中文核心期刊

SCOPUS 数据库收录期刊

中国科技核心期刊

美国《化学文摘》来源期刊

中国优秀冶金期刊

美国EBSCO数据库收录期刊

RCCSE中国核心学术期刊

美国《剑桥科学文摘》来源期刊

中国应用核心期刊(CACJ)

美国《乌利希期刊指南》收录期刊

中国学术期刊综合评价统计源刊

俄罗斯《文摘杂志》来源期刊

优秀中文科技期刊(西牛计划)

日本《科学技术文献数据库》(JST)收录刊

留言板

尊敬的读者、作者、审稿人, 关于本刊的投稿、审稿、编辑和出版的任何问题, 您可以本页添加留言。我们将尽快给您答复。谢谢您的支持!

姓名
邮箱
手机号码
标题
留言内容
验证码

V-O固溶体氧势及金属钒制备热力学研究

钟大鹏 于杰 侯勇 喻文昊 吕学伟

钟大鹏, 于杰, 侯勇, 喻文昊, 吕学伟. V-O固溶体氧势及金属钒制备热力学研究[J]. 钢铁钒钛, 2025, 46(2): 10-18. doi: 10.7513/j.issn.1004-7638.2025.02.002
引用本文: 钟大鹏, 于杰, 侯勇, 喻文昊, 吕学伟. V-O固溶体氧势及金属钒制备热力学研究[J]. 钢铁钒钛, 2025, 46(2): 10-18. doi: 10.7513/j.issn.1004-7638.2025.02.002
ZHONG Dapeng, YU Jie, HOU Yong, YU Wenhao, LÜ Xuewei. Thermodynamic evaluation on oxygen potential of V-O solid solution and preparation of metallic vanadium[J]. IRON STEEL VANADIUM TITANIUM, 2025, 46(2): 10-18. doi: 10.7513/j.issn.1004-7638.2025.02.002
Citation: ZHONG Dapeng, YU Jie, HOU Yong, YU Wenhao, LÜ Xuewei. Thermodynamic evaluation on oxygen potential of V-O solid solution and preparation of metallic vanadium[J]. IRON STEEL VANADIUM TITANIUM, 2025, 46(2): 10-18. doi: 10.7513/j.issn.1004-7638.2025.02.002

V-O固溶体氧势及金属钒制备热力学研究

doi: 10.7513/j.issn.1004-7638.2025.02.002
基金项目: 国家自然科学基金青年基金(52304345);中央高校基本科研业务费(2024CDJXY003)。
详细信息
    作者简介:

    钟大鹏,1993年出生,男,重庆奉节人,博士,长期从事冶金物化方面的基础研究工作,E-mail:Zhongdapengcqu@163.com

  • 中图分类号: TF841.3

Thermodynamic evaluation on oxygen potential of V-O solid solution and preparation of metallic vanadium

  • 摘要:

    非金属元素O熔解在V晶格中形成固溶体,固溶体的氧脱除极限取决于氧的活度和温度,但目前对V-O固溶体热力学性质研究较少。以 Sieverts 定律为计算准则,收集V-O体系热力学数据,计算获得了不同氧含量下固溶体VOy的氧势。同时将热力学模型导入 Factsage 并建立自定义数据库,以辅助计算金属热还原法制备钒的相变及平衡组成,明确Ca、Mg、Al等还原剂的极限脱氧能力。结果表明,合理控制Al加入量和反应温度所制备出的金属钒理论上氧含量可降至约0.1%~0.5%;Mg作为还原剂时,理论上可制备出氧含量0.01%~0.1%的金属钒产品;Ca的还原能力更出色,制备出金属钒产品中氧含量<0.01%;增加C添加量、提升反应温度、降低PCO 理论上均可制备出氧含量低于0.1%的金属钒产品。

  • 图  1  V–O 相图[30]

    氧等压线由压力中的指数k表示p =10k atm

    Figure  1.  Phase diagram of the V–O system[30]

    图  2  MgO、Al2O3、SiO2、V2O5、V2O3、VO 以及V-O固溶体在不同温度下的氧势

    Figure  2.  The oxygen potential of MgO, Al2O3, SiO2, V2O5, V2O3, VO and V-O solid solution with temperature

