中文核心期刊

SCOPUS 数据库收录期刊

中国科技核心期刊

美国《化学文摘》来源期刊

中国优秀冶金期刊

美国EBSCO数据库收录期刊

RCCSE中国核心学术期刊

美国《剑桥科学文摘》来源期刊

中国应用核心期刊(CACJ)

美国《乌利希期刊指南》收录期刊

中国学术期刊综合评价统计源刊

俄罗斯《文摘杂志》来源期刊

优秀中文科技期刊(西牛计划)

日本《科学技术文献数据库》(JST)收录刊

留言板

尊敬的读者、作者、审稿人, 关于本刊的投稿、审稿、编辑和出版的任何问题, 您可以本页添加留言。我们将尽快给您答复。谢谢您的支持!

姓名
邮箱
手机号码
标题
留言内容
验证码

V2O3粉末真空铝热法制备AlV55合金的研究

张苏新 常福增 祁健 张娜

张苏新, 常福增, 祁健, 张娜. V2O3粉末真空铝热法制备AlV55合金的研究[J]. 钢铁钒钛, 2025, 46(2): 33-38. doi: 10.7513/j.issn.1004-7638.2025.02.005
引用本文: 张苏新, 常福增, 祁健, 张娜. V2O3粉末真空铝热法制备AlV55合金的研究[J]. 钢铁钒钛, 2025, 46(2): 33-38. doi: 10.7513/j.issn.1004-7638.2025.02.005
ZHANG Suxin, CHANG Fuzeng, QI Jian, ZHANG Na. Preparation of VAl55 alloy by vacuum aluminothermy with V 2O3 powder[J]. IRON STEEL VANADIUM TITANIUM, 2025, 46(2): 33-38. doi: 10.7513/j.issn.1004-7638.2025.02.005
Citation: ZHANG Suxin, CHANG Fuzeng, QI Jian, ZHANG Na. Preparation of VAl55 alloy by vacuum aluminothermy with V 2O3 powder[J]. IRON STEEL VANADIUM TITANIUM, 2025, 46(2): 33-38. doi: 10.7513/j.issn.1004-7638.2025.02.005

V2O3粉末真空铝热法制备AlV55合金的研究

doi: 10.7513/j.issn.1004-7638.2025.02.005
基金项目: 河北省重点研发计划资助项目(编号:20311008D);承德市可持续发展示范区专项(编号:202302F011)。
详细信息
    作者简介:

    张苏新,1984年出生,男,山东单县人,硕士研究生,高级工程师,主要从事钒钛新材料研究工作,E-mail:zhsx455@126.com

  • 中图分类号: TF841.3,TG146.4

Preparation of VAl55 alloy by vacuum aluminothermy with V 2O3 powder

  • 摘要:

