中文核心期刊

SCOPUS 数据库收录期刊

中国科技核心期刊

美国《化学文摘》来源期刊

中国优秀冶金期刊

美国EBSCO数据库收录期刊

RCCSE中国核心学术期刊

美国《剑桥科学文摘》来源期刊

中国应用核心期刊(CACJ)

美国《乌利希期刊指南》收录期刊

中国学术期刊综合评价统计源刊

俄罗斯《文摘杂志》来源期刊

优秀中文科技期刊(西牛计划)

日本《科学技术文献数据库》(JST)收录刊

留言板

尊敬的读者、作者、审稿人, 关于本刊的投稿、审稿、编辑和出版的任何问题, 您可以本页添加留言。我们将尽快给您答复。谢谢您的支持!

姓名
邮箱
手机号码
标题
留言内容
验证码

微合金钢中碳化物在奥氏体和铁素体中的沉淀析出动力学研究

郑亚旭 杨钦 赵紫玉 魏翠虎 回士旭 吴康业

郑亚旭, 杨钦, 赵紫玉, 魏翠虎, 回士旭, 吴康业. 微合金钢中碳化物在奥氏体和铁素体中的沉淀析出动力学研究[J]. 钢铁钒钛, 2024, 45(2): 139-148. doi: 10.7513/j.issn.1004-7638.2024.02.020
引用本文: 郑亚旭, 杨钦, 赵紫玉, 魏翠虎, 回士旭, 吴康业. 微合金钢中碳化物在奥氏体和铁素体中的沉淀析出动力学研究[J]. 钢铁钒钛, 2024, 45(2): 139-148. doi: 10.7513/j.issn.1004-7638.2024.02.020
Zheng Yaxu, Yang Qin, Zhao Ziyu, Wei Cuihu, Hui Shixu, Wu Kangye. Study on the precipitation kinetics of carbides in austenite and ferrite of microalloyed steels[J]. IRON STEEL VANADIUM TITANIUM, 2024, 45(2): 139-148. doi: 10.7513/j.issn.1004-7638.2024.02.020
Citation: Zheng Yaxu, Yang Qin, Zhao Ziyu, Wei Cuihu, Hui Shixu, Wu Kangye. Study on the precipitation kinetics of carbides in austenite and ferrite of microalloyed steels[J]. IRON STEEL VANADIUM TITANIUM, 2024, 45(2): 139-148. doi: 10.7513/j.issn.1004-7638.2024.02.020

微合金钢中碳化物在奥氏体和铁素体中的沉淀析出动力学研究

doi: 10.7513/j.issn.1004-7638.2024.02.020
基金项目: 国家青年基金(52204341);国家自然科学基金面上项目(52174311,52274332);河北省钢铁联合基金(E2021208006,E2022208068)。
详细信息
    作者简介:

    郑亚旭,1983年出生,女,河北邢台人,博士,研究方向:钢铁材料强韧化,E-mail: zhengyaxu1984@163.com

    通讯作者:

    赵紫玉,1983年出生,女,河北唐山人,本科,讲师,研究方向:金属压力加工,E-mail: 281622734@qq.com

  • 中图分类号: TF76, TG142.1

Study on the precipitation kinetics of carbides in austenite and ferrite of microalloyed steels

  • 摘要: 根据多元复合析出相的固溶热力学计算和经典形核长大动力学理论,研究了Ti-Mo、Ti-Nb-Mo和Ti-Nb-Mo-V复合微合金化钢中碳化物在奥氏体(γ)和铁素体(α)中沉淀析出规律。研究表明,在γ区,Ti-Mo钢中析出相主要为富Ti的(Ti, Mo)C粒子,在较高温度区间,Ti-Nb-Mo和Ti-Nb-Mo-V钢中主要析出富Ti富Nb的碳化物粒子。在α区,Ti-Mo和Ti-Nb-Mo钢中析出相主要为富Mo的碳化物粒子,Ti-Nb-Mo-V钢主要析出富V的碳化物粒子。Ti-Mo、Ti-Nb-Mo钢中析出相在γ中沉淀析出的PTT曲线和NrT曲线分别呈“C”和反“C”形,而(Ti, Nb, Mo, V)C在奥氏体中沉淀析出NrT曲线呈反“ε”形,随着温度降低开始析出时间先缩短后延长。(Ti, Nb, Mo, V)C在高温奥氏体区形核速率最快,(Ti, Nb, Mo)C次之,(Ti, Mo)C最慢,且对应形核的最快析出温度依次升高。在铁素体区,(Ti, Mo)C和(Ti, Nb, Mo)C的PTT曲线和NrT曲线分别呈现“ε”形和反“ε”形。Ti-Nb-Mo-V钢中碳化物在整个铁素体区的形核速率快于Ti-Mo和Ti-Nb-Mo钢。
  • 图  1  温度对Ti、Mo、Nb和V平衡固溶量的影响