    图  3  铝热还原V-O固溶体过程标准吉布斯自由能-温度图

    Figure  3.  Standard Gibbs free energy change of aluminium reduction of V-O solid solution

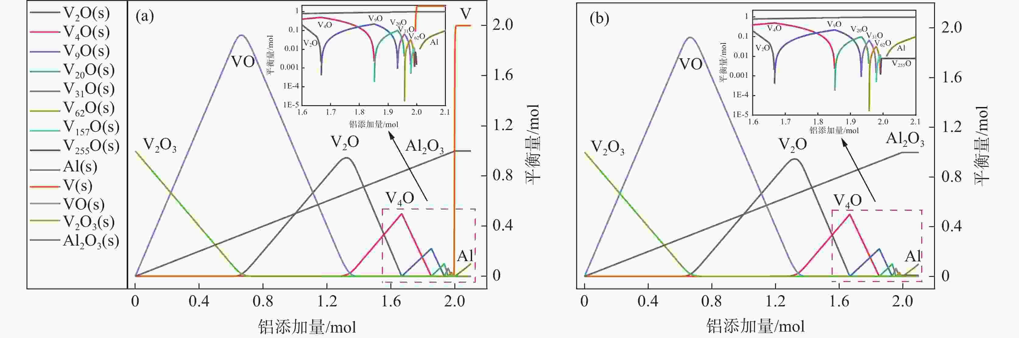
    图  4  不同温度和铝添加量下反应产物的平衡相组成

    Figure  4.  Equilibrium amounts of species in roasted products as a function of temperature and Al addition

    (a) 800 ℃;(b) 1200 ℃

    图  5  镁热还原V-O固溶体过程标准吉布斯自由能-温度图

    Figure  5.  Standard Gibbs free energy change of magnesium reduction of V-O solid solution