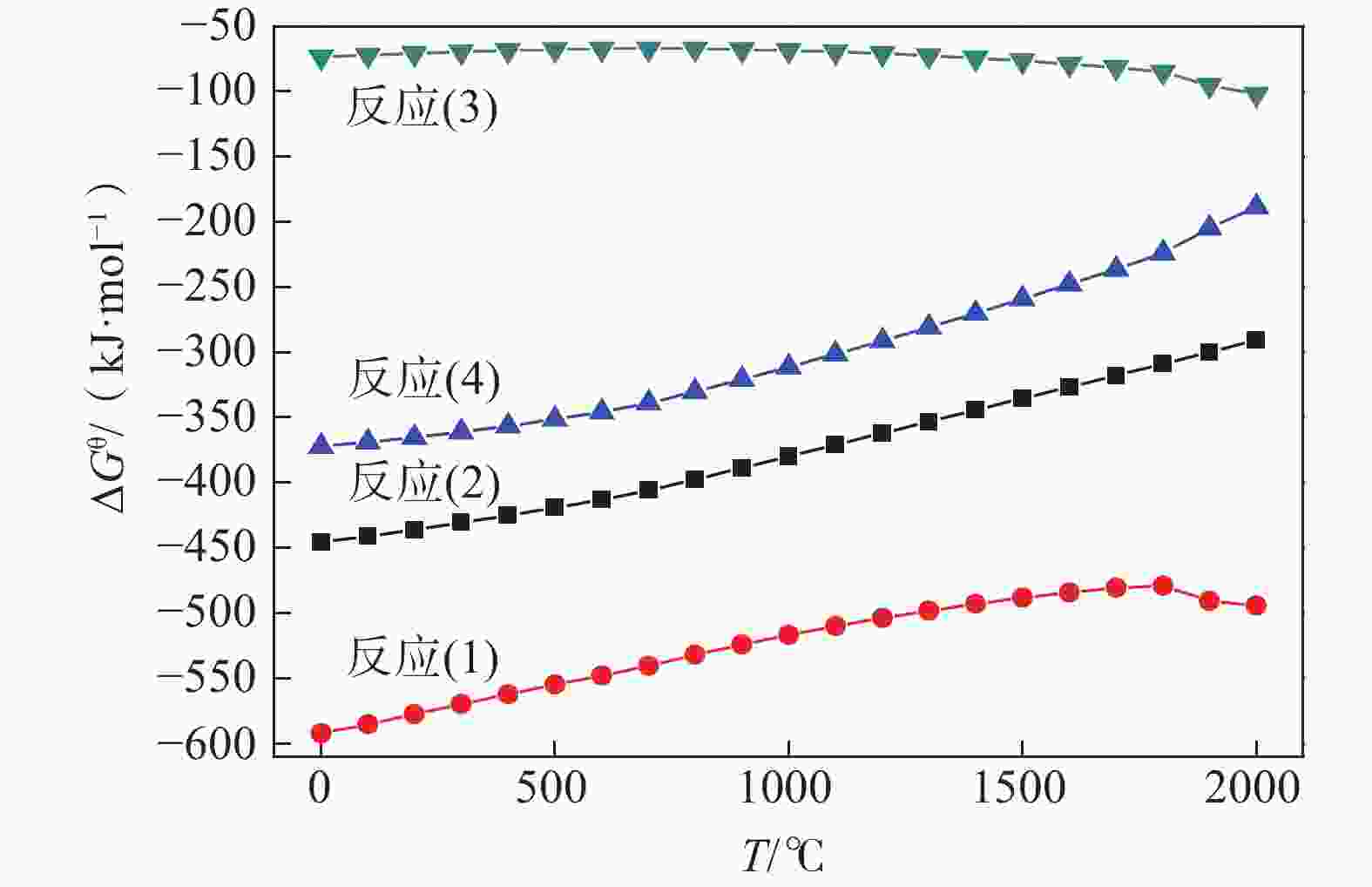
    以V2O3和Al粉为原料,真空铝热还原法制备AlV55合金,利用热力学软件和差热分析法对铝热法制备钒铝合金的过程进行了分析,结果表明:热力学计算常温下铝热还原反应可将V2O3一步还原为V;实际还原过程为分步进行,开始温度为749 ℃,且属于液-固反应范畴;单位热效应为

    2239.65

    J/g,绝热燃烧温度为

    1728.7

    ℃。研究了真空加热过程中保温温度和造渣剂氧化钙加入量对钒收率的影响,当保温温度超过

    1650

    ℃时,钒铝合金的钒收率可达到95%左右,钒铝合金锭无裂隙和氧化膜,钒铝合金的成品率显著提升。此外,还确定了CaO/Al2O3比值对炉渣粘度的影响,当造渣剂用量超过22.5%时,渣金的分离效果显著提升。

  • 图  1  钒铝合金的生产工艺流程及设备示意

    (a) 工艺流程;(b)设备示意

    Figure  1.  Process of AlV alloy production and equipment diagram

    图  2  吉布置斯自由能与温度的关系

    Figure  2.  Relationship between Gibbs free energy and temperature

    图  3  差热分析结果

    Figure  3.  Results of differential thermal analysis

    图  4  不同品位钒铝的密度和熔化温度的关系

    Figure  4.  Relationship between density and dissolution temperature of AlV of different grades

    图  5  温度对合金收率的影响

    Figure  5.  Effect of temperature on alloy yield

    图  6  钒铝合金渣相图

    造渣剂占比:(a)17.5%;(b) 20%; (c) 22.5%;(d) 25%

    Figure  6.  Phase diagram of vanadium-aluminum alloy slag

    图  7  钒铝合金锭

    (a)传统生产工艺;(b)真空铝热法

    Figure  7.  Digital photos of vanadium-aluminum alloy ingot

    图  8  钒铝合金SEM图和EDS结果

    Figure  8.  SEM and EDS results of vanadium-aluminum alloy

    表  1  试验原料的主要化学成分

    Table  1.   Main chemical components of experimental raw materials %

    原料FeSiAlCTVCa
    V2O30.1270.0160.0600.01565.3
    铝粉0.070.0599.75
    氧化钙0.0750.1320.0500.00871.51
    下载: 导出CSV