    Figure  1.  Effect of temperature on equilibrium solid solution of Ti, Mo, Nb and V

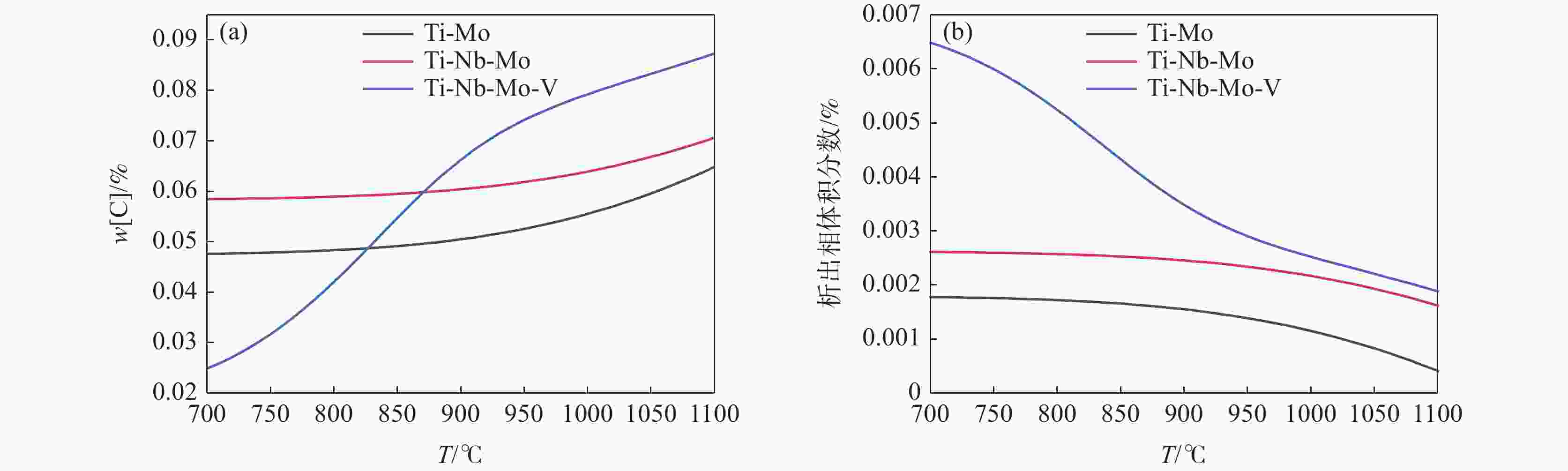
    图  2  温度对钢中C平衡固溶量(a)和奥氏体中析出相体积分数(b)的影响

    Figure  2.  Effect of temperature on C equilibrium solid solution in steel (a) and volume fraction of the precipitated phases in austenite(b)

    图  3  化学式系数随温度变化的曲线

    Figure  3.  A curve of chemical formula coefficient as a function of temperature

    图  4  钢中碳化物在奥氏体中均匀形核的NrT曲线和PTT曲线

    Figure  4.  (a) NrT and (b) PTT curves of uniform nucleation of carbides in austenite in steels

    图  5  Ti-Mo、Ti-Nb-Mo和Ti-Nb-Mo-V钢中碳化物在奥氏体中位错线上形核的NrT曲线和PTT曲线

    Figure  5.  (a) NrT curves and (b) PTT curves of carbides nucleated in austenite dislocation lines in Ti-Mo, Ti-Nb-Mo and Ti-Nb-Mo-V steels

    图  6  铁素体区加热温度对Ti-Mo、Ti-Nb-Mo和Ti-Nb-Mo-V钢中微合金元素平衡固溶量的影响

    Figure  6.  Effect of heating temperature of ferritic zone on the equilibrium solid solution of microalloying elements in Ti-Mo, Ti-Nb-Mo and Ti-Nb-Mo-V steels