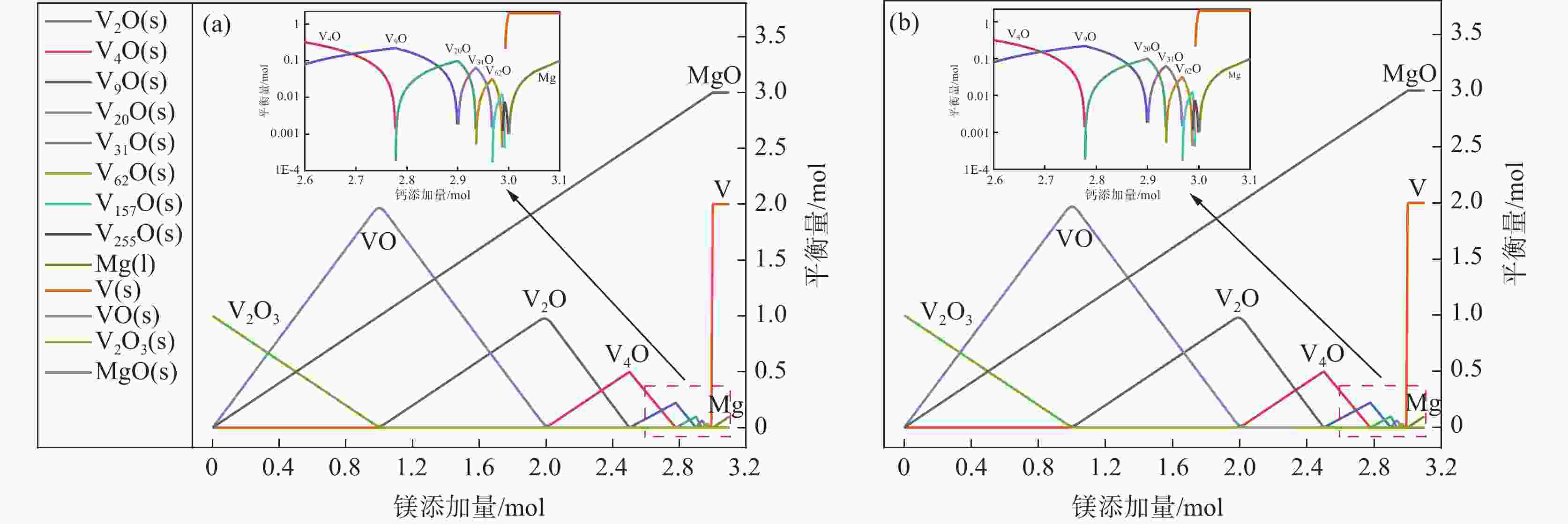
    图  6  不同温度和镁添加量下反应产物的平衡相组成

    Figure  6.  Equilibrium amounts of species in roasted products as a function of temperature and Mg addition

    (a) 800 ℃;(b) 1200 ℃

    图  7  钙热还原V-O固溶体过程标准吉布斯自由能-温度图

    Figure  7.  Standard Gibbs free energy change of calcium thermal reduction of V-O solid solution

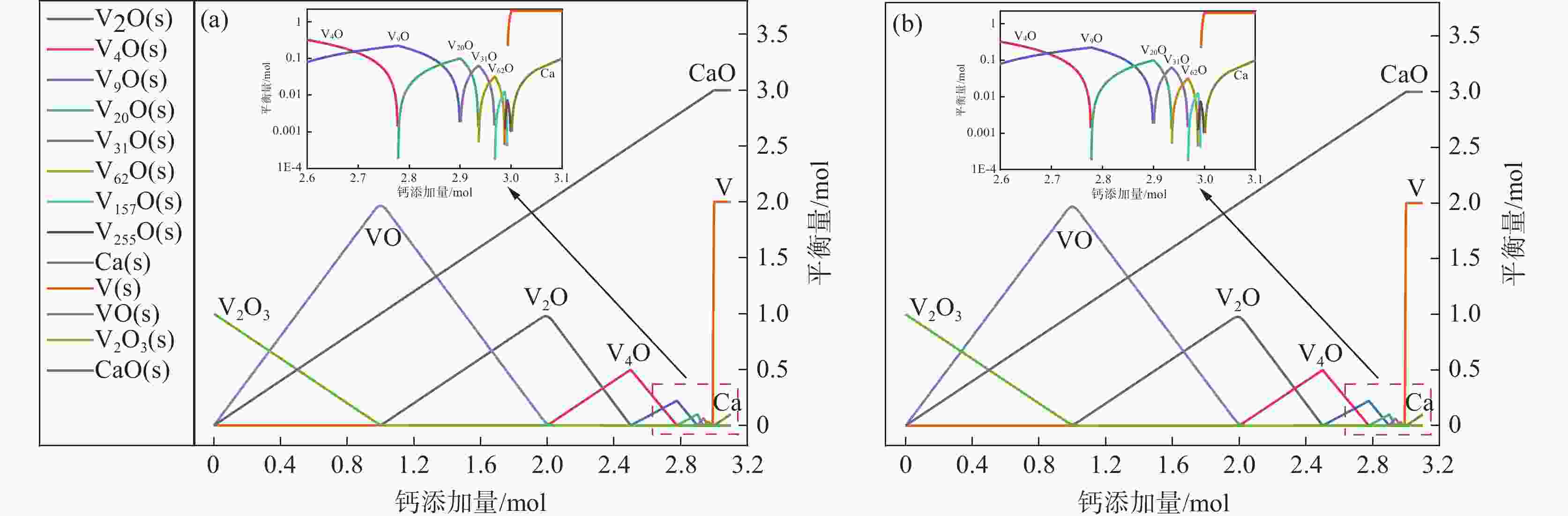
    图  8  不同温度和钙添加量下反应产物的平衡相组成

    Figure  8.  Equilibrium amounts of species in roasted products as a function of temperature and Ca addition

    (a) 800 ℃; (b) 1200 ℃

    图  9  真空碳热还原V-O固溶体过程标准吉布斯自由能变化

    Figure  9.  Standard Gibbs free energy change of vacuum carbothermal reduction of V-O solid solution