    表  2  热力学参数的计算结果

    Table  2.   Calculation results of thermodynamic parameters

    G$ _{298}^{{\theta}} $/(kJ·mol−1) q/(J·g−1) Tad/ ℃
    −435.75 2239.65 1728.70
    下载: 导出CSV
  • [1] CHEN J, YAN F Y, CHEN B B, et al. Assessing the tribocorrosion performance of Ti-6Al-4V, 316 stainless steel and Monel K500 alloys in artificial seawater[J]. Materials and Corrosion, 2013,64(5):394-401. doi: 10.1002/maco.201106249
    [2] KOSTOV A, ZIVKOVIC D, FRIEDRICH B. Thermodynamic study of Ti-V and Al-V systems using FactSage[J]. Journal of Mining and Metallurgy B: Metallurgy, 2006,42(1):57-65. doi: 10.2298/JMMB0601057K
    [3] SHI W J, WANG S H, LI W L, et al. The phase transition of calcium phosphate coatings deposited on a Ti-6Al-4V substrate by an electrolytic method[J]. Journal of alloys and compounds, 2007,434:693-696.
    [4] LI Y, CHEN C, HAN T, et al. Microstructures and oxidation behavior of NiCrAlCoY-Al composite coatings on Ti-6Al-4V alloy substrate via high-energy mechanical alloying method[J]. Journal of Alloys and Compounds, 2017,697:268-281. doi: 10.1016/j.jallcom.2016.10.171
    [5] LIU Y, WANG D, DENG C, et al. Novel method to fabricate Ti-Al intermetallic compound coatings on Ti-6Al-4V alloy by combined ultrasonic impact treatment and electrospark deposition[J]. Journal of Alloys and Compounds, 2015,628:208-212. doi: 10.1016/j.jallcom.2014.12.144
    [6] KURTZ R J, ABE K, CHERNOV V M, et al. Recent progress on development of vanadium alloys for fusion[J]. Journal of nuclear materials, 2004,329:47-55.
    [7] CHENG C, DOU Z H, ZHANG T A, et al. Synthesis of as-cast Ti-A-V alloy from titanium-rich material by thermite reduction[J]. JOM, 2017,69(10):1818-1823. doi: 10.1007/s11837-017-2467-7
    [8] MA H S. Vacuum smelting of titanium and refractory metals[M]. Changsha: Central South University Press, 2010. (马宏声. 钛及难熔金属真空熔炼[M]. 长沙: 中南大学出版社, 2010.

    MA H S. Vacuum smelting of titanium and refractory metals[M]. Changsha: Central South University Press, 2010.
    [9] LI Y J, WAMG J, WU H Q. XRD and TEM analysis of Fe3Al alloy layer on the surface of the calorized steel[J]. Materials research bulletin, 2001,36(13-14):2389-2394. doi: 10.1016/S0025-5408(01)00721-8
    [10] LI S Y. Application and prospect of vanadium[J]. Rare Metals and Cemented Carbides, 2000,141:58-61. (刘世友. 钒的应用与展望[J]. 稀有金属与硬质合金, 2000,141:58-61. doi: 10.3969/j.issn.1004-0536.2000.02.016

    LI S Y. Application and prospect of vanadium[J]. Rare Metals and Cemented Carbides, 2000, 141: 58-61. doi: 10.3969/j.issn.1004-0536.2000.02.016
    [11] ZHANG E, WANG X, HAN Y. Research status of biomedical porous Ti and its alloy in China[J]. Acta Metall Sin, 2017,53(12):1555-1567.
    [12] RAHMATI B, SARHAN A D, BASIRUN W J, et al. Ceramic tantalum oxide thin film coating to enhance the corrosion and wear characteristics of Ti6Al4V alloy[J]. Journal of Alloys and Compounds, 2016,676:369-376. doi: 10.1016/j.jallcom.2016.03.188
    [13] LA P Q, LU X F, SHEN D, et al. Study on high grade V-Al alloy prepared by aluminothermic reaction[J]. Powder Metallurgy Technology, 2012,30(5):371-375. (喇培清, 卢学峰, 申达, 等. 铝热法制备高钒铝合金的研究[J]. 粉末冶金技术, 2012,30(5):371-375. doi: 10.3969/j.issn.1001-3784.2012.05.010

    LA P Q, LU X F, SHEN D, et al. Study on high grade V-Al alloy prepared by aluminothermic reaction[J]. Powder Metallurgy Technology, 2012, 30(5): 371-375. doi: 10.3969/j.issn.1001-3784.2012.05.010
    [14] DUAN S C, WANG Z Q, GUO H J, et al. Study on thermodynamic and kinetics for preparation of vanadium-aluminum alloy based on thermite reaction[J]. Powder Metallurgy Technology, 2017, 38(6): 47-54. ) (段生朝, 王竹青, 郭汉杰, 等. 铝热法制备钒铝合金热力学及动力学研究[J]. 钢铁钒钛, 2017, 38(6): 47-54.