    图  7  温度对化学式系数的影响

    Figure  7.  Effect of temperature on chemical formula coefficients

    图  8  铁素体区温度对Ti-Mo、Ti-Nb-Mo和Ti-Nb-Mo-V钢中析出相体积分数的影响

    Figure  8.  Effect of ferritic zone temperature on volume fraction of precipitated phases in Ti-Mo, Ti-Nb-Mo and Ti-Nb-Mo-V steels

    图  9  试验钢中析出相在铁素体中均匀形核的的NrT曲线和PTT曲线

    Figure  9.  NrT and PTT curves of uniform nucleation of the precipitated phases in ferrite in experimental steels

    图  10  Ti-Mo、Ti-Nb-Mo和Ti-Nb-Mo-V钢中析出相在铁素体中位错线上形核的NrT曲线和PTT曲线

    Figure  10.  NrT curves and PTT curves of the precipitated phases nucleation on dislocations in ferrite in Ti-Mo, Ti-Nb-Mo and Ti-Nb-Mo-V steels

    表  1  Ti-Mo、Ti-Nb-Mo和Ti-Nb-Mo-V钢的主要化学成分

    Table  1.   Main chemical compositions of Ti-Mo, Ti-Nb-Mo and Ti-Nb-Mo-V steels %

    编号钢种CSiMnNTiMoNbV
    1#Ti-Mo0.070.231.50.0030.10.2800
    2#Ti-Nb-Mo0.090.231.50.0030.10.280.070
    3#Ti-Nb-Mo-V0.110.231.50.0030.10.280.070.25
    下载: 导出CSV

    表  2  复合微合金钢中碳化物在奥氏体/铁素体中析出动力学的相关参数

    Table  2.   Parameters related to the precipitation kinetics of carbides in γ/α in composite microalloy steels

    析出相固溶度积M元素的扩散
    激活能/kJ
    点阵常数/nm线胀系数$ \mathrm{\alpha }/{\mathrm{K}}^{-1} $
    TiCγ2.75-7000/T2510.4318$ 7.86\times {10}^{-6} $
    α4.4-9575/T248
    NbCγ2.96-7510/T266.50.4469$ 7.02\times {10}^{-6} $
    α5.43-10960/T252
    MoCγ4.251-3468/T2400.4277$ 6.88\times {10}^{-6} $
    α6.163-7583/T229
    VCγ6.72-9500/T2640.4182$ 8.29\times {10}^{-6} $
    α4.55-8300/T241
    下载: 导出CSV

    表  3  Ti-Mo、T-Nb-Mo和Ti-Nb-Mo-V钢中碳化物在奥氏体中均匀形核的形核参量

    Table  3.   Uniform nucleation parameters of carbides in austenite in Ti-Mo, T-Nb-Mo and Ti-Nb-Mo-V steels

    T/ ℃Ti-MoTi-Nb-MoTi-Nb-Mo-V
    lg(I/K)lg(t0.05 a/t0 a)lg(I/K)lg(t0.05 a/t0 a)lg(I/K)lg(t0.05 a/t0 a)
    700−20.7926.49−21.5027.20−20.5526.85
    750−20.5625.68−20.9226.14−20.6326.21
    800−20.6725.15−20.5325.27−20.8725.72
    850−21.2825.01−20.3824.62−20.8925.13
    900−22.7225.47−20.5324.22−20.5024.31
    950−25.8527.10−21.1324.16−20.2523.63
    1000−33.1431.54−22.4524.61−20.6623.45
    1050−55.1145.80−25.0925.99−22.0223.96
    1100−194.45138.33−30.6029.31−25.0425.61
    下载: 导出CSV

    表  4  Ti-Mo、Ti-Nb-Mo和Ti-Nb-Mo-V钢中碳化物在奥氏体中位错线上形核的计算结果

    Table  4.   Calculation results of carbide nucleation in austenite dislocation line in Ti-Mo, Ti-Nb-Mo and Ti-Nb-Mo-V steels