    (a) 1 Pa; (b) 0.1 Pa; (c) 1 500 ℃; (d) 1 600 ℃

    图  10  不同条件下反应产物的平衡相组成

    (a) C添加量的影响,温度1 500 ℃,CO分压1 Pa;(b) 温度的影响,C添加量3.2 mol,CO分压1 Pa;(c) CO分压的影响,C添加量3.2 mol,温度1 500 ℃

    Figure  10.  Equilibrium amounts of species in roasted products as a function of C amount, temperature and CO partial pressure

    表  1  基于生成1 mol VOy的标准生成吉布斯自由能

    Table  1.   The standard Gibbs free energy of formation of VOy with temperature (based on formation of 1 mol VOy)

    V-O固溶体 氧含量/% $ \Delta G{_{\rm{f}}^{{\theta}}} $(VOy)/(kJ·mol−1)= a + b(T/K) +
    c(T/K)ln(T/K) + σ/(kJ·mol−1)
    A b c σ
    V2O 13.56 425.0552 0.0160 0.0072 ±0.3833
    V4O 7.27 433.6947 0.0027 0.0070 ±0.2209
    V9O 3.37 466.9019 0.0531 0.0018 ±0.5393
    V20O 1.50 518.6935 0.3808 0.0392 ±0.2400
    V31O 1.00 518.6935 0.3771 0.0392 ±0.2836
    V62O 0.50 518.6935 0.3714 0.0392 ±0.2350
    V157O 0.20 518.6935 0.3636 0.0392 ±0.2933
    V255O 0.12 518.6935 0.3596 0.0392 ±0.2682
    V313O 0.10 518.6935 0.3579 0.0392 ±0.1623
    V627O 0.05 518.6935 0.3521 0.0392 ±0.1623
    V1568O 0.02 518.6935 0.3445 0.0392 ±0.1623
    V3167O 0.01 518.6935 0.3387 0.0392 ±0.1623
    下载: 导出CSV
  • [1] LI L, SONG B, CHENG J, et al. Effects of vanadium precipitates on hydrogen trapping efficiency and hydrogen induced cracking resistance in X80 pipeline steel[J]. International journal of hydrogen energy, 2018,43(36):17353-17363. doi: 10.1016/j.ijhydene.2018.07.110
    [2] ZHANG Y, BAO S, LIU T, et al. The technology of extracting vanadium from stone coal in China: History, current status and future prospects[J]. Hydrometallurgy, 2011,109(1):116-124.
    [3] ZHENG Q, XING F, LI X, et al. Flow field design and optimization based on the mass transport polarization regulation in a flow-through type vanadium flow battery[J]. Journal of power sources, 2016,324:402-411. doi: 10.1016/j.jpowsour.2016.05.110
    [4] ZHOU Y, CAO L, WANG L, et al. Monte Carlo analyses and experimental investigation of the vanadium self-powered neutron detector in 60Co source and research pulsed reactor[J]. Nuclear instruments & methods in physics research. Section A, Accelerators, spectrometers, detectors and associated equipment, 2023, 1056: 168704.
    [5] PENG X, LI Q, WANG K. Dynamic compensation of vanadium self powered neutron detectors based on Luenberger form filter[J]. Progress in nuclear energy (New series), 2015,78:190-195. doi: 10.1016/j.pnucene.2014.09.006
    [6] KHOSHAHVAL F, PARK M, SHIN H C, et al. Vanadium, rhodium, silver and cobalt self-powered neutron detector calculations by RAST-K v2.0[J]. Annals of nuclear energy, 2018,111:644-659. doi: 10.1016/j.anucene.2017.09.048
    [7] KıLıNç B, KOCAMAN E, ŞEN Ş, et al. Effect of vanadium content on the microstructure and wear behavior of Fe(13-x)VxB7(x=0-5) based hard surface alloy layers[J]. Materials characterization, 2021,179:111324. doi: 10.1016/j.matchar.2021.111324
    [8] RAAHGINI C, VERDI D. Abrasive wear performance of laser cladded Inconel 625 based metal matrix composites: Effect of the vanadium carbide reinforcement phase content[J]. Surface & coatings technology, 2022,429:127975.
    [9] CHENG Y, GONG J, CAO B, et al. Ultrafine VN nanodots induced generation of abundant cobalt single-atom active sites on nitrogen-doped carbon nanotube for efficient hydrogen evolution[J]. Journal of energy chemistry, 2022,68:646-657. doi: 10.1016/j.jechem.2021.11.035
    [10] HUBER`, JANKOVSKý O, SEDMIDUBSKý D, et al. Synthesis, structure, thermal, transport and magnetic properties of VN ceramics[J]. Ceramics international, 2016,42(16):18779-18784. doi: 10.1016/j.ceramint.2016.09.019
    [11] XU L, WANG F, ZHOU Y, et al. Fabrication and wear property of in-situ micro-nano dual-scale vanadium carbide ceramics strengthened wear-resistant composite layers[J]. Ceramics international, 2021,47(1):953-964. doi: 10.1016/j.ceramint.2020.08.209
    [12] SAEIDI S S, VASEGHI B, REZAEI G, et al. Magnetic, optical and phase transformation properties of Fe and Co doped VO2(A) nanobelts[J]. Journal of solid state chemistry, 2022,306:122729. doi: 10.1016/j.jssc.2021.122729
    [13] WANG S, GUO Y, ZHENG F, et al. Behavior of vanadium during reduction and smelting of vanadium titanomagnetite metallized pellets[J]. Transactions of Nonferrous Metals Society of China, 2020,30(6):1687-1696. doi: 10.1016/S1003-6326(20)65330-4
    [14] SILIN I, HAHN K, GÜRSEL D, et al. Mineral Processing and Metallurgical Treatment of Lead Vanadate Ores[J]. Minerals (Basel), 2020,10(2):197.
    [15] KONG Y, CHEN J, LI B, et al. Mechanistic insight into the influence of Al2O3 concentration on the electro-reduction of V2O3 to vanadium in molten Na3AlF6[J]. Electrochimica acta, 2019,295:452-460. doi: 10.1016/j.electacta.2018.10.155
    [16] KONG Y, LI B, CHEN J, et al. Electrochemical reduction of vanadium sesquioxide in low-temperature molten fluoride salts[J]. Electrochimica acta, 2020,342:136081. doi: 10.1016/j.electacta.2020.136081
    [17] LI J B, MA Z L. Application and preparation method of metal vanadium[J]. Yunnan Metallurgy, 2019,48(6):33-38. (李建兵, 马治龙. 金属钒的用途及其制备方法[J]. 云南冶金, 2019,48(6):33-38.