    DUAN S C, WANG Z Q, GUO H J, et al. Study on thermodynamic and kinetics for preparation of vanadium-aluminum alloy based on thermite reaction[J]. Powder Metallurgy Technology, 2017, 38(6): 47-54. )
    [15] HUANG D X. Extraction of vanadium to make steel[M]. Beijing: Metallurgical Industry Press, 2000. (黄道鑫. 提钒炼钢[M]. 北京: 冶金工业出版社, 2000 .

    HUANG D X. Extraction of vanadium to make steel[M]. Beijing: Metallurgical Industry Press, 2000.
    [16] YIN D F, SUN Z H, CHEN H J, et al. Preparation of AlV55 alloy by aluminothermic reduction[J]. Iron Steel Vanadiom Titanium, 2017,38(9):42-45. (尹丹凤, 孙朝晖, 陈海军, 等. 铝热还原法制备AlV55合金的研究[J]. 钢铁钒钛, 2017,38(9):42-45. doi: 10.7513/j.issn.1004-7638.2017.05.008

    YIN D F, SUN Z H, CHEN H J, et al. Preparation of AlV55 alloy by aluminothermic reduction[J]. Iron Steel Vanadiom Titanium, 2017, 38(9): 42-45. doi: 10.7513/j.issn.1004-7638.2017.05.008
    [17] LA P Q, LU X F, SHEN D, et al. Study on high grade V-Al alloy prepared by aluminothermic reaction[J]. Powder Metallurgy Technology, 2012,30(5):371-375. (喇培清, 卢学峰, 申达, 等. 铝热法制备高钒铝合金的研究[J]. 粉末冶金技术, 2012,30(5):371-375. doi: 10.3969/j.issn.1001-3784.2012.05.010

    LA P Q, LU X F, SHEN D, et al. Study on high grade V-Al alloy prepared by aluminothermic reaction[J]. Powder Metallurgy Technology, 2012, 30(5): 371-375. doi: 10.3969/j.issn.1001-3784.2012.05.010
    [18] WANG Y G, WEN B C, SHA Z Z. Compararive analysis on properties of V-Al alloy[J]. Metallic Functional Materials, 2020,27(6):51-56. (王永钢, 文本超, 沙志忠. 钒铝合金物性浅析[J]. 金属功能材料, 2020,27(6):51-56.

    WANG Y G, WEN B C, SHA Z Z. Compararive analysis on properties of V-Al alloy[J]. Metallic Functional Materials, 2020, 27(6): 51-56.
    [19] CHEN X M. Physical chemistry of pyrometallurgical process[J]. Beijing: Metallurgical Industry Press, 1994. (陈新民. 火法冶金过程物理化学[M]. 北京: 冶金工业出版社, 1994.

    CHEN X M. Physical chemistry of pyrometallurgical process[J]. Beijing: Metallurgical Industry Press, 1994.
    [20] CHEN H J, SHI Q H, WANG Y G, et al. Technical discussion on improving AlV55 yield[J]. Iron Steel Vanadiom Titanium, 2019,40(6):18-23. (陈海军, 师启华, 王永钢, 等. 提高AlV55成品率技术探讨[J]. 钢铁钒钛, 2019,40(6):18-23. doi: 10.7513/j.issn.1004-7638.2019.06.004

    CHEN H J, SHI Q H, WANG Y G, et al. Technical discussion on improving AlV55 yield[J]. Iron Steel Vanadiom Titanium, 2019, 40(6): 18-23. doi: 10.7513/j.issn.1004-7638.2019.06.004
    [21] ZHANG S X, LI L J, LI J J, et al. Study on the production technology of vanadium aluminum alloy by electro-aluminothermic process[J]. Hebei Metalluegy, 2018(9):23-25. (张苏新, 李兰杰, 李九江等. 钒铝合金电铝热法生产技术研究[J]. 河北冶金, 2018(9):23-25.

    ZHANG S X, LI L J, LI J J, et al. Study on the production technology of vanadium aluminum alloy by electro-aluminothermic process[J]. Hebei Metalluegy, 2018(9): 23-25.
  • 加载中
图(8) / 表(2)
计量
  • 文章访问数:  232
  • HTML全文浏览量:  58
  • PDF下载量:  26
  • 被引次数: 0
出版历程
  • 收稿日期:  2024-04-21
  • 网络出版日期:  2025-04-30
  • 刊出日期:  2025-04-30

目录

    /

    返回文章
    返回