    T/ ℃Ti-MoTi-Nb-MoTi-Nb-Mo-V
    lg(I/K)dlg(t0.05 da/t0 da)lg(I/K)dlg(t0.05 da/t0 da)lg(I/K)dlg(t0.05 da/t0 da)
    700−15.9022.41−16.4323.19−16.0823.13
    750−15.7121.57−16.1722.25−15.9022.24
    800−15.7421.00−16.0121.49−15.9521.65
    850−16.0920.80−16.0020.93−16.0621.15
    900−17.0321.25−16.1920.61−16.0320.57
    950−19.2222.98−16.7020.66−16.1020.12
    1000−24.7128.05−17.7421.28−16.5620.13
    1050−42.6145.56−19.8322.98−17.6820.85
    1100−167.31169.90−24.2927.09−20.1022.90
    下载: 导出CSV

    表  5  试验钢中碳化物在铁素体中均匀形核的计算结果

    Table  5.   Calculation results of uniform nucleation of carbides in ferrite in experimental steels

    T/℃Ti-MoTi-Nb-MoTi-Nb-Mo-V
    lg(I/K)lg(t0.05 a/t0 a)lg(I/K)lg(t0.05 a/t0 a)lg(I/K)lg(t0.05 a/t0 a)
    500−64.5757.76−43.8144.65−25.7132.34
    550−87.0371.80−54.6650.90−25.5131.24
    600−129.9799.61−83.7469.41−25.3830.31
    650−156.16116.42−137.18104.27−25.2029.46
    700−70.8959.21−70.5259.20−25.2728.85
    750−53.8047.46−51.0445.66−26.3628.99
    800−62.2252.60−62.1552.53−29.6130.60
    下载: 导出CSV

    表  6  试验钢中碳化物在铁素体中位错线上形核的计算结果

    Table  6.   Calculation results of carbide nucleation in ferrite dislocation in experimental steels

    T/℃Ti-MoTi-Nb-MoTi-Nb-Mo-V
    lg(I/K)lg(t0.05 a/t0 a)lg(I/K)lg(t0.05 a/t0 a)lg(I/K)lg(t0.05 a/t0 a)
    500−31.7941.50−18.3728.80−16.158926.34
    550−47.7956.56−23.7733.21−15.440124.65
    600−81.1389.09−42.0650.63−14.808223.18
    650−103.85111.15−81.5489.34−14.253821.90
    700−40.747.64−37.3544.52−13.749120.74
    750−30.1736.75−27.2733.88−13.254619.65
    800−36.8642.97−36.1742.25−12.744918.59
    下载: 导出CSV
  • [1] Chen Zihao, Zhang Ke, Fu Xibin, et al. Effect of V content on microstructure and mechanical properties of Ti-V composite microalloy steel[J]. The Chinese Journal of Process Engineering, 2021,21(7):827−835. (陈子豪, 张可, 付锡彬, 等. V含量对Ti-V复合微合金钢组织和力学性能的影响[J]. 过程工程学报, 2021,21(7):827−835. doi: 10.12034/j.issn.1009-606X.221107

    Chen Zihao, Zhang Ke, Fu Xibin, et al. Effect of V content on microstructure and mechanical properties of Ti-V composite microalloy steel[J]. The Chinese Journal of Process Engineering, 2021, 21(7): 827-835. doi: 10.12034/j.issn.1009-606X.221107
    [2] Zhou Dan, Chai Xiyang, Liang Fengrui, et al. Effects of V, V-N and V-Nb microalloying on microstructure and properties of high-strength ship plate steel[J]. Heat Treatment of Metals, 2019,44(6):60−64. (周丹, 柴希阳, 梁丰瑞, 等. V、V-N与V-Nb微合金化对高强船板钢组织与性能的影响[J]. 金属热处理, 2019,44(6):60−64.

    Zhou Dan, Chai Xiyang, Liang Fengrui, et al. Effects of V, V-N and V-Nb microalloying on microstructure and properties of high-strength ship plate steel[J]. Heat Treatment of Metals, 2019, 44(6): 60-64.
    [3] Li Jing, Yuan Shaoqiang, Chu Xiangzhi. Dissolution behavior of the second phase in Nb-Ti microalloy steel[J]. Foundry Technology, 2017,38(9):2087−2089, 2095. (李敬, 苑少强, 褚祥治. Nb-Ti微合金钢中第二相的溶解行为[J]. 铸造技术, 2017,38(9):2087−2089, 2095.