    LI J B, MA Z L. Application and preparation method of metal vanadium[J]. Yunnan Metallurgy, 2019, 48(6): 33-38.
    [18] LU W L, ZHANG Y, SUN P, et al. A review on the approaches to the production of vanadium metal[J]. The Chinese Journal of Process Engineering, 2021,21(10):1117-1131. (卢伟亮, 张盈, 孙沛, 等. 金属钒的制备方法综述[J]. 过程工程学报, 2021,21(10):1117-1131. doi: 10.12034/j.issn.1009-606X.220294

    LU W L, ZHANG Y, SUN P, et al. A review on the approaches to the production of vanadium metal[J]. The Chinese Journal of Process Engineering, 2021, 21(10): 1117-1131. doi: 10.12034/j.issn.1009-606X.220294
    [19] LINDVALL M, GRAN J, SICHEN D. Determination of the vanadium solubility in the Al2O3-CaO(25mass%)-SiO2 system[J]. Calphad, 2014,47:50-55. doi: 10.1016/j.calphad.2014.06.003
    [20] GAO F, NIE Z, YANG D, et al. Environmental impacts analysis of titanium sponge production using Kroll process in China[J]. Journal of cleaner production, 2018,174:771-779. doi: 10.1016/j.jclepro.2017.09.240
    [21] XIA Y, LEFLER H D, FANG Z Z, et al. Chapter 17-Energy consumption of the Kroll and HAMR processes for titanium production[M]//Fang Z Z, Froes F H, Zhang Y. Extractive Metallurgy of Titanium. Elsevier, 2020: 389-410.
    [22] LEE D W L H S Y. Synthesis of vanadium powder by magnesiothermic reduction[J]. Adv Mater Res, 2014,1025-6:509-514.
    [23] MIYAUCHI A, OKABE T H. Production of metallic vanadium by preform reduction process[J]. Materials Transactions, 2010,51(6):1102-1108. doi: 10.2320/matertrans.M2010027
    [24] INAZU N, SUZUKI E, FUJII S, et al. A facile formation of vanadium(0) by the reduction of vanadium pentoxide pelletized with magnesium oxide enabled by microwave irradiation[J]. Chemistry Select (Weinheim), 2020,5(10):2949-2953. doi: 10.1002/slct.201904547
    [25] WU C L, WANG B H, CHEN X, et al. Preparation of vanadium powder by calcium thermic reduction of calcium vanadate in molten salts[J]. Nonferrous Metals(Extractive Metallurgy), 2019(6):52-54. (吴春亮, 王宝华, 陈兴, 等. 熔盐中钙热还原钒酸钙制备金属钒粉[J]. 有色金属(冶炼部分), 2019(6):52-54.

