−18.
    [13] Li G, Ke L, Peng W, et al. Effects of natural aging and variable loading on very high cycle fatigue behavior of a bearing steel GCr15[J]. Theoretical and Applied Fracture Mechanics, 2022,(119):103360.
    [14] Zhang J W, Shiozawa K, Lu L T, et al. Fatigue fracture behavior of bearing steel GCr15 in very high cycle regime[J]. Advanced Materials Research, 2008,44-46:119−126.
    [15] Yu Feng, Chen Xingpin, Xu Haifeng, et al. Current status of metallurgical quality and fatigue performance of rolling bearing steels and development direction of high-end bearing steels[J]. Journal of Metals, 2020,56(4):513−522. (俞峰, 陈兴品, 徐海峰, 等. 滚动轴承钢冶金质量与疲劳性能现状及高端轴承钢发展方向[J]. 金属学报, 2020,56(4):513−522.

    Yu Feng, Chen Xingpin, Xu Haifeng, et al. Current status of metallurgical quality and fatigue performance of rolling bearing steels and development direction of high-end bearing steels[J]. Journal of Metals, 2020, 56 (04): 513-522
    [16] Zhu Zuchang, Yang Yitao. Research progress in the first, second, and third generation bearing steels and their heat treatment technologies (III)[J]. Heat Treatment Technology and Equipment, 2019,40(2):67−74. (朱祖昌, 杨弋涛. 第一、二、三代轴承钢及其热处理技术的研究进展(三)[J]. 热处理技术与装备, 2019,40(2):67−74.

    Zhu Zuchang, Yang Yitao. Research Progress in the First, Second, and Third Generation Bearing Steels and Their Heat Treatment Technologies (III)[J]. Heat Treatment Technology and Equipment, 2019, 40 (2): 67-74
    [17] Xiao Maoguo, Li Donghui, Lü Xinyang, et al. Effect of heat treatment on the microstructure and properties of high CrCoMo bearing steel[J]. Journal of Material Heat Treatment, 2018,39(8):75−81. (肖茂果, 李东辉, 吕新杨, 等. 热处理对高Cr-Co-Mo轴承钢组织与性能的影响[J]. 材料热处理学报, 2018,39(8):75−81.

    Xiao Maoguo, Li Donghui, Lv Xinyang, et al. Effect of heat treatment on the microstructure and properties of high Cr Co Mo bearing steel[J]. Journal of Material Heat Treatment, 2018, 39 (08): 75-81
    [18] 王升千. GCr15轴承钢低倍检验孔洞的形成机理及控制研究[D]. 北京: 北京科技大学, 2016.

    Wang Shengqian. Study on the formation mechanism and control of macroscopic inspection holes in GCr15 bearing steel[D]. Beijing: Beijing University of Science and Technology, 2016.
    [19] 库尔兹, 费希尔, 李建国, 等. 凝固原理[M]. 北京: 高等教育出版社, 2010.

    Kurtz, Fisher, Li Jianguo, et al. Fundamentals of solidification[M]. Beijing: Higher Education Press, 2010.
    [20] Goto H, Miyazawa K, Honma H. Effect of the primary oxide on the behavior of the oxide precipitating during solidification of steel[J]. ISIJ International, 1996,36(5):537−542. doi: 10.2355/isijinternational.36.537
    [21] 熊辉辉. 钢中碳化物析出及其界面行为的第一性原理研究[D]. 上海: 上海大学, 2019.

    Xiong Huihui. First-principles study on carbide precipitation and interfacial behavior in steel[D]. Shanghai: Shanghai University, 2019.
    [22] Du N, Liu H, Cao Y, et al. Formation mechanism of MC and M2C primary carbides in as-cast M50 bearing steel[J]. Materials Characterization, 2021,174:111011-111024. doi: 10.1016/j.matchar.2021.111011
    [23] Li Shanshan, Chen Yun, Gong Tongzhao, et al. Effect of cooling rate on solidification and precipitation mechanism of liquid precipitated carbide in high carbon chromium bearing steel[J]. Journal of Metals, 2022,58(8):1024−1034. (李闪闪, 陈云, 巩桐兆, 等. 冷速对高碳铬轴承钢液析碳化物凝固析出机制的影响[J]. 金属学报, 2022,58(8):1024−1034.

    Li Shanshan, Chen Yun, Gong Tongzhao, et al. Effect of cooling rate on solidification and precipitation mechanism of liquid precipitated carbide in high carbon chromium bearing steel[J]. Journal of Metals, 2022, 58 (08): 1024-1034
    [24] Song W, Choi P P, Inden G, et al. On the spheroidized carbide dissolution and elemental partitioning in high carbon bearing steel 100Cr6[J]. Metallurgical and Materials Transactions A, 2014,45A(2):595−606. doi: 10.1007/s11661-013-2048-5
  • 加载中
图(6) / 表(1)
计量
  • 文章访问数:  276
  • HTML全文浏览量:  70
  • PDF下载量:  15
  • 被引次数: 0
出版历程
  • 收稿日期:  2022-11-07
  • 网络出版日期:  2023-12-28
  • 刊出日期:  2023-12-28

目录

    /

    返回文章
    返回