    Li Jing, Yuan Shaoqiang, Chu Xiangzhi. Dissolution behavior of the second phase in Nb-Ti microalloy steel[J]. Foundry Technology, 2017, 38(9): 2087-2089, 2095.
    [4] Zheng Y X, Wang Q, Zhu L G, et al. Microstructure evolution and carbide precipitation behavior of microalloyed TS800TB steel during hot rolling and coiling processes[J]. Materials Science and Engineering:A, 2022,840:142902. doi: 10.1016/j.msea.2022.142902
    [5] Zheng Y X, Shen W, Zhu L G, et al. Effects of composition and strain rate on hot ductility of Cr-Mo-alloy steel in the two-phase region[J]. High Temperature Materials and Processes, 2021,40(1):228−240. doi: 10.1515/htmp-2021-0025
    [6] Zheng Y X, Wang F M, Chang R. Effect of compound addition of Nb-B on hot ductility of Cr-Mo alloy steel[J]. Materials Science & Engineering A, 2018,715:194−204.
    [7] Zhang D Q, Liu G, Zhang K, et al. Effect of Nb microalloying on microstructure evolution and mechanical properties in low carbon medium manganese steel[J]. Materials Science & Engineering A, 2021,824:1−13.
    [8] Zhang K, Wang H, Sun X J, et al. Precipitation behavior and microstructural evolution of ferritic Ti-V-Mo complex microalloyed steel[J]. Acta Metallurgica Sinica (English Letters), 2018,31(9):9.
    [9] Nidhi Bansal G, Atul G, Mohit B. Effect of cold work, ageing on hardness and ultimate tensile strength of microalloyed steel[J]. Key Engineering Materials, 2022,6671:116−123.
    [10] Liu H L, Yang B, Chen Y, et al. Precipitation law of vanadium in microalloyed steel and its performance influencing factors[J]. Materials, 2022,15(22):8146−8146. doi: 10.3390/ma15228146
    [11] Pravendra Pratap S, Sadhan G, Suhrit M. Strengthening behaviour and failure analysis of hot-rolled Nb+V microalloyed steel processed at various coiling temperatures[J]. Materials Science & Engineering A, 2022,859:144210.
    [12] 刘欣. 钒含量对Nb-V-Ti微合金钢析出行为及组织性能的影响[D]. 沈阳: 东北大学, 2019.

    Liu Xin. Effect of vanadium content on precipitation behavior and microstructure properties of Nb-V-Ti microalloy steel[D]. Shengyang: Northeastern University, 2019.
    [13] Ni Lingling, Zhang Ke, Yuan Wenyang, et al. Effect of austenite deformation temperature on precipitation kinetics, microstructure and hardness of Ti-V composite microalloy steel[J]. Nonferrous Metals Science and Engineering, 2021,12(6):64−71. (倪玲玲, 张可, 袁文洋, 等. 奥氏体变形温度对Ti-V复合微合金钢析出动力学及组织和硬度的影响[J]. 有色金属科学与工程, 2021,12(6):64−71.

    Ni Lingling, Zhang Ke, Yuan Wenyang, et al. Effect of austenite deformation temperature on precipitation kinetics, microstructure and hardness of Ti-V composite microalloy steel[J]. Nonferrous Metals Science and Engineering, 2021, 12(6): 64-71.
    [14] 甘晓龙. V对Ti-Mo微合金钢第二相析出行为及组织性能的影响研究[D]. 武汉: 武汉科技大学, 2019.

    Gan Xiaolong. Study on the effect of V on the second phase precipitation behavior and microstructure properties of Ti-Mo microalloy steel[D]. Wuhan: Wuhan University of Science and Technology, 2019.
    [15] Yao Na, Xing Chao. Precipitation kinetics of composite carbides in Nb-Ti-V-Mo microalloy steel[J]. Iron Steel Vanadium Titanium, 2022,43(4):142−149. (姚娜, 兴超. Nb-Ti-V-Mo微合金钢中复合碳化物的析出动力学[J]. 钢铁钒钛, 2022,43(4):142−149.

    Yao Na, Xing Chao. Precipitation kinetics of composite carbides in Nb-Ti-V-Mo microalloy steel[J]. Iron Steel Vanadium Titanium, 2022, 43(4): 142-149.
    [16] Zhang Ke, Sun Xinjun, Zhang Mingya, et al. Kinetics of precipitation and precipitation of (Ti, V, Mo)C in γ/α in Ti-V-Mo composite microalloy steel[J]. Acta Metallurgical Sinica, 2018,54(8):1122−1130. (张可, 孙新军, 张明亚, 等. Ti-V-Mo复合微合金钢中(Ti, V, Mo)C在γ/α中沉淀析出的动力学[J]. 金属学报, 2018,54(8):1122−1130.