    WU C L, WANG B H, CHEN X, et al. Preparation of vanadium powder by calcium thermic reduction of calcium vanadate in molten salts[J]. Nonferrous Metals(Extractive Metallurgy), 2019(6): 52-54.
    [26] WANG F, XU B, WAN H, et al. Preparation of vanadium powders by calcium vapor reduction of V2O3 under vacuum[J]. Vacuum, 2020,173:109133. doi: 10.1016/j.vacuum.2019.109133
    [27] R K. On the Carbonthermic reduction of vanadium metal and vanadium alloys[J]. Metall, 1967,21:19-22.
    [28] YANG Y, MAO H, SELLEBY M. Thermodynamic assessment of the V-O system[J]. Calphad, 2015,51:144-160. doi: 10.1016/j.calphad.2015.08.003
    [29] PEI G, XIANG J, ZHONG D, et al. A clean process of preparing VO as LIBs anode materials via the reduction of V2O3 powder in a H2 atmosphere: Thermodynamic assessment, isothermal kinetic analysis, and electrochemistry performance evaluation-Science Direct[J]. Journal of Alloys and Compounds, 2020,845:156305. doi: 10.1016/j.jallcom.2020.156305
    [30] KIM Y S. V-O thermochemistry from the pure metal to the monoxide[J]. Journal of Alloys and Compounds, 2000,312(1):86-93.
    [31] ZHONG D P, PEI G S, XIANG J Y, et al. Thermodynamic behavior of dissolved oxygen and hydrogen in pure vanadium[J]. Journal of mining and metallurgy. Section B, Metallurgy, 2021,57(3):413-419. doi: 10.2298/JMMB210108037Z
    [32] WANG W, OLANDER D R. Thermochemistry of the U-O and Zr-O Systems[J]. Journal of the American Ceramic Society, 1993,76(5):1242-1248. doi: 10.1111/j.1151-2916.1993.tb03748.x
    [33] OLANDER D R. Heat effects in zircaloy oxidation by steam[J]. Journal of the Electrochemical Society, 1984,131(9):2161-2169. doi: 10.1149/1.2116041
    [34] WANG W. Partial thermodynamic properties of the Ti-N system[J]. Journal of Alloys and Compounds, 1996,233(1):89-95.
    [35] WANG W, OLANDER D R. Computational thermodynamics of the Zr-N system[J]. Journal of Alloys and Compounds, 1995,224(1):153-158. doi: 10.1016/0925-8388(95)01528-0
    [36] WANG W. Thermodynamic evaluation of the titanium-hydrogen system[J]. Journal of Alloys and Compounds, 1996,238(1):6-12.
    [37] LUPIS C H P. Chemical thermodynamics of materials[M]. New York: North-Holland, 1983.
  • 加载中
图(10) / 表(1)
计量
  • 文章访问数:  440
  • HTML全文浏览量:  60
  • PDF下载量:  33
  • 被引次数: 0
出版历程
  • 收稿日期:  2024-09-09
  • 网络出版日期:  2025-04-30
  • 刊出日期:  2025-04-30

目录

    /

    返回文章
    返回