    Zhang Ke, Sun Xinjun, Zhang Mingya, et al. Kinetics of precipitation and precipitation of (Ti, V, Mo)C in γ/α in Ti-V-Mo composite microalloy steel[J]. Acta Metallurgical Sinica, 2018, 54(8): 1122-1130.
    [17] 杨海林. Ti-Nb微合金化高强钢强韧化机理及组织性能研究[D]. 武汉: 武汉科技大学, 2021.

    Yang Hailin. Study on the toughening mechanism and microstructure properties of Ti-Nb microalloyed high-strength steel[D]. Wuhan: Wuhan University of Science and Technology, 2021.
    [18] Bu Fanzheng, Wang Yubin, Zheng Lianhui, et al. Nanocarbide precipitation behavior during tempering of Ti-Mo microalloy steel[J]. Journal of Iron and Steel Research, 2018,30(11):928−934. (卜凡征, 王玉斌, 郑连辉, 等. Ti-Mo微合金钢回火过程中纳米碳化物析出行为[J]. 钢铁研究学报, 2018,30(11):928−934.

    Bu Fanzheng, Wang Yubin, Zheng Lianhui, et al. Nanocarbide precipitation behavior during tempering of Ti-Mo microalloy steel[J]. Journal of Iron and Steel Research, 2018, 30(11): 928-934.
    [19] Liu Xiang, Du Qunli, Li Xin. Effect of heating process on austenitic grain growth of Nb-Ti microalloy steel[J]. Iron and Steel, 2019,54(9):116−120, 131. (刘祥, 杜群力, 李新. 加热工艺对Nb-Ti微合金钢奥氏体晶粒长大的影响[J]. 钢铁, 2019,54(9):116−120, 131. doi: 10.13228/j.boyuan.issn0449-749x.20180424

    Liu Xiang, Du Qunli, Li Xin. Effect of heating process on austenitic grain growth of Nb-Ti microalloy steel[J]. Iron and Steel, 2019, 54(9): 116-120, 131. doi: 10.13228/j.boyuan.issn0449-749x.20180424
    [20] 易航. Ti-Mo-V复合微合金钢中第二相析出行为及组织性能研究[D]. 武汉: 武汉科技大学, 2020.

    Yi Hang. Study on second phase precipitation behavior and microstructure properties in Ti-Mo-V composite microalloy steel[D]. Wuhan: Wuhan University of Science and Technology, 2020.
    [21] Yu Yinjun, Zhao Shiyu, Zhang Ke, et al. Effect of isothermal cooling time on microstructure transformation and hardness of Ti-V-Mo composite microalloy steel[J]. Heat Treatment of Metals, 2021,46(6):95−101. (于银俊, 赵时雨, 张可, 等. 温冷却时间对Ti-V-Mo复合微合金钢组织转变及硬度的影响[J]. 金属热处理, 2021,46(6):95−101.

    Yu Yinjun, Zhao Shiyu, Zhang Ke, et al. Effect of isothermal cooling time on microstructure transformation and hardness of Ti-V-Mo composite microalloy steel[J]. Heat Treatment of Metals, 2021, 46(6): 95-101.
    [22] 韩荣. Ti-V-Mo复合微合金化温成形汽车钢的强化机理研究[D]. 昆明: 昆明理工大学, 2022.

    Han Rong. Study on strengthening mechanism of Ti-V-Mo composite microalloy thermoformed automotive steel[D]. Kunming: Kunming University of Science and Technology, 2022.
    [23] 雍岐龙. 钢铁材料中的第二相[M]. 北京: 冶金工业出版社, 2006.

    Yong Qilong. Secondary phases in steel[M]. Beijing: Metallurgical Industry Press, 2006.
  • 加载中
图(10) / 表(6)
计量
  • 文章访问数:  625
  • HTML全文浏览量:  85
  • PDF下载量:  25
  • 被引次数: 0
出版历程
  • 收稿日期:  2023-03-21
  • 网络出版日期:  2024-04-30
  • 刊出日期:  2024-04-30

目录

    /

    返回文章
